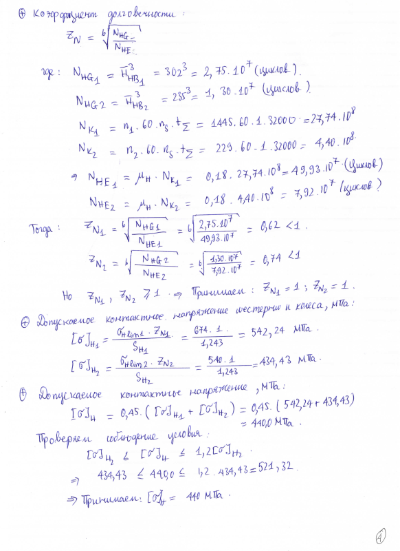
Для студентов МГТУ им. Н.Э.Баумана по предмету Детали машин (ДМ)Расчет передачиРасчет передачи
5,0056
2022-10-212024-11-27СтудИзба
ДЗ П-2: Расчет передачи вариант 2
Описание
Характеристики домашнего задания
Предмет
Учебное заведение
Семестр
Номер задания
Вариант
Просмотров
173
Качество
Скан рукописных листов
Размер
6,57 Mb
Список файлов
Nguen_An_Chieu-_MT3I-51-_Domashnee_zadanie_2_po_detali_mashinu.pdf

Ваше удовлетворение является нашим приоритетом, если вы удовлетворены нами, пожалуйста, оставьте нам 5 ЗВЕЗД и позитивных комментариев. Спасибо большое!. Смотрите файлы в моем профиле, там есть много полезных !