Теории (860832), страница 2
Текст из файла (страница 2)
Объемная плотность энергии электростатического поля.
Постоянный электрический ток. Уравнение непрерывности.
Если через некоторую воображаемую поверхность переносится суммарный заряд, отличный от нуля - через эту поверхность течет электрический ток.
Для протекания тока необходимо наличие в данном теле (или среде) заряженных частиц, которые могут перемещаться в пределах всего тела.
Величина заряда, переносимого через рассматриваемую поверхность в единицу времени – сила тока
Уравнение непрерывности
Носители тока в средах, сила и плотность тока.
Электрический ток может быть обусловлен движением как положительных, так и отрицательных носителей. За направление тока принимается направление, в котором перемещаются положительные носители
Законы Ома и Джоуля - Ленца в дифференциальной форме
Законы Ома- Закон, согласно которому сила тока, текущего по однородному (в смысле отсутствия сторонних сил) металлическому проводнику
- R - величина называется электрическим сопротивлением проводника
p – удельное электрическое сопротивление, зависит от свойств материала коэффициент.
Джоуля – Ленца
в интегральной форме.
Магнитное поле в вакууме. Вектор индукции магнитного поля. Закон Био-Савара-Лапласа.
Движущиеся заряды (токи) изменяют свойства окружающего их пространства - создают в нем магнитное поле.
Вектор индукции магнитного поля. – B
В случае движения заряда со скоростью v в пространстве появляется выделенное направление (направление вектора v).
Проводники с током в магнитном поле. Закон Ампера.
Если проводник, по которому течет ток, находится в магнитном поле, на каждый из носителей тока действует сила
Сила Лоренца.
На заряд, движущийся в магнитном поле, действует сила магнитная
Сила Лоренца или лоренцевая сила
Принцип суперпозиции и его применение для расчета магнитных полей
Принцип суперпозиции: поле В, порождаемое несколькими движущимися зарядами (токами), равно векторной сумме полей В, порождаемых каждым зарядом (током) в отдельности
Р
асчет магнитного поля прямого тока.
Расчет магнитного поля кругово тока.
Контур с током в магнитном поле.
Сила, действующая на контур с током в однородном магнитном поле, равна нулю.
Сила, действующая со стороны магнитного поля на весь контур на основании закона Ампера
Механический момент, действующий на контур с током в магнитном поле.
Магнитный момент контура с током.
- Дипольный магнитный момент
Работа по перемещению проводника с током в магнитном поле.
Сила F, действующая на перемычку, будет направлена вправо
При перемещении перемычки вправо на
эта сила совершит положительную работу
Поток вектора магнитной индукции. Теорема Гаусса для вектора магнитной индукции в интегральной и дифференциальной формах.
Для любого магнитного поля и произвольной замкнутой поверхности S
Поток вектора магнитной индукции через любую замкнутую поверхность равен нулю
Т
еорема о циркуляции вектора магнитной индукции в вакууме в дифференциальной форме и в интегральной форме
Применение теоремы о циркуляции вектора магнитной индукции для расчета магнитных полей. Расчёт магнитного поля тороида.
Расчёт магнитного поля соленоида.
По внутренней:
По внешней
Магнитное поле в веществе. Намагниченность вещества. Вектор намагниченности.
Всякое вещество является магнетиком, т. е. способно под действием магнитного поля приобретать магнитный момент (намагничиваться)
Намагниченное вещество создает магнитное поле В', которое накладывается на обусловленное токами поле
Намагничение магнетика естественно характеризовать магнитным моментом единицы объема – Намагниченность J
Молекулярные токи.
Молекулярными токами называют токи, которые существуют в пределах одного атома (молекулы), вызваны они движением электронов в атомах (молекулах, ионах).
Связь вектора намагниченности с молекулярными токами.
– плотность молекулярных токов
Теорема о циркуляции вектора намагниченности в интегральной и дифференциальной формах.
Вектор напряжённости магнитного поля и его связь с векторами магнитной индукции и намагниченности.
Напряженность магнитного поля.
Теорема о циркуляции для вектора напряженности магнитного поля
циркуляция вектора напряженности магнитного поля по некоторому контуру равна алгебраической сумме макроскопических токов
Магнитная восприимчивость и магнитная проницаемость вещества.
-
-- характерная для данного магнетика величина - магнитная восприимчивость
-
- магнитная проницаемость
Магнитное поле на границе раздела двух магнетиков. Преломление линий магнитной индукции и напряженности магнитного поля.
Ускорение заряженных частиц. Циклотрон.
Ускорение заряженных частиц происходит с электрическим и магнитным полями.
У
скорители – установки, предназначенные для ускорения заряженных частиц до высоких энергий
В циклических ускорителях частицы движутся по практически замкнутой траектории под действием магнитной силы Лоренца и разгоняются электрическим полем на определённых участках.
Эффект Холла
В помещенном в магнитное поле проводнике возникает разность потенциалов в направлении, перпендикулярном току I и вектору магнитной индукции В. Данный эффект возник вследствие воздействия силы Лоренца на заряды, движущиеся в этом проводнике.
Диамагнетики, парамагнетики и ферромагнетики.
Диамагнетики являются слабомагнитными веществами: они не магнитятся, если на них не действует магнитное поле
Парамагнетики также являются слабомагнитными веществами. Их молекулы характеризуются наличием постоянного магнитного момента
.
Ферромагнетики - это вещества с высокой магнитной проницаемостью, зависящей от внешнего магнитного поля.
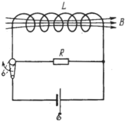
Электромагнитная индукция. Закон Фарадея. Правило Ленца.
Электромагнитная индукция – явление возникновения электрического тока, электрического поля или электрической поляризации при изменении магнитного поля во времени или при движении материальной среды в магнитном поле
Закон Фарадея- Генерируемая ЭДС пропорциональна скорости изменения магнитного потока.
Правило Ленца - Индукционный электрический ток в проводнике, возникающий при изменении магнитного потока, направлен таким образом, что его магнитное поле противодействует изменению магнитного потока.
Применения электромагнитной индукции.
Электромагнитная индукция – явление возникновения электрического тока, электрического поля или электрической поляризации при изменении магнитного поля во времени или при движении материальной среды в магнитном поле
Применения:
1. Пересдача радиоволн при радиовещании
2. Проведение магнитотерапии
3. Работа синхрофазотронов
4. Работа трансформаторов
5. Работа электродвигателей
6. Производство электроэнергии
Самоиндукция. Индуктивность. Индуктивность контура. Индуктивность соленоида.
Самоиндукция — это явление возникновения ЭДС индукции в проводящем контуре (в цепи) при изменении протекающего через контур тока
Формула ЭДС самоиндукции:
L – индуктивность
Индуктивность соленоида
Полный магнитный поток
Индуктивность очень длинного соленоида
=
или
Индуктивность тороида
=
=>
Взаимная индукция. Коэффициент взаимной индукции.
Взаимоиндукция (взаимная индукция) — явление возникновения ЭДС индукции в одном контуре при изменении силы тока во втором контуре и наоборот.
При изменении силы тока в первом контуре, во втором возникает ЭДС
При изменении силы тока во втором контуре, в первом возникает ЭДС
Коэффициент взаимной индукции или взаимная индуктивность
П
лотность энергии магнитного поля
Энергия проводника с индуктивностью L , по которому течет ток силы I:
В случае бесконечного соленоида :
, и
Тогда плотность энергии по объему
Объемная плотность энергии магнитного поля.
Энергия и силы в магнитном поле. Магнитное давление.
Магнитное поле — поле, действующее на движущиеся электрические заряды и на тела, обладающие магнитным моментом, независимо от состояния их движения.
Магнитное поле может создаваться током заряженных частиц и/или магнитными моментами электронов в атомах
Энергия магнитного поля
Энергия электромагнитного поля
или















