Для студентов ИГЭУ им. Ленина по предмету ФизикаМеханикаМеханика
5,00567
2025-04-152025-06-23СтудИзба
ДЗ 1: Механика вариант 4
-33%
Описание
Домашнее задание - Механика - Вариант 4
- 1.15. С вышки бросили камень в горизонтальном направлении. Через время τ = 2 c он упал на землю на расстоянии S = 40 м от основания вышки. Определить начальную V0 и конечную V скорости камня.
- 1.32. По дуге окружности радиусом R = 10 м движется точка. В некоторый момент времени нормальная составляющая ускорения an = 4,0 м/с2, а векторы полного и нормального ускорений образуют угол α = 600. Найти скорость и тангенциальную составляющую ускорения точки.
- 2.15. Неподвижный блок укреплен на углу стола. Два груза массами m1 = 0,5 кг и m2 = 2 кг соединены нитью, которая, перекинута через блок. Коэффициент трения второго груза о поверхность стола μ = 0,05. Определить силу давления F на ось блока.
- 2.30. Шарик лежит на желобе, который может вращаться вокруг оси 0С. Желоб закреплен в т. 0. На каком расстоянии от точки 0 шарик будет в равновесии при вращении желоба с частотой n = 45 об/мин? При этом желоб образует угол α = 450 с вертикалью. Коэффициент трения шарика о желоб μ =0,2.
- 3.15. Под действием постоянной силы вагонетка прошла путь S = 5 м и приобрела скорость V = 2 м/с. Определить работу силы, если масса вагонетки m = 400 кг и коэффициент трения μ = 0,01.
- 3.41. Определить КПД неупругого удара бойка (ударная часть свайного молота) массой m1 = 500 кг, падающего на сваю массой m2 = 120 кг. Полезной считать энергию, затраченную на вбивание сваи.
- 4.15. На барабан радиусом R = 0,5 м намотан шнур, к которому привязан груз массой m = 10 кг. Найти момент инерции барабана, если известно, что груз опускается с ускорением а = 2,04 м/с2.
- 4.40. Карандаш длиной l = 15 см, поставленный вертикально, падает на стол. Какие угловую w и линейную V скорости будет иметь в конце падения: 1) середина карандаша; 2) верхний его конец? Нижний конец карандаша не проскальзывает.
- 5.5. Грузик массой m подвешен к двум пружинам, соединённым "последовательно". Определить частоту колебаний груза. Коэффициенты жесткости пружин равны k1 и k2.
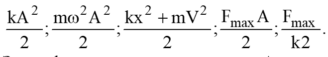
- 5.30. Пружинный маятник совершает гармонические колебания. Какие из приведенных выражений для полной энергии колеблющегося тела верны?

Характеристики домашнего задания
Предмет
Учебное заведение
Номер задания
Вариант
Программы
Теги
Просмотров
12
Качество
Идеальное компьютерное
Размер
165,45 Kb
Список файлов
1.15.docx
1.32.docx
2.15.docx
2.30.docx
3.15.docx
3.41.docx
4.15.docx
4.40.docx
5.5.docx
5.30.docx

🎓Помощь студентам Ивановских ВУЗов🎓 ❤️ Каждая приобретенная работа служит стимулом для добавления новых материалов и упрощает учебный процесс.