КМ-3. Задание по Matlab/Scilab.
Описание
Выполнение работы по предмету цифровая обработка сигнала: Вариант 1 На оценку: 5
Задание 1. Изучить работу источников сигналов: STEP_FUNCTION, PULSE_SC, GENSIN_f и RAND_m (группа Sources), осциллографа CSCOPE (группа Sinks, здесь придется добавить источник CLOCK_c для синхронизации осциллографа). Методические указания: следует установить длительность счета на уровне 3-5 периодов сигнала; шаг счета примерно в 1000 раз меньше периода сигнала. Необходимо испытать источники сигналов при различных настройках, сделать выводы о влиянии параметров на получаемый сигнал.
Задание 2. Привести пример «дискретизации» аналогового сигнала (синусоида с круговой частотой 10 и амплитудой 0,5), путем перемножения этого сигнала с последовательностью коротких прямоугольных импульсов (амплитудой 1, длительность импульса 2% от периода, период следования импульсов необходимо выбрать так, чтобы на периоде синусоиды было 10-15 импульсов). Повторить эксперимент, увеличив частоту синусоидального сигнала в 10 раз, частоту следования импульсов при этом следует оставить прежней. Сделать выводы. Методические указания: перемножение осуществляется блоком PRODUCT из группы Mathematical operations.
Задание 3. Осуществить квантование дискретного сигнала, полученного в п. 2. Для этого использовать блок QUANT_f группы Discontinuities c шагом 0.01. Используя сумматор (блок SUMMATION группы Mathematical operations), вычислить разность дискретного и квантованного сигнала - ошибку квантования.
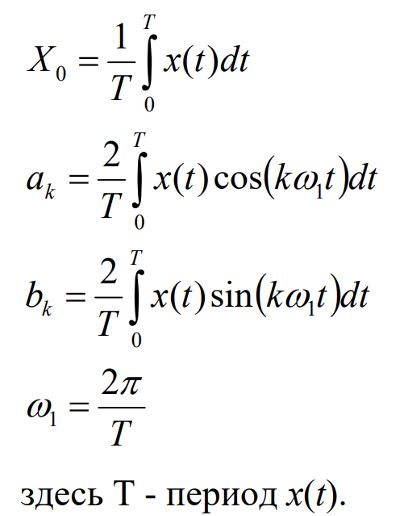
Задание 4. Используя блоки INTEGRAL_f (группа Continuous time systems), GAIN_f (группа Mathematical operations) и AFFICH_m (группа Sinks) провести вычисление среднего значения X0 и коэффициентов ak, bk первых пяти гармоник последовательности прямоугольных импульсов x(t) (амплитуда 5, длительность импульса (17+N*5)% периода, где N – номер по варианту (в моем случае N=1 ), период следования импульсов 0,01 с) по формулам (результат - 11 чисел в блоках AFFICH_m):

Изучить работу источников сигналов: STEP_FUNCTION, PULSE_SC, GENSIN_f и RAND_m (группа Sources), осциллографа CSCOPE (группа Sinks, здесь придется добавить источник CLOCK_c для синхронизации осциллографа). Методические указания: следует установить длительность счета на уровне 3-5 периодов сигнала; шаг счета примерно в 1000 раз меньше периода сигнала. Необходимо испытать источники сигналов при различных настройках, сделать выводы о влиянии параметров на получаемый сигнал. Задание 2. Привести пример «дискретизации» аналогового сигнала (синусоида с круговой частотой 10 и амплитудой 0,5), путем перемножения этого сигнала с последовательностью коротких прямоугольных импульсов (амплитудой 1, длительность импульса 2% от периода, период следования импульсов необходимо выбрать так, чтобы на периоде синусоиды было 10-15 импульсов).
Повторить эксперимент, увеличив частоту синусоидального сигнала в 10 раз, частоту следования импульсов при этом следует оставить прежней. Сделать выводы. Методические указания: перемножение осуществляется блоком PRODUCT из группы Mathematical operations. Задание 3. Осуществить квантование дискретного сигнала, полученного в п. 2. Для этого использовать блок QUANT_f группы Discontinuities c шагом 0.01. Используя сумматор (блок SUMMATION группы Mathematical operations), вычислить разность дискретного и квантованного сигнала - ошибку квантования. Задание 4. Используя блоки INTEGRAL_f (группа Continuous time systems), GAIN_f (группа Mathematical operations) и AFFICH_m (группа Sinks) провести вычисление среднего значения X0 и коэффициентов ak, bk первых пяти гармоник последовательности прямоугольных импульсов x(t) (амплитуда 5, длительность импульса (17+N*5)% периода, где N – номер по варианту (в моем случае N=1 ), период следования импульсов 0,01 с) по формулам (результат - 11 чисел в блоках AFFICH_m): .