Тиристор (989930), страница 2
Текст из файла (страница 2)
По мере роста прямого напряжения на p-n переходе диффузионная компонента тока JpD начинает превалировать над рекомбинационной. В терминах эффективности эмиттера γ это эквивалентно возрастанию эффективности эмиттера, а следовательно, и увеличению коэффициента передачи α = γ·κ. На рисунке 7.6 показана зонная диаграмма эмиттерного перехода, которая иллюстрирует конкуренцию двух токов - рекомбинационного и диффузионного в токе эмиттера, а на рисунке 7.8 - типичная зависимость коэффициента передачи α от тока эмиттера Iэ при наличии рекомбинационных центров в ОПЗ p-n перехода.
Рис. 7.8. Типичная зависимость коэффициента передачи α от тока эмиттера Iэ при наличии сильной рекомбинации в ОПЗ p-n переходов
Тринистор
Как уже говорилось, чтобы перевести тиристор в открытое состояние, необходимо накопить избыточный отрицательный заряд в базе n1 и положительный в базе р2. Это осуществляется путем увеличения уровня инжекции через эмиттерные переходы П1 и П3 при увеличении напряжения на тиристоре до Uперекл. Накоплением объемных зарядов в базах Б1 и Б2 можно управлять, если у одной из баз имеется контакт, который называется управляющим электродом (см. рис. 7.1б).
На управляющий электрод базы подается напряжение такой полярности, чтобы прилегающий к этой базе эмиттерный переход был включен в прямом направлении. Это приводит к росту тока через эмиттерный переход и снижению Uперекл. На рисунке 7.9 приведено семейство ВАХ тиристора при различных значениях управляющего тока.
При достаточно больших значениях тока Iупр ВАХ тиристора вырождается в прямую ветвь ВАХ диода. Критическое значение тока Iупр, при котором на ВАХ тиристора исчезает участок с отрицательным диффиренциальным сопротивлением и тринистор включается, минуя запертое состояние, называется током спрямления.
Таким образом, наличие Iупр принципиально не меняет существа процессов, определяющих вид ВАХ тиристора, но меняет значения параметров: напряжение переключения и ток переключения.
Рис. 7.9. ВАХ тринистора при различных значениях управляющего тока базы Iупр
На рисунке 7.10 приведены параметры, характеризующие различного сорта тиристоры в зависимости от выбора рабочей точки. Наиболее важные параметры - это время включения и выключения тиристора и управляющий ток.
Рис. 7.10. Примеры характеристик кремниевых тринисторов КУ104
Феноменологическое описание ВАХ тринистора
Аналогично как для динистора, запишем систему уравнений для тока тиристора через эмиттерный и коллекторный p-n переходы, с учетом управляющего тока Iу через вторую базу
(7.7)
Сумма всех токов, протекающих через переход П3, будет равна:
На рисунке 7.11 приведена схема тринистора, используемая для расчета вольт-амперных характеристик в закрытом состоянии.
Рис. 7.11. Схема включения тринистора для расчета ВАХ
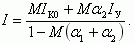
Сохраняя обозначение тока тиристора, как и ранее, через знак I = Iэ, запишем:
(7.9)
При наличии лавинного умножения М в коллекторе П3 ток через коллекторный переход будет равен:
(7.10)
Отсюда ВАХ тиристора на закрытом участке равна:
(7.11)
Уравнение (7.11) описывает ВАХ тиристора в закрытом состоянии, поскольку коэффициенты М, α1 и α2 зависят от напряжения VG.
Аналогично динистору, в открытом состоянии тиристор находится до тех пор, пока за счет проходящего тока поддерживаются избыточные заряды в базах, необходимые для понижения высоты потенциального барьера коллекторного перехода до величины, соответствующей прямому его включению.
Если же ток уменьшить до критического значения Iу, то в результате рекомбинации и рассасывания избыточные заряды в базах уменьшатся, р-n переход коллектора окажется включенным в обратном направлении, произойдет перераспределение падений напряжений на р-n переходах, уменьшатся инжекции из эмиттеров и тиристор перейдет в закрытое состояние.












