Курсач_2003 (991074)
Текст из файла
Московский Энергетический Институт
(Технический Университет)
Курсовая работа по «физике п/п приборов и
интегральных микросхем».
Тема: «Расчет диода».
Выполнил: ст. гр. ЭЛ-15-04
Гончаров Е.О.
Проверил: преподаватель
Филиков В.А.
г. Москва, 2008г.
ОГЛАВЛЕНИЕ.
Введение…………………………………………………………………………………………..3
Технологические параметры диффузии………………………………………………………...5
Расчет ширины ОПЗ и его зависимость от напряжения……………………………………….8
Расчет энергетических диаграмм………………………………………………………………..9
Распределение электрического поля, изменение потенциала с расстоянием, распределение пространственного заряда………………………………………………………………………11
Расчет и построение ВАХ при нескольких температурах……………………………………12
Расчет барьерной емкости………………………………………………………………………14
Расчет диффузионной емкости…………………………………………………………………15
Описание инжекционной способности перехода……………………………………………..16
Приложение к курсовому проекту……………………………………………………………..17
Литература……………………………………………………………………………………….30
Введение
Полупроводниковые приборы продолжают завоевывать все новые позиции в электронике и электротехнике. В основе изучения большинства полупроводниковых приборов остается плоскостной полупроводниковый диод, как классический образец для анализа и понимания явлений, протекающих в п/п элементах с p-n переходами. Диоды входят практически во все п/п устройства. Наибольшее распространение получили кремниевые диоды, особенно в преобразовательной технике. Выпрямительные устройства на базе, например, кремниевых диодов характеризуются высоким коэффициентом полезного действия, малыми габаритами, малым весом, простотой эксплуатации.
Существует несколько способов получения p-n перехода: сплавной переход, диффузионный, диффузионный планарный на эпитаксиальной подложке, ионно-имплантированный. Применение метода высокотемпературной диффузии позволяет более точно управлять распределением примеси, получать p-n переход на заданной глубине, возможность получить на п/п материале с исходной концентрацией Nисх различные напряжения пробоя. Легирующие элементы должны иметь достаточно высокую скорость диффузии и хорошую растворимость в п/п при температуре диффузии.
При производстве диода на кремнии n-типа при формировании структуры p+-n-n+ в качестве диффундирующих атомов примесей используют атомарные бор, алюминий и фосфор. В качестве исходного диффузанта используют спиртовой раствор Al2(NO3)2 совместно с B2O3, нанесенный на механически шлифованную поверхность кремния. Диффузия фосфора проводится из химически высаженного на кремнии никеля. Метод такого формирования p+-n перехода позволяет: регулировать напряжение пробоя за счет за счет изменения градиента концентрации примеси в p+-n переходе, который обусловлен диффузией атомов алюминия, обеспечивать малые падения напряжения на невыпрямляющих контактах «Ме-п/п»за счет большой поверхностной концентрации атомов бора.
Исходные данные:
Uпроб = 1000 В
Тпред = 120 ˚С
Iобр < 20 мА
Iпр = 1 мА
Si, n-тип.
Вспомогательные величины:
см2/В*с
см2/В*с
Ф/см
Дж/град
см-3
ТЕХНОЛОГИЧЕСКИЕ ПАРАМЕТРЫ ДИФФУЗИИ
Рассчитаем градиент концентрации по следующей формуле:
тогда
Оценим необходимое удельное сопротивление кремния: Uпроб = 86ρ0,65 . Тогда
Ом*см.
Исходя из этого выбираем марку кремния КЭФ 45 группа 2В.
Рассчитаем концентрацию носителей заряда и критическую напряженность электрического поля при данной концентрации:
см-3
из уравнения
Nисх = C0*Eкр2*exp(-b0/Eкр)
при известных C0 = 3,15*107 [1/(В2*см)]
b0 = 1,74*106 [В/см]
найдем
Будем проводить диффузию всех примесей при T=1200 ˚C:
ниже приведены значения для коэффициентов диффузии бора, фосфора и алюминия, а также их поверхностные концентрации при выбранной температуре диффузии:
рассчитаем время диффузии алюминия:
диффузию бора тогда будем также проводить 1,2 часа. Глубина залегания примесей алюминия и бора равна:
см = 14,5076 мкм.
см = 5,15852 мкм.
для диффузии фосфора пусть глубина залегания будет 10 мкм. Тогда:
часов.
Распределения атомов алюминия , бора и фосфора подчиняются закону Гаусса:
Рассчитаем толщину n – области:
см
тогда толщина всей структуры
см = 136,25 мкм.
Итоговое распределение примесей в структуре см. в приложении рис.1.
Расчет ширины ОПЗ и его зависимость от напряжения
Рассматриваем плавный переход. Используя приближение, что Na(x)=Na_s получим выражение для ϕk:
тогда
см.
Ниже представлен график зависимости ширины ОПЗ от приложенного обратного напряжения.
Расчет энергетических диаграмм
-
При нулевом смещении.
а) расчет для p – области.
см.
На первом участке, когда концентрация бора превышает концентрацию алюминия, производим расчеты по формуле:
а на втором участке:
Некоторые результаты представим в виде таблицы:
| p - область | x, мкм | Ef-Ei |
| B | 0 | 0,622496 |
| 1 | 0,589588 | |
| 2 | 0,532545 | |
| Al | 3 | 0,508142 |
| 4 | 0,49328 | |
| 5 | 0,475898 | |
| 6 | 0,455912 | |
| 7 | 0,433254 | |
| 8 | 0,407873 | |
| 9 | 0,379724 | |
| 10 | 0,348774 | |
| 11 | 0,314994 | |
| 12 | 0,278361 | |
| 13 | 0,238856 | |
| 14 | 0,196462 |
б) расчет для n+ - области (легированной фосфором).
| n - область | x, мкм | Ef-Ei |
| P | 0 | 0,640518 |
| 1 | 0,625927 | |
| 2 | 0,605148 | |
| 3 | 0,577559 | |
| 4 | 0,542735 | |
| 5 | 0,500385 | |
| 6 | 0,450309 | |
| 7 | 0,392365 | |
| 8 | 0,326452 | |
| 9 | 0,252494 | |
| 10 | 0,170434 |
-
При положительном смещении.
В.
см.
-
При отрицательном смещении.
В.
см.
Энергетические диаграммы представлены в приложении на рис.2 – рис. 4.
Распределение электрического поля, изменение потенциала с расстоянием, распределение пространственного заряда.
из соотношения Na/Nd = dn/dp :
см.
Таким образом видно, что фактически вся ширина ОПЗ является dn. и тогда построения можно провести только для 0<x<dn.
Все соответствующие графики приведены в приложении на рис.5 – рис.7.
Здесь же для наглядности приведем уменьшенные копии этих графиков:
Расчет и построение ВАХ при нескольких температурах
-
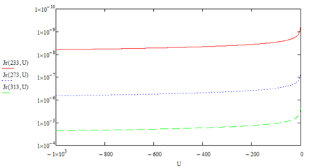
Расчет обратной ветви.
с учетом выше указанного, что ширина ОПЗ фактически равна dn, преобразуем следующую формулу для расчета обратного тока, а именно: вместо dn поставим в нее значение для ширины ОПЗ:
Приведем здесь для наглядности уменьшенную копию этого графика (построения при температурах 233 К, 273 К и 313 К):
-
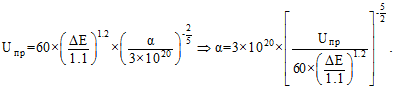
Расчет прямой ветви.
Зададим, что площадь p-n перехода Apn равна 0,01 см2. Затем приведем необходимые формулы для расчета:
Тогда подставив все вышеперечисленные формулы в уравнение для Io, узнаем этот ток. А зная, его, можем рассчитать ток прямой ветви ВАХ:
уравнение для прямой ветви ВАХ:
Так как уравнение для расчета выглядит как U=f(I), легче будет построить график именно в таких координатах. Приведем его уменьшенную копию здесь для наглядности:
Соответствующие расчетам графики представлены в приложении на рис.8 и рис.9.
Расчет барьерной емкости
См. рис.10 в приложении.
Характеристики
Тип файла документ
Документы такого типа открываются такими программами, как Microsoft Office Word на компьютерах Windows, Apple Pages на компьютерах Mac, Open Office - бесплатная альтернатива на различных платформах, в том числе Linux. Наиболее простым и современным решением будут Google документы, так как открываются онлайн без скачивания прямо в браузере на любой платформе. Существуют российские качественные аналоги, например от Яндекса.
Будьте внимательны на мобильных устройствах, так как там используются упрощённый функционал даже в официальном приложении от Microsoft, поэтому для просмотра скачивайте PDF-версию. А если нужно редактировать файл, то используйте оригинальный файл.
Файлы такого типа обычно разбиты на страницы, а текст может быть форматированным (жирный, курсив, выбор шрифта, таблицы и т.п.), а также в него можно добавлять изображения. Формат идеально подходит для рефератов, докладов и РПЗ курсовых проектов, которые необходимо распечатать. Кстати перед печатью также сохраняйте файл в PDF, так как принтер может начудить со шрифтами.















