Для студентов по предмету Дискретная математикаМаксимально упростите логическое выражение, воспользовавшись законами логики. Затем с помощью таблиц истинности сравните ваше упрощенное выражение с иМаксимально упростите логическое выражение, воспользовавшись законами логики. Затем с помощью таблиц истинности сравните ваше упрощенное выражение с и
5,00518076
2023-01-172023-01-17СтудИзба
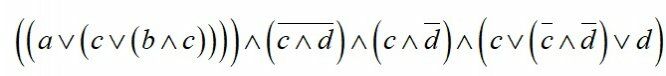
Максимально упростите логическое выражение, воспользовавшись законами логики. Затем с помощью таблиц истинности сравните ваше упрощенное выражение с исходным.
Описание
Максимально упростите логическое выражение, воспользовавшись законами логики. Затем с помощью таблиц истинности сравните ваше упрощенное выражение с исходным.
Характеристики решённой задачи
Предмет
Программы
Просмотров
1
Качество
Идеальное компьютерное
Размер
88,67 Kb
Список файлов
Задача.docx
