Var-16_Laplas (773643)
Текст из файла
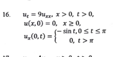
Вариант 16 Применяя преобразование Фурье или Лапласа, решить краевую задачу
|
| (1) |
|
| (2) |
|
| (3) |
Решение: Задачу (1) − (3) будем решать операционным методом. Применим к постановке (1) − (3) преобразование Лапласа. При этом предполагается, что (в силу физических соображений) искомая функция и ее производные ограничены при
Таким образом, после преобразования Лапласа уравнение (1) перейдет в обыкновенное дифференциальное уравнение (
рассматриваем как параметр).
|
| (4) |
Применив преобразование Лапласа к граничному условию (3) получим
|
| (5) |
Решим однородное уравнение (4), для этого определим корни характеристического многочлена
Общее решение уравнения (4) будет
Учитывая ограниченность решения, следует положить
, т.к. функция
при
.
Постоянную
найдем из граничного условия (5)
|
| (6) |
Искомую функцию
найдем применив обратное преобразование Лапласа к (6)
Для вычисления образа от формулы (6) воспользуемся следующими свойствами преобразования Лапласа и табличными изображениями
Замечание: Тут очень тяжелые функции, использую справочник: Бейтмен Г., Эрдей А. Таблицы интегральных преобразований. Том 1. Преобразования Фурье, Лапласа, Меллина.
Следовательно,
Далее используем теорему умножения (теорема о преобразовании свертки)
Тогда
Вычислим интегралы
Следовательно,
Замечание: Интеграл получился какой-то не выражающийся. Поэтому ответ оставила в виде квадратуры. Пакет Maple тоже его не подхватывает :-(. В общем надо посмотреть, что на это ваш преподаватель скажет.
Характеристики
Тип файла документ
Документы такого типа открываются такими программами, как Microsoft Office Word на компьютерах Windows, Apple Pages на компьютерах Mac, Open Office - бесплатная альтернатива на различных платформах, в том числе Linux. Наиболее простым и современным решением будут Google документы, так как открываются онлайн без скачивания прямо в браузере на любой платформе. Существуют российские качественные аналоги, например от Яндекса.
Будьте внимательны на мобильных устройствах, так как там используются упрощённый функционал даже в официальном приложении от Microsoft, поэтому для просмотра скачивайте PDF-версию. А если нужно редактировать файл, то используйте оригинальный файл.
Файлы такого типа обычно разбиты на страницы, а текст может быть форматированным (жирный, курсив, выбор шрифта, таблицы и т.п.), а также в него можно добавлять изображения. Формат идеально подходит для рефератов, докладов и РПЗ курсовых проектов, которые необходимо распечатать. Кстати перед печатью также сохраняйте файл в PDF, так как принтер может начудить со шрифтами.
















