Для студентов ТПУ по предмету ФизикаФизикаФизика
5,0054125
2026-02-12СтудИзба

Ответы к заданиям: Физика

Новинка

Описание

Ответы на тесты 1-22 по курсу Физика 2.1 / ДОФ ТПУ

Список вопросов

Автоколебания отличаются от вынужденных колебаний тем, что последние вызваны
Выберите один ответ:
Амплитуда вынужденных стационарных колебаний зависит от частоты вынуждающей силы и не зависит от частоты собственных колебаний.
Выберите один ответ:
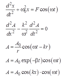
Установите соответствие между уравнениями и движением, которое они описывают.
Явление резкого возрастания амплитуды вынужденных колебаний при приближении вынуждающей частоты ω к частоте собственных колебаний системы называется
Выберите один ответ:
Коэффициентом затухания называется промежуток времени, в течение которого амплитуда колебаний уменьшается в е раз.
Выберите один ответ:
По какому закону уменьшается амплитуда затухающих колебаний?
Выберите один ответ:
Как изменяется частота незатухающих колебаний при наличии трения?
Выберите один ответ:
Затухающими колебаниями называются такие колебания, амплитуда которых с течением времени уменьшается
Выберите один ответ:
Логарифмическим декрементом затухания называется число колебаний, в течение которого амплитуда уменьшается в е раз.
Выберите один ответ:
При сложении двух сонаправленных гармонических колебаний с близкими частотами частота биений в два раза меньше разности частот этих колебаний.
Выберите один ответ:
При сложении двух сонаправленных гармонических колебаний с одинаковой частотой их амплитуды складываются.
Выберите один ответ:
В каком случае при сложении колебаний наблюдаются биения?
Выберите один ответ:
Взаимно перпендикулярные колебания с одинаковой частотой и амплитудой называются циркулярно поляризованными, если разность фаз этих колебаний равна
Выберите один или несколько ответов:
Колебания ускорения по сравнению с гармоническими колебаниями частицы
Выберите один ответ:
По какой формуле определяется циклическая (круговая) частота математического маятника длиной
Чтобы задать гармонические колебания частицы достаточно знать амплитуду и частоту колебаний.
Выберите один ответ:
Чему равняется работа упругих сил F=–kx за период гармонических колебаний x=x0sin(ωt)?
Выберите один ответ:
Уравнение смещения гармонического колебания имеет вид: Какой вид имеет амплитудное значение ускорения?
Установление тока при замыкании цепи происходит тем быстрее, чем
Выберите один ответ:
При замыкании и размыкании цепи в катушке возникает индукционный ток. В каком случае его значение будет больше?
Выберите один ответ:
Схема включения лампы дневного света (см. рисунок) содержит стартер 1 и дроссель (катушка с сердечником) 2. Стартер представляет собой биметаллическое реле (пусковое устройство), которое замыкает цепь с электродами лампы, а через некоторое время автоматически размыкает её. Напряжение в сети меньше, чем требуется для свечения лампы. В какой момент лампа начинает светить?
Выберите один ответ:
Какая из ламп на схеме после замыкания ключа загорится позже всех?

Выберите один ответ:
Временем релаксации – это время, в течение которого сила тока I
Выберите один ответ:
Определите взаимную индуктивность тороида и проходящего по его оси бесконечного прямого провода.
Тороид имеет прямоугольное сечение ширины а. Внутренний радиус тороида равен r1, внешний r2.Число витков тороида равно N.
Кольцо из сверхпроводника находится вблизи постоянного магнита и пронизывается магнитным потоком величиной Ф.
Как изменится этот поток, если магнит убрать?
Выберите один ответ:
По П-образному проводу перемещается с постоянной скоростью под действием силы F замыкающая провод перемычка (см. рисунок).
Контур находится в перпендикулярном к его плоскости однородном магнитном поле В.
Чему равна сила F, если в контуре выделяется каждую секунду количество теплоты Q′?

Знак минус в законе Фарадея отражает правило Ленца:
Выберите один ответ:
Между полюсами подковообразного магнита вращается алюминиевый диск (см. рисунок) в направлении, указанном стрелкой.
Какое направление имеет индукционный ток?
Выберите один ответ:
Сила Лоренца
Выберите один или несколько ответов:
На какой угол отклонятся линии тока в проводнике, если на них будет действовать поперечное магнитное поле с индукцией В.
Подвижность носителей заряда в проводнике μ считать известной.
Выберите один ответ:
В какую сторону отклонится горизонтальный пучок отрицательных ионов, если к нему сверху поднести магнит (см. рисунок)?
Выберите один ответ:
Что произойдет с сечением струи расплавленного металла, если через нее пропустить электрический ток?
Выберите один ответ:
На рисунке изображен проводник с током I в магнитном поле. Сила Ампера F, действующая на проводник, направлена, как показано на рисунке. Как направлен вектор магнитной индукции ?

Выберите один ответ:
Прямолинейный отрезок с током располагается под углом к силовым линиям однородного магнитного поля.
Куда направлена сила Ампера?
Выберите один ответ:
От чего зависит сила Ампера, действующая на замкнутый контур с током в однородном магнитном поле?
Выберите один ответ:
Имеется два параллельных металлических проводника, по которым бегут токи электронов в одном направлении, и два параллельных пучка электронов в вакууме, движущихся в одном направлении. Проводники с током и пучки будут притягиваться или отталкиваться друг от друга?
Выберите один ответ:
Чему равняется индукция в центре кругового контура радиуса R с током силой I?
Известно, что магнитное поле внутри идеального соленоида является однородным. Чему равняется индукция магнитного поля на краю идеального соленоида?
Выберите один ответ:
Согласно закону полного тока циркуляция напряженности магнитного поля по произвольному замкнутому контуру равняется
Выберите один или несколько ответов:
Укажите формулы, по которым можно определить индукцию магнитного поля на оси кругового тока.
Проволочный виток радиусом 5 см находится в однородном магнитном поле напряженностью 2 кА/м. Плоскость витка образует угол 60° с направлением поля. По витку течет ток 4 А. Найдите момент вращения, действующий на виток.
Выберите один ответ:
В каком месте Земли магнитная стрелка обоими концами показывает на юг?
Выберите один ответ:
Как направлены силовые линии магнитного поля прямого тока на рис. а?
В каком направлении течет ток на рис. б?
Выберите один ответ:
Согласно закону Био – Савара – Лапласа бесконечно малый проводник с током создает магнитное поле,
индукция которого в плоскости перпендикулярной этому отрезку зависит от расстояния r по закону
К легкому отрицательно заряженному шарику, подвешенному на шелковой нити, подносят северный полюс магнита.
Что будет происходить с шариком? Учесть, что магнитное поле действует только на движущиеся заряды.
Выберите один ответ:
Согласно теореме Гаусса поток силовых линий индукции магнитного поля через произвольную замкнутую поверхность в вакууме равен
Выберите один ответ:
Согласно закону Био - Савара - Лапласа бесконечно малый отрезок тока создает магнитное поле в точке с радиус вектором относительно этого отрезка, вектор индукции которого....
Выберите один ответ:
Кусок проволоки разрезали на n частей и скрутили по всей длине вместе.
Как изменилось сопротивление проволоки?
Выберите один ответ:
Как будет изменяться со временем сила тока до своего постоянного значения в лампе накаливания с металлической нитью после ее подключения к источнику тока?
Выберите один ответ:
Является ли работа, совершаемая источником тока во внутренней части цепи, величиной постоянной для данного источника?
Выберите один ответ:
По двум проводникам протекают токи, вектор плотности которых j1=a(2xz, –2yz, xy), j2=b(2zy, 2xz, 3).
Какой из этих токов является постоянным?
Выберите один ответ:
Если оборвется и упадет на землю провод линии высокого напряжения, в каком случае человек, оказавшись возле провода, будет в большей опасности, когда земля сухая или сырая?
Выберите один ответ:
Максимальное значение момент сил, действующий на электрический диполь в однородном электрическом поле, принимает, если угол между дипольным моментом и силовой линией поля равен
Выберите один ответ:
Пластины изолированного плоского конденсатора раздвигают так, что его емкость уменьшилась от 6192 до 261 пФ. Какую энергию на это затратили, если заряд конденсатора 486 мкКл?
Выберите один ответ:
Потенциальная энергия электрического диполя в однородном электрическом поле принимает максимальное значение, если угол между дипольным моментом и силовой линией поля равен
В однородном электрическом поле по действием момента сил диполь вращается вдоль силовых линий.
Выберите один ответ:
Воображаемая замкнутая поверхность S прохо­дит частично вне пластины из изотропного диэлектрика, частично – внутри нее (см. рисунок). Поток вектора D через эту поверхность равен нулю, поток вектора Е больше нуля. Какие можно сделать из этого выводы по поводу зарядов на выделяемой поверхностью S части пластины?
Выберите один ответ:
Что произойдет с а) напряженностью поля, б) индукцией, в) напряжением заряженного плоского воздушного конденсатора, если пространство между обкладками заполнить диэлектриком с проницаемостью ε?
Выберите один ответ:
Положительный и отрицательный точечные заряды притягиваются друг к другу с силой F. Как изменится эта сила, если между ними поместить шарик из диэлектрика?
Выберите один ответ:
В каком случае поток вектора электростатической индукции через замкнутую поверхность считается положительным?
Выберите один ответ:
Заряженные частицы под действием электрического поля движутся вдоль силовых линий.
Выберите один ответ:
Две одинаковые заряженные частицы массой m и зарядом q движутся навстречу друг другу. Скорость первой в два раза больше скорости второй. На какое минимальное расстояние сблизятся частицы?
Заряженная частица под действием электрического поля движется по окружности в плоскости перпендикулярной силовым линиям.
Выберите один ответ:
Скорость заряженной частицы под действием электрического поля направлена вдоль силовых линий.
Выберите один ответ:
Заряженная частица летит из точки А в точку В между обкладками заряженного конденсатора по траекториям, показанным на рисунке. В каком случае изменение ее кинетической энергии максимально?
Выберите один ответ:
Изолированный заряженный проводник поднесли к другому изолированному проводнику остриём, обращенным к заряженному проводнику (см. рисунок).
Что при этом произойдёт?
Выберите один ответ:
Что будет с разностью потенциалов между пластинами конденсатора, если уменьшить расстояние между ними?
Выберите один ответ:
Два одноименно заряженных металлических шарика одинакового размера приводятся в соприкосновение. Один из них полый. Как распределятся заряды на обоих шариках?
Выберите один ответ:
Какую работу нужно совершить для удаления заряда q, находящегося на расстоянии от плоской незаряженной проводящей поверхности, на бесконечное расстояние?
Чему равен "классический" радиус электрона, если предположить, что вся его масса m равняется массе его электростатического поля?
Как будет действовать положительно наэлектризованная палочка на магнитную стрелку?
Выберите один ответ:
По оси металлической трубы, сужающейся на участке АВ (см. рисунок), движется с постоянной скоростью заряженная частица. Изменится ли скорость частицы при прохождении участка сужения?
Выберите один ответ:
Эквипотенциальные поверхности – это поверхности,
Выберите один или несколько ответов:
Вычислите потенциал, создаваемый тонким равномерно заряженным стержнем с линейной плотностью заряда 10 нКл/м в точке, расположенной на оси стержня и удалённой от ближайшего конца стержня на расстояние, равное длине стержня.
Выберите один ответ:
Установите соответствие между физическими величинами и формулами.
Тонкий стержень с линейной плотностью заряда образует половину кольца. Чему равна работа по переносу точечного заряда из центра полукольца в бесконечность?
Выберите один ответ:
Принцип суперпозиции позволяет рассчитать потенциал электростатического поля любой системы зарядов. Если заряды не точечные, можно поступить следующим образом:
Выберите один ответ:
Точечный заряд – это
Выберите один ответ:
Потенциал численно равен
Выберите один ответ:
Потенциал на расстоянии r от оси внутри длинного однородно заряженного цилиндра с радиусом поперечного сечения R, объемной плотностью заряда ρ, диэлектрической проницаемостью ε описывается формулой
С учетом принципа суперпозиции нахождение потенциала результирующего поля сводится в случае
Зависимость вектора напряженности электрических полей от радиус-вектора в диэлектрике имеют следующий вид:
Пользуясь уравнением электростатического поля , определите являются ли эти поля электростатическими?
Выберите один ответ:
Потенциалом электростатического поля называется работа поля по перемещению единичного заряда вдоль силовых линий.
Выберите один ответ:
Потенциал на расстоянии r от оси внутри длинного однородно заряженного цилиндра с радиусом поперечного сечения R, объемной плотностью заряда ρ, диэлектрической проницаемостью ε описывается формулой
Эквипотенциальными поверхностями называются поверхности
Выберите один или несколько ответов:
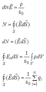
Укажите формулы, выражающие теорему Остроградского – Гаусса для электростатического поля в вакууме.
Укажите количество ошибок в следующей формулировке теоремы Гаусса:
поток электрического поля через поверхность прямо пропорционален заряду на этой поверхности.
Выберите один ответ:
По какой формуле в системе СИ вычисляется напряженность электрического поля, созданного равномерно заряженной бесконечной плоскостью?
Число силовых линий заряда Q равно
Выберите один ответ:
Установите соответствие между заряженными телами и формулами, используемыми для расчета полей.
Две полубесконечные равномерно заряженные нити с линейной плотностью заряда + расположены под прямым углом друг к другу. На расстоянии а от их концов поместили положительный заряд +q.
Сила, действующая на заряд, будет равна
Чтобы рассчитать силу взаимодействия между заряженными телами, нужно использовать
Выберите один ответ:
Тонкий стержень длиной равномерно заряжен. Линейная плотность заряда равна 1 мкКл/м. На продолжении оси стержня на расстоянии а = 20 см от ближайшего его конца находится точечный заряд Q = 100 нКл. Определите силу F взаимодействия заряженного стержня и точечного заряда.
Выберите один ответ:
Чтобы рассчитать силу взаимодействия двух заряженных тел, нужно перемножить заряды этих тел,
разделить на квадрат расстояния между центрами масс и умножить на коэффициент пропорциональности.
Выберите один ответ:
Можно ли концы стеклянной палочки зарядить разноименно?
Выберите один ответ:
Силовые линии – это траектории, по которым двигался бы положительный точечный заряд, внесенный в электрическое поле.
Выберите один ответ:
Может ли одно и то же тело – стеклянная палочка, при трении наэлектризовываться то положительно, то отрицательно?
Выберите один ответ:
Закон Кулона в вакууме имеет вид
Во сколько раз надо изменить расстояние между зарядами при увеличении одного из них в 4 раза, чтобы сила взаимодействия осталась прежней?
Выберите один ответ:
Как изменится масса положительно заряженного шара, если к нему прикоснуться пальцем?
Выберите один ответ:

Характеристики ответов (шпаргалок) к заданиям

Тип
Предмет
Учебное заведение
Семестр
Просмотров
0
Качество
Идеальное компьютерное
Количество вопросов
Картинка-подпись
Если нужен другой вариант работы или отдельная задача из любой работы, пишите в комментарии

Комментарии

Нет комментариев
Стань первым, кто что-нибудь напишет!
Поделитесь ссылкой:
Цена: 240 руб.
Расширенная гарантия +3 недели гарантии, +10% цены
Рейтинг автора
5 из 5
Поделитесь ссылкой:
Сопутствующие материалы

Подобрали для Вас услуги

-17%
Вы можете использовать полученные ответы для подготовки к экзамену в учебном заведении и других целях, не нарушающих законодательство РФ и устав Вашего учебного заведения.
Свежие статьи
Популярно сейчас
А знаете ли Вы, что из года в год задания практически не меняются? Математика, преподаваемая в учебных заведениях, никак не менялась минимум 30 лет. Найдите нужный учебный материал на СтудИзбе!
Ответы на популярные вопросы
Да! Наши авторы собирают и выкладывают те работы, которые сдаются в Вашем учебном заведении ежегодно и уже проверены преподавателями.
Да! У нас любой человек может выложить любую учебную работу и зарабатывать на её продажах! Но каждый учебный материал публикуется только после тщательной проверки администрацией.
Вернём деньги! А если быть более точными, то автору даётся немного времени на исправление, а если не исправит или выйдет время, то вернём деньги в полном объёме!
Да! На равне с готовыми студенческими работами у нас продаются услуги. Цены на услуги видны сразу, то есть Вам нужно только указать параметры и сразу можно оплачивать.
Отзывы студентов
Ставлю 10/10
Все нравится, очень удобный сайт, помогает в учебе. Кроме этого, можно заработать самому, выставляя готовые учебные материалы на продажу здесь. Рейтинги и отзывы на преподавателей очень помогают сориентироваться в начале нового семестра. Спасибо за такую функцию. Ставлю максимальную оценку.
Лучшая платформа для успешной сдачи сессии
Познакомился со СтудИзбой благодаря своему другу, очень нравится интерфейс, количество доступных файлов, цена, в общем, все прекрасно. Даже сам продаю какие-то свои работы.
Студизба ван лав ❤
Очень офигенный сайт для студентов. Много полезных учебных материалов. Пользуюсь студизбой с октября 2021 года. Серьёзных нареканий нет. Хотелось бы, что бы ввели подписочную модель и сделали материалы дешевле 300 рублей в рамках подписки бесплатными.
Отличный сайт
Лично меня всё устраивает - и покупка, и продажа; и цены, и возможность предпросмотра куска файла, и обилие бесплатных файлов (в подборках по авторам, читай, ВУЗам и факультетам). Есть определённые баги, но всё решаемо, да и администраторы реагируют в течение суток.
Маленький отзыв о большом помощнике!
Студизба спасает в те моменты, когда сроки горят, а работ накопилось достаточно. Довольно удобный сайт с простой навигацией и огромным количеством материалов.
Студ. Изба как крупнейший сборник работ для студентов
Тут дофига бывает всего полезного. Печально, что бывают предметы по которым даже одного бесплатного решения нет, но это скорее вопрос к студентам. В остальном всё здорово.
Спасательный островок
Если уже не успеваешь разобраться или застрял на каком-то задание поможет тебе быстро и недорого решить твою проблему.
Всё и так отлично
Всё очень удобно. Особенно круто, что есть система бонусов и можно выводить остатки денег. Очень много качественных бесплатных файлов.
Отзыв о системе "Студизба"
Отличная платформа для распространения работ, востребованных студентами. Хорошо налаженная и качественная работа сайта, огромная база заданий и аудитория.
Отличный помощник
Отличный сайт с кучей полезных файлов, позволяющий найти много методичек / учебников / отзывов о вузах и преподователях.
Отлично помогает студентам в любой момент для решения трудных и незамедлительных задач
Хотелось бы больше конкретной информации о преподавателях. А так в принципе хороший сайт, всегда им пользуюсь и ни разу не было желания прекратить. Хороший сайт для помощи студентам, удобный и приятный интерфейс. Из недостатков можно выделить только отсутствия небольшого количества файлов.
Спасибо за шикарный сайт
Великолепный сайт на котором студент за не большие деньги может найти помощь с дз, проектами курсовыми, лабораторными, а также узнать отзывы на преподавателей и бесплатно скачать пособия.
Популярные преподаватели
Добавляйте материалы
и зарабатывайте!
Продажи идут автоматически
7039
Авторов
на СтудИзбе
260
Средний доход
с одного платного файла
Обучение Подробнее