Для студентов МГТУ им. Н.Э.Баумана по предмету ФизикаКолебания + ВолныКолебания + Волны
5,0059
2022-05-012025-02-11СтудИзба
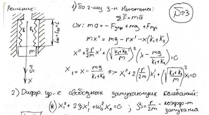
ДЗ 2: Колебания + Волны вариант 15
-25%
Описание
Файлы условия, демо
Характеристики домашнего задания
Предмет
Учебное заведение
Семестр
Номер задания
Вариант
Просмотров
80
Качество
Скан рукописных листов
Размер
2,95 Mb
Список файлов
Вариант 15 Дз-3,4 67.pdf

Спасибо за покупку! Я буду очень рад, если поставишь справедливую оценку купленному файлу :3 Ищи больше работ в моём профиле, там много нужного тебе!