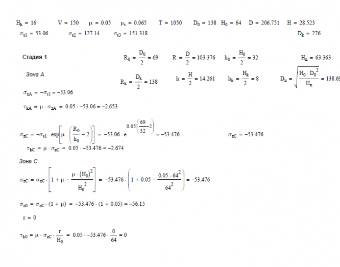
Для студентов МГТУ им. Н.Э.Баумана по предмету Физика и механика пластических деформаций (ФМПД) (МТ-6)Решение задачи осадки цилиндрической заготовки инженерным методомРешение задачи осадки цилиндрической заготовки инженерным методом
5,0052
2019-01-242019-01-24СтудИзба
ДЗ: Решение задачи осадки цилиндрической заготовки инженерным методом вариант 6
Описание
Характеристики домашнего задания
Учебное заведение
Семестр
Вариант
Программы
Просмотров
381
Качество
Идеальное компьютерное
Размер
11,81 Mb
Список файлов
ДЗ.xmcd
Сигма С.xmcd
Графики.xmcd
PDF.pdf
Сборка с черновиками.pdf

Вам все понравилось? Получите кэшбэк - 40 рублей на Ваш счёт при покупке. Поставьте оценку и напишите положительный комментарий к купленному файлу. После Вы получите деньги на ваш счет.