Для студентов по предмету ЭкономикаДля исходной задачи составить двойственную.Для исходной задачи составить двойственную.
5,0053344
2025-03-072025-03-07СтудИзба
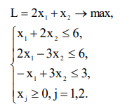
Задача: Для исходной задачи составить двойственную.
Описание
Для исходной задачи составить двойственную. Решить обе задачи симплексным методом или двойственным симплексным методом и по решению каждой из них найти решение другой. Одну из задач решить графическим методом.
![]()

Характеристики решённой задачи
Предмет
Просмотров
1
Качество
Идеальное компьютерное
Размер
192,6 Kb
Список файлов
ЭММ -4-8.pdf

Если нужен другой вариант работы или отдельная задача из любой работы, пишите в комментарии