Реферат Приходько П.А (805370), страница 4
Текст из файла (страница 4)
- восстановление металлических компонентов из оксидов шлака.
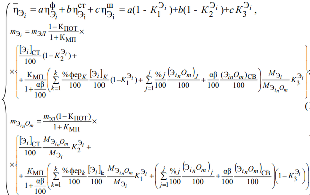
В итоге исходя из вышеперечисленных факторов можно получить следующую систему уравнений:
Решив эти уравнения для каждого конечного элемента с помощью численных методов, можно получить конечный ответ (таблица 2) [8]
Выводы
Компьютерное моделирование является эффективным инструментом для решения задач, которые не могут быть вычислены аналитически или в случаях, когда проведение натурных экспериментов нецелесообразно ввиду высокой стоимости. Варьирование различных параметров позволяет оценить качество разрабатываемой технологии без проведения многочисленных экспериментов. В сварочном производстве метод конечных элементов получил очень широкое применение: от сварки осесимметричных оболочек и гусеничных траков до моделирования капель в процессе ручной дуговой сварки.
Список использованных источников
1)Строительная механика : теоретический курс с примерами типовых расчетов : учебное пособие для студентов высших и учащихся средних специальных учебных заведений технического профиля / И. Ш. Каримов. - Уфа : Белая река, 2008. - 280 с. : ил., табл.; 21 см.; ISBN 978-5-87691-055-4
2) Математическое моделирование сварочных деформаций в тонких пластинах / Монфаред Афшин Хейдари, Пантелеенко А. Ф: Вестник БНТУ, 2016. – 7с. - № 5
3) Моделирование процессов сварки и родственных ей технологий / А. С. Бузин, Н.А. Астафьева. – Иркутск : Иркутский национальный исследовательский технический университет, 2017. – 2с.
4) Теплопередача / В.П.Исаченко, В.А.Осипова, А.С.Сукомел. - М.: Энергия. 1975. - 488 с.
5) Математическое моделирование процесса диффузионной сварки осесимметричных биметаллических соединений / Е.В. Карпович, И.И. Карпович. : Вестник НТУ "ХПИ", 2014, № 62 (1104)
6) Сварка и сварочные технологии / Гындыбин С.В. – М. : Новые технологии. 2010. – 38 с.
7) Разработка технологии сварки трака гусеничной машины на основе компьютерного моделирования напряженно-деформированного состояния /Титов Д.Ю. , Королев С.А. // Машиностроение и компьютерные технологии, 2018. № 06. С. 1–9.
8) Моделирование процесса формирования состава наплавленного металла при ручной дуговой сварке / Е.Б. Вотинова, М.П. Шалимов. : Известия ТулГУ. Технические науки. 2015. Вып. 6. Ч. 2.
















