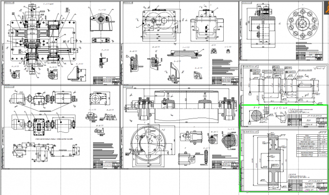
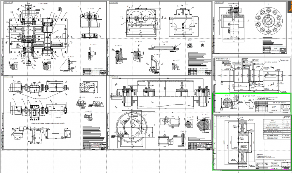
Привод ленточного транспортера с двухступенчатым цилиндрическим соосным однопоточным редуктором с косозубыми передачами внешнего зацепления
Описание
В файле РПЗ, Листы и спецификации - Привод ленточного транспортера с двухступенчатым цилиндрическим соосным однопоточным редуктором с косозубыми передачами внешнего зацепления
Спроектировать:Привод ленточного транспортера с двухступенчатым цилиндрическим соосным однопоточным редуктором с косозубыми передачами внешнего зацепления
Разработать:
1) Общий вид привода. 2) Редуктор. 3) Чертежи деталей. 4) Компенсирующую муфту. 5) Приводной вал



СОДЕРЖАНИЕ
Техническое задание…………………………………………………………………….4
Введение…………………………………………………………………………..……...5
1. Расчет привода с выбором электродвигателя……………………………………………….6
1.1 Определение параметров для проектного расчета на ЭВМ…………………….....6
1.2. Результат расчета……………………………………………………………………6
2. Эскизное проектирование…………………………………………………………………….7
2.1 Проектные расчеты валов…………………………………………………………...7
2.2 Выбор типа и схемы установки подшипников…………………………………….9
2.3 Составление компоновочной схемы………………………………………………10
3. Конструирование цилиндрических зубчатых колес…………………………………….…11
3.1 Общие положения конструирования колес…………………………………….…11
3.2. Колесо быстроходной ступени……………………………………………………12
3.3. Колесо тихоходной ступени………………………………………………………12
4. Расчет соединений…………………………………………………………………………...12
4.1 Шпоночные соединения……………………………………………………………12
4.2 Соединения с натягом………………………………………………………………13
5. Подбор подшипников качения на заданный ресурс……………………………………….15
5.1 Расчет подшипников на тихоходном валу………………………………………..15
5.2 Выбор посадок подшипников……………………………………………………..19
6. Конструирование корпусных деталей и крышек подшипников…………………………20
6.1 Корпус редуктора…………………………………………………………………..20
6.2 Крепление крышки редуктора к корпусу…………………………………………21
6.3 Опорная часть корпуса…………………………………………………………….22
6.4 Конструирование опор подшипников……………………………………………,23
7. Расчет валов на статическую прочность и сопротивление усталости…………………...24
7.1 Расчет тихоходного вала…………………………………………………………...24
8.Смазочные устройства……………………………………………………………………….30
8.1 Средства обслуживания и контроля……………………………………………….30
8.2 Оформление сливных отверстий…………………………………………………..31
8.3. Смазывание подшипников………………………………………………………...31
9. Проектирование муфты……………………………………………………………………...32
9.1. Выбор муфты……………………………………………………………………….32
Заключение………………………………………………………………………...........33
Список использованных источников………………………………………………….34
Приложение А………………………………………………………………………......35
Приложение Б…………………………………………………………………………...36
Приложение В…………………………………………………………………………..37
Приложение Г…………………………………………………………………………...39Характеристики курсовой работы
Список файлов

Комментарии



