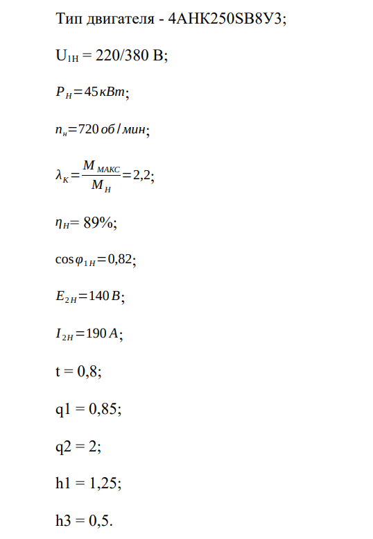
Для студентов МГТУ им. Н.Э.Баумана по предмету Электротехника (ЭлТех)Вариант 2 - Расчёт характеристик Трехфазных асинхронных двигателей с фазным роторомВариант 2 - Расчёт характеристик Трехфазных асинхронных двигателей с фазным ротором
5,0052
2021-03-302021-03-30СтудИзба
ДЗ 3: Вариант 2 - Расчёт характеристик Трехфазных асинхронных двигателей с фазным ротором вариант 2
Описание

Характеристики домашнего задания
Предмет
Учебное заведение
Семестр
Номер задания
Вариант
Просмотров
101
Размер
243,23 Kb
МГТУ им. Н.Э.Баумана
Amaxasla


















