Для студентов ИГЭУ им. Ленина по предмету ФизикаВолны. Волновые и квантовые свойства светаВолны. Волновые и квантовые свойства света
5,00573
2025-06-232025-06-23СтудИзба
ДЗ 5: Волны. Волновые и квантовые свойства света вариант 1
-33%
Описание
Домашнее задание - Волны. Волновые и квантовые свойства света - Вариант 1
- 1.2. Получить дифференциальное уравнение, решением которого является функция y(x,t) = Acos(ωt - kх).
- 1.27. Плотность потока электромагнитного излучения Солнца у поверхности Земли составляет 1400 Вт/м2. Какова средняя напряженность электрического поля излучения?
- 2.2. Найти все длины интерферирующих волн видимого света, которые при оптической разности хода равной 1,8 мкм будут: 1) максимально усилены; 2) максимально ослаблены.
- 2.27. Лучи красного света с длиной волны 760 нм падают по нормали к плоскости щели. Какой должна быть ширина щели, чтобы 1-й дифракционный минимум можно было наблюдать под углом 300?
- 2.30. Луч неполяризованного света падает под углом Брюстера на поверхность стекла с показателем преломления п=1,5. Найти отношение интенсивности отраженного света к
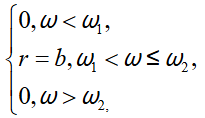
интенсивности падающего света. - 3.2. Испускательная способность тела задана уравнением

Рассчитать энергетическую светимость тела.
- 3.27. Небольшое идеальное отражающее зеркальце массой m=10 мг подвешено на нити длиной L=10 см. Найти угол, на который отклонится нить, если по нормали к зеркалу в горизонтальном направлении произвести «выстрел» импульсом лазерного излучения с энергией E=1З Дж.
- 3.29. Сколько фотонов попадает на 1 см2 поверхности Земли, перпендикулярной к солнечным лучам, за 1 мин? Солнечная постоянная ω ≈ 1,4*103 Дж/(м2*с), средняя длина волны λср ≈ 550 нм.
Характеристики домашнего задания
Предмет
Учебное заведение
Номер задания
Вариант
Программы
Теги
Просмотров
3
Качество
Идеальное компьютерное
Размер
129,13 Kb
Список файлов
1.2.docx
1.27.docx
2.2.docx
2.27.docx
2.30.docx
3.2.docx
3.27.docx
3.29.docx

🎓Помощь студентам Ивановских ВУЗов🎓 ❤️ Каждая приобретенная работа служит стимулом для добавления новых материалов и упрощает учебный процесс.