Для студентов МГТУ им. Н.Э.Баумана по предмету Дифференциальные и разностные уравнения"Дифференциальные уравнения""Дифференциальные уравнения"
5,0051
2023-08-242023-08-24СтудИзба
Прорешанный РК № 2 "Дифференциальные уравнения - практика" ИБМ вар. 6, 16, 26
Ответы к контрольной работе 2: "Дифференциальные уравнения" вариант 6, 16, 26
Описание
В файле решенная практическая часть РК № 2 "Дифференциальные уравнения - практика" для ИБМ комплект "для ИБМ-2016" 2 семестр
Билеты были актуальны в 2023 году
Вар. № 6, 16, 26
5 заданий
7 страниц
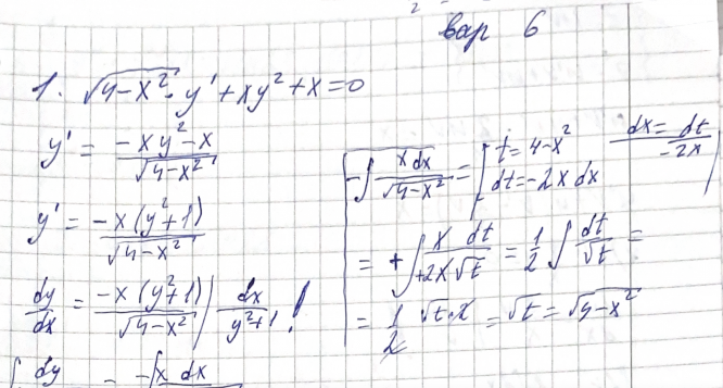
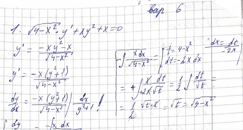
часть работы:![]()
Билеты были актуальны в 2023 году
Вар. № 6, 16, 26
5 заданий
7 страниц
часть работы:
Характеристики ответов (шпаргалок) к КР
Учебное заведение
Семестр
Номер задания
Просмотров
32
Качество
Скан рукописных листов
Размер
32,85 Mb
Преподаватели
Список файлов
Вар6.pdf
Комментарии
Нет комментариев
Стань первым, кто что-нибудь напишет!
МГТУ им. Н.Э.Баумана



















