Для студентов по предмету Финансовая математикаПредприятие производит 3 типа продукции, используя 4 вида ресурсов. Нормы затрат ресурса i-го товара на производство единицы продукции j-го типа заданПредприятие производит 3 типа продукции, используя 4 вида ресурсов. Нормы затрат ресурса i-го товара на производство единицы продукции j-го типа задан
5,0052
2023-01-162023-01-16СтудИзба
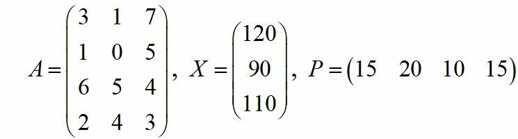
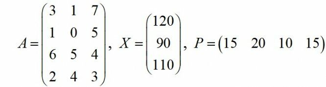
Предприятие производит 3 типа продукции, используя 4 вида ресурсов. Нормы затрат ресурса i-го товара на производство единицы продукции j-го типа заданы матрицей затрат A. Пусть за определенный промежуток времени предприятие выпустило количество проду
Описание
Предприятие производит 3 типа продукции, используя 4 вида ресурсов. Нормы затрат ресурса i-го товара на производство единицы продукции j-го типа заданы матрицей затрат A. Пусть за определенный промежуток времени предприятие выпустило количество продукции каждого типа xij, записанное матрицей X. Пусть стоимость каждого вида ресурсов в расчете на единицу задана матрицей P.
Определить матрицу S полных затрат ресурсов каждого вида на производство всей продукции за данный период времени и полную стоимость всех затраченных за данный период времени ресурсов, если ![]()
Характеристики решённой задачи
Предмет
Программы
Просмотров
17
Качество
Идеальное компьютерное
Размер
47,48 Kb
Список файлов
Задача.docx
