Для студентов НГТУ по предмету Физические основы электроники (ФОЭ)ФормулыФормулы
2021-09-072021-09-07СтудИзба
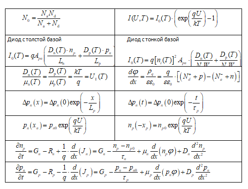
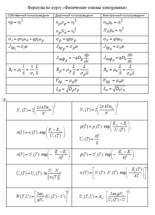
Другое: Формулы
Описание


Характеристики учебной работы
Тип
Учебное заведение
Семестр
Просмотров
13
Качество
Идеальное компьютерное
Размер
67,68 Kb
Список файлов

Вам все понравилось? Получите кэшбэк - 40 рублей на Ваш счёт при покупке. Поставьте оценку и напишите положительный комментарий к купленному файлу. После Вы получите деньги на ваш счет.