Для студентов АГУ в г. Рубцовск по предмету Анализ данныхКонтрольная работа по анализу данныхКонтрольная работа по анализу данных
5,0057
2023-01-142023-01-14СтудИзба
Задача: Контрольная работа по анализу данных
Описание
Задачи по анализу данных
Задание 1
Ребенок играет разноцветными кубиками, на которых написаны буквы: О, А, К, О, И, А, К, Р, Ш. Найти вероятность того, что произвольно поставленные в ряд пять букв образуют слово «РИКША».
Задание 2
В контрольной работе 5 задач. Для каждой задачи вероятность того, что слабо подготовленный студент решит ее правильно, равна 0,3. Составить закон распределения числа верно решенных задач для слабо подготовленного студента.
Найти:
1) числовые характеристики случайной величины;2) функцию распределения этой случайной величины и построить ее график;
3) вероятность получения зачета, если зачет выставляется за работу, в которой решено не менее трех задач.
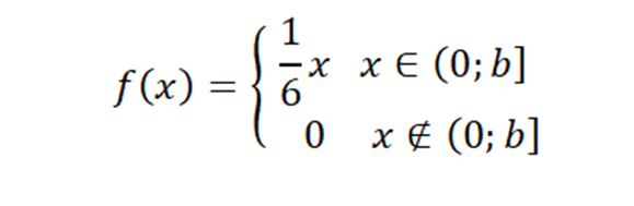
Задание 4
Плотность вероятности случайной величины X имеет вид:
Найти:
а) параметр b;б) функцию распределения F(X);
в) Вероятность P(0.
Файлы условия, демо
Характеристики решённой задачи
Предмет
Учебное заведение
Семестр
Просмотров
6
Размер
52,24 Kb
Список файлов
Контрольная по анализу данных.docx
АГУ в г. Рубцовск

















