Все ответыро (928601), страница 3
Текст из файла (страница 3)
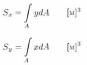
1. Площадь
2. Статические моменты площади. →
Могут быть как положительными,
Так и отрицательными
Ось, относительно которой статический
Момент равен 0, называется центральной осью
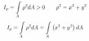
3. Моменты инерции
Осевые:→
центробежный:
↓
Оси, отн. которых центробеж. моменты
Инерции равны 0, наз-ся главными осями . если из
2х осей хотя бы одна-ось симметр, то оси будут главн.
Осевые моменты инерции относительно главных осей – главные осевые моменты
I
p - полярный момент инерции
Билет8
1) Теорема Кастилиано
теорема кастилиано применима для решения таких задач, когда между силами и перемещениями существует линейная зависимость: частная производная от потенциальной энергии системы по силе равна перемещению точки приложения силы по направлению этой силы.
, где
– линейное перемещение точки приложения силы
Для внешнего момента:
, где
– угловое перемещение
Под перемещением здесь понимается проекция полного перемещения по заданному направлению. Таким образом, под перемещением точки приложения силы по направлению силы понимается проекция на направление силы полного перемещения рассматриваемой точки.
Рис.3. Обобщенная расчетная модель к теореме Кастильяно.
2) Рациональные формы поперечных сечений при кручении и изгиб
за критерий рациональности принят вес конструкции:
, где j [Н/мм2],
,
.
При кручении: в пример привести сравнение круглого (диаметра d) и квадратного (со стороной а) валов (а=d).
=> круглый вал рациональнее.
При изгибе. из усл-вия
следует: две детали равноопасны с точки зрения прочности, если они имеют одинаковые коэф. запаса. Если материал этих деталей одинаков, то при одинаковых моментах
. Рассмотри два сечения: прямоугольное со сторонами b и 2b и круглое диаметра d (d=a).
Н
аиболее рациональные сечения:
при изгибе и кручении при изгибе (двутавр)
Билет №9
1) Кручение тонкостенных замкнутых профилей (вывод формул для определения углов закручивания)
особенностью тонкостенных стержней является то, что их толщина существенно меньше других геометрических размеров, и напряжение распределено по толщине равномерно.
Вывод формул: Энергия, накопленная в элементарном объеме с размерами , dz, ds за счет деформаций чистого сдвига, равна:
.
Выразим крутящий момент через напряжение τ, для этого возьмем на контуре участок ds. (Рис.2.36)
П
роизведение |ОА|ds это удвоенная площадь треугольника ОВС, обозначим ее за
(1)
С учетом (1), последнее выражение можно представить в виде:
.(2)
С другой стороны, работу внешних сил можно представить в виде:
. (3)
Приравнивая оба выражения из (2) и (3), получим:
, (4)
Если является постоянной по контуру, будем иметь:
, (4.26)
где s длина замкнутого контура.
Угол закручивания
, GJp — жесткость сечения при кручении.
— относительный угол закручивания.
2) Потенциальная энергия деформации при изгибе
Где n – число участков балки, М- изгибающий момент,
Билет №10
1)Изменение моментов инерции плоской фигуры при повороте осей.
Д
аны моменты инерции некоторого сечения относительно осей x и y. Требуется определить Ju, Jv, Juv- моменты инерции относительно осей u,v, повернутых на угол а. Так проекция ОАВС равна проекции замыкающей:
u=y sin а + x cos a (1)
v=y cos a – x sin a (2)
Исключим u,v в выражениях моментов инерции:
Ju = ∫v2dF; Jv= ∫u2dF; Juv= ∫uvdF. Подставив в выражения (1) и (2) получим:
Ju=Jxcos2a – Jxysin 2a + Jy sin2 a
Jv=Jxsin2a + Jxysin 2a + Jy cos2 a (3)
Juv=Jxycos2a + sin 2a(Jx-Jy)/2
Ju +Jv=Jx +Jy=∫F(y2+x2)dF => Сумма осевых моментов инерции относительно 2х взаимно перпенд. Осей не зависит от угла а. Заметим, что x2+y2=p2. p- расстояние от начала координат до элементарной площадки. Т.о. Jx +Jy=Jp.(4)
Jp=∫F p2dF –полярный момент, не зависит от поворота х,у
2) Закон Гука при одноосном напряженном состоянии. Связь между продольной и поперечной деформациями.
Закон Гука – в определенных диапазонах перемещения точек тела пропорциональны действующим на него нагрузкам.
В соответствии с этим законом перемещение произвольно взятой точки А нагруженного тела по некоторому направлению, например, по оси x, может быть выражено следующим образом: u = x P,
где Р сила, под действием которой происходит перемещение u; x коэффициент пропорциональности между силой и перемещением.
Деформация в растянутом стержне. Его удлинение в продольном направлении сопровождается пропорциональным уменьшением поперечных размеров стержня Если обозначить:
прод =
; попер =
,
,
Билет 11
1) Кручение тонкостенных замкнутых профилей (вывод формул для определения напряжений)
Особенностью тонкостенных стержней является то, что их толщина существенно меньше других геометрических размеров, и напряжение распределено по толщине равномерно.
Вывод формул: Энергия, накопленная в элементарном объеме с размерами , dz, ds за счет деформаций чистого сдвига, равна:
.
Выразим крутящий момент через напряжение τ, для этого возьмем на контуре участок ds. (Рис.2.36)
П
роизведение |ОА|ds это удвоенная площадь треугольника ОВС, обозначим ее за
(1)
С учетом (1), последнее выражение можно представить в виде:
.(2)
С другой стороны, работу внешних сил можно представить в виде:
. (3)
Приравнивая оба выражения из (2) и (3), получим:
, (4)
Если является постоянной по контуру, будем иметь:
, (4.26)
где s длина замкнутого контура.
Угол закручивания
, GJp — жесткость сечения при кручении.
— относительный угол закручивания.
2) Вывод формул для определения осевого момента инерции прямоугольного поперечного сечения
Билет 12
1) Интеграл Мора для определения перемещений
UF -полная энегрия, запасенная целиком
F – полная нагрузка
+ единичная сила
Поменяем порядок приложения нагрузки
С
начала прикладываем единичную нагрузку
Потом прикладываем всю внешнюю нагрузку
- Интеграл Мора
2
) Диаграммы растяжения хрупких и пластичных материалов. Закон разгрузки и нагружения
Если образец нагрузить до напряжений, больших
, но меньших
, например до точки К, а затем начать разгружать, то разгрузка будет происходить по прямой KL, параллельной начальному линейному участку диаграммы. После разгрузки деформации образца уменьшится, но полностью не исчезнет. Отрезок LM определяет величину исчезающей, т.е. упругой деформации
, а отрезок OL – величину остаточной (пластической) деформации
. Прямолинейность линии разгрузки показывает что упругая деформация подчиняется закону Гука и за пределами пропорциональности.
Повторное нагружение образца уже не повторяет полностью прежнюю диаграмму, а происходит сначала по прямой разгрузки KL, и затем по кривой КС, которую имел бы этот образец без промежуточной разгрузки. Следовательно, после промежуточной разгрузки появился как бы новый материал с более высоким пределом пропорциональности, но меньшей пластичностью.
С
пособность материалов получать остаточные деформации носит название пластичности. ↓ Противоположным свойству пластичности является свойство хрупкости, т.е. способность материала разрушаться без образования заметных остаточных деформаций.
Где
, временное сопротивление (предел прочности).
–условное напряжение. E- условная деформация.
Билет 13
1)Геометрические характеристики плоских фигур - основные понятия.
Рассмотрим некоторое поперечное сечение в системе координат x, y
Первый интеграл называется статическим моментом сечения относительно оси x, а второй – статическим моментом сечения относительно оси y.
При параллельном переносе осей статический моменты изменяются. Искомые статические моменты будут равны.
(Определение положения ц.т. сложной фигуры : Yc= Sx/A,Xc=Sy/A)
При параллельном переносе осей статический момент изменяется на величину, равную произведению площади F на расстояние между осями.
Ось, относительно которой статический момент равен нулю, называется центральной.
Моменты инерции сечения
Первые 2 интеграла называются осевыми моментами инерции сечения относительно осей х и у соответственно. Третий интеграл называется центробежным моментом инерции сечения относительно х, у. Ось наз-ся главной, если JXcYc=0. Ось наз-ся главной центральной, если SX=0, SY=0, JXcYc=0.
формулы преобразования моментов инерции при параллельном переносе осей.
При параллельном переносе осей (если одна из осей – центральная) осевые моменты инерции изменяются на величину, равную произведению площади сечения на квадрат расстояния между осями.
2.Определение осевых и центробежных моментов инерции круга, прямоугольника, треугольника.
Круг: Ip=πD^4/32.; Ix=Iy=πD^4/64,
Прямоугольник: Ix=bh^3/12; Iy=hb^3/12 ;
















