Для студентов по предмету ЭлектроэнергетикаКонтрольная работаКонтрольная работа
5,0053192
2022-08-172022-08-17СтудИзба
ДЗ: Контрольная работа вариант 8
Описание
Задачи для контрольной работы
Задача 1
На районной подстанции установлен автотрансформатор, марка которого приведена в табл. 1. Параметры нагрузки со стороны среднего напряжения (Sс=P+jQ) также представлены в табл. 1, а со стороны низшего напряжения нагрузка подключения Sн=10+j3 МВА. Напряжение, подводимое к обмотке высшего напряжение, задано в табл. 1. Выбрать ответвление РПН автотрансформатора для обеспечения на шинах среднего напряжения величины 115 кВ. Найти напряжение на шинах низшего напряжения подстанции.
Задача 2
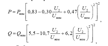
Задана электрическая сеть с номинальным напряжением 10 кВ и фиксированным коэффициентом трансформации 10/0,4 кВ трансформатора ТМ-1000/10 (рисунок 1). Марка провода линии и её длина даны в табл. 2. Параметры нагрузки подключения на стороне 0,38 кВ трансформатора при номинальном напряжении 10 кВ приведены в табл. 2 и изменяются по статическим характеристикам
где P, Q – нагрузки при номинальном напряжении.
Напряжение в точке питания U1=10,5 кВ. Требуется определить мощность батареи конденсаторов, которую необходимо установить на шинах 0,38 кВ подстанции для повышения напряжения в этой точке на 5%. Определить изменение потерь активной мощности в результате установки батареи конденсаторов.
Задача 1
На районной подстанции установлен автотрансформатор, марка которого приведена в табл. 1. Параметры нагрузки со стороны среднего напряжения (Sс=P+jQ) также представлены в табл. 1, а со стороны низшего напряжения нагрузка подключения Sн=10+j3 МВА. Напряжение, подводимое к обмотке высшего напряжение, задано в табл. 1. Выбрать ответвление РПН автотрансформатора для обеспечения на шинах среднего напряжения величины 115 кВ. Найти напряжение на шинах низшего напряжения подстанции.
Задача 2
Задана электрическая сеть с номинальным напряжением 10 кВ и фиксированным коэффициентом трансформации 10/0,4 кВ трансформатора ТМ-1000/10 (рисунок 1). Марка провода линии и её длина даны в табл. 2. Параметры нагрузки подключения на стороне 0,38 кВ трансформатора при номинальном напряжении 10 кВ приведены в табл. 2 и изменяются по статическим характеристикам

Напряжение в точке питания U1=10,5 кВ. Требуется определить мощность батареи конденсаторов, которую необходимо установить на шинах 0,38 кВ подстанции для повышения напряжения в этой точке на 5%. Определить изменение потерь активной мощности в результате установки батареи конденсаторов.
Файлы условия, демо
Характеристики домашнего задания
Предмет
Вариант
Просмотров
2
Качество
Идеальное компьютерное
Размер
968,93 Kb
Список файлов
2 задачи по сетям.docx

Если нужен другой вариант работы или отдельная задача из любой работы, пишите в комментарии