Д.З.3_Вар2 (803873)
Текст из файла
Министерство науки и образования РФ
Московский государственный технический университет им. Н.Э.Баумана
Факультет «Фундаментальные науки»
Кафедра ФН3 «Теоретическая механика» имени профессора Н.Е.Жуковского
Домашнее задание № 3
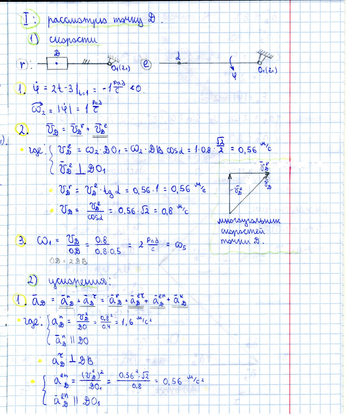
Кинематика сложного движения точки
(тема домашнего задания)
Вариант 2
Группа РК5-22Б
Студент Гусев К.В. 3.05.2020
(ФИО) дата
Преподаватель Карпачёв А. Ю.
(ФИО)
Москва, 2020
| Лист/(стр) | Листов(всего) | Группа | Фио | ДЗ № | Вариант |
| 1 | 8 | РК5-22б | Гусев Кирилл Викторович | 3 | 2 |
| Лист/(стр) | Листов(всего) | Группа | Фио | ДЗ № | Вариант |
| 2 | 8 | РК5-22б | Гусев Кирилл Викторович | 3 | 2 |
| Лист/(стр) | Листов(всего) | Группа | Фио | ДЗ № | Вариант |
| 3 | 8 | РК5-22б | Гусев Кирилл Викторович | 3 | 2 |
| Лист/(стр) | Листов(всего) | Группа | Фио | ДЗ № | Вариант |
| 4 | 8 | РК5-22б | Гусев Кирилл Викторович | 3 | 2 |
| Лист/(стр) | Листов(всего) | Группа | Фио | ДЗ № | Вариант |
| 5 | 8 | РК5-22б | Гусев Кирилл Викторович | 3 | 2 |
| Лист/(стр) | Листов(всего) | Группа | Фио | ДЗ № | Вариант |
| 6 | 8 | РК5-22б | Гусев Кирилл Викторович | 3 | 2 |
| Лист/(стр) | Листов(всего) | Группа | Фио | ДЗ № | Вариант |
| 7 | 8 | РК5-22б | Гусев Кирилл Викторович | 3 | 2 |
| Лист/(стр) | Листов(всего) | Группа | Фио | ДЗ № | Вариант |
| 8 | 8 | РК5-22б | Гусев Кирилл Викторович | 3 | 2 |
Характеристики
Тип файла документ
Документы такого типа открываются такими программами, как Microsoft Office Word на компьютерах Windows, Apple Pages на компьютерах Mac, Open Office - бесплатная альтернатива на различных платформах, в том числе Linux. Наиболее простым и современным решением будут Google документы, так как открываются онлайн без скачивания прямо в браузере на любой платформе. Существуют российские качественные аналоги, например от Яндекса.
Будьте внимательны на мобильных устройствах, так как там используются упрощённый функционал даже в официальном приложении от Microsoft, поэтому для просмотра скачивайте PDF-версию. А если нужно редактировать файл, то используйте оригинальный файл.
Файлы такого типа обычно разбиты на страницы, а текст может быть форматированным (жирный, курсив, выбор шрифта, таблицы и т.п.), а также в него можно добавлять изображения. Формат идеально подходит для рефератов, докладов и РПЗ курсовых проектов, которые необходимо распечатать. Кстати перед печатью также сохраняйте файл в PDF, так как принтер может начудить со шрифтами.
















