Для студентов МГТУ им. Н.Э.Баумана по предмету ФизикаЗадача 6.1 + Задача 6.2Задача 6.1 + Задача 6.2
5,0051
2024-04-302024-10-08СтудИзба
ДЗ 2: Задача 6.1 + Задача 6.2 вариант 1
-44%
Описание
Два полностью зачтенных типовых расчета по физике, отличное качество файла
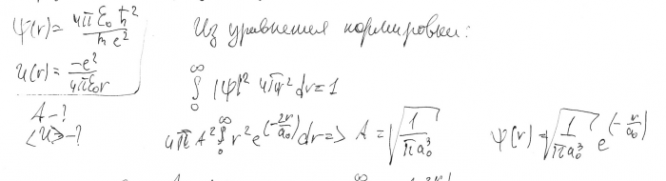
Условия:
Задача 6.1.01:
Задача 6.2.01:
Решение:
Задача 6.1.01:
Задача 6.2.01:
![]()
Условия:
Задача 6.1.01:


Задача 6.1.01:


Файлы условия, демо
Характеристики домашнего задания
Предмет
Учебное заведение
Семестр
Номер задания
Вариант
Просмотров
21
Размер
1,26 Mb
Список файлов
Физика ДЗ2 Вар1 6.1.01 + 6.2.01 сем4.pdf

Котики подняли настроение тебе, а поставив 5 звёзд на купленный файл, ты поднимешь его мне. Спасибо!