152850 (766959)
Текст из файла
Тенденции развития классического волейбола на современном этапе
Доктор педагогических наук, профессор, заслуженный тренер России и СССР Ю.Д. Железняк, Московский государственный областной университет, Москва , Кандидат педагогических наук, заслуженный тренер РФ, главный тренер мужской сборной команды России по волейболу Г.Я. Шипулин , Кандидат педагогических наук, доцент О.Э. Сердюков
Введение .
Традиционный волейбол, которому более 100 лет, в последние годы получил название классического волейбола . Это вызвано тем, что в процессе развития волейбола выделился пляжный волейбол , который стал олимпийским видом спорта. В классическом волейболе за последние несколько лет произошли значительные изменения, связанные как с естественным процессом его развития, так и с существенными изменениями в правилах соревнований. Все это привело к необходимости внесения коррективов в содержание соревновательной и тренировочной деятельности ведущих волейболистов мира и отечественных спортсменов.
Анализ научной и методической литературы, беседы с тренерами и спортсменами, исследования авторов статьи позволили установить, что изменения в правилах игры повлияли на содержание соревновательной деятельности волейболистов. Изменения структуры и содержания соревновательной деятельности диктуют необходимость учета этого при организации и проведении тренировочного процесса высококвалифицированных волейболистов и в сфере подготовки спортивного резерва. В противном случае направленность и содержание подготовки спортсмена не будут соответствовать специфике соревновательной деятельности, что отрицательно повлияет на результаты состязаний.
В этих условиях актуальна проблема интегрирования содержания соревновательного противоборства и тренировки, системного единства, что отражается в понятии "соревновательно-тренировочная деятельность ". Только на основе глубокого анализа соревновательной деятельности, выявления основных тенденций в развитии современного классического волейбола возможно построение эффективной системы подготовки высококвалифицированных волейболистов.
Результаты и их обсуждение. Представленные результаты получены в ходе анализа соревновательной деятельности ведущих команд мира на крупнейших состязаниях (Олимпийских играх 2000 г., розыгрышах Мировой лиги 2000-2003 гг., Чемпионате мира 2002 г., Чемпионате Европы 2003 г.) с использованием современных компьютерных технологий.
Существенные изменения произошли в технической подготовленности высококвалифицированных волейболистов по сравнению с предыдущими этапами развития волейбола.
Современный волейбол характеризуется значительным усилением подачи. Использование силовой подачи в прыжке усложняет прием мяча игроками команды-соперницы и затрудняет организацию ими атакующих действий. Силовая подача в прыжке в настоящее время - наиболее
распространенная из всех разновидностей этого приема игры. В то же время наблюдения показывают, что игроки ведущих команд мира (России, Югославии, Бразилии, Италии) тактически сочетают силовую подачу в прыжке с "укороченными" подачами, когда мяч направляется близко к сетке.
Проявляется тенденция к учащению случаев приема подачи сверху. Это объясняется тем, что арбитры матчей не стали предъявлять очень жестких требований к выполнению приема мяча, посланного подачей. Наблюдения показали, что прием сверху чаще применяется при планирующей подаче соперника или при слабом "накате". Прием сверху стал чаще использоваться также при игре в защите. В настоящее время арбитры встречи практически не фиксируют ошибок при игре в защите, позволяя игрокам отражать мячи любой частью тела.
В технике различных видов нападающих ударов значительных изменений нет. В современном волейболе, как и ранее, наиболее распространенными являются нападающие удары по ходу, удары с переводом и обманные удары, причем их соотношение существенно не изменилось.
Анализ технико-тактических действий (ТТД) волейболистов ведущих команд в нападении показал, что подавляющее большинство атак после хорошего приема подачи осуществляется с быстрых вторых передач. Данная тенденция характерна для ТТД в нападении из всех зон площадки. Наблюдается сокращение количества комбинаций в зоне 3 с использованием нападающих второго темпа.
Характерная особенность современного волейбола - повышение доли атак из глубины площадки (рис. 1). В 80-е гг. 30% атак осуществлялось из зоны 3, в настоящее время их доля сократилась и составляет 23% в играх сборных команд и в чемпионате России. Таким образом, ведущие команды мира и России меньше используют атаки первым и вторым темпами из зоны 3.
Данная тенденция связана с тем, что блокирующие в современном волейболе довольно часто группируются вблизи зоны 3 и связующие игроки, чтобы "растянуть" блок соперника, вынуждены больше использовать края сетки. Кроме того, длина тела многих волейболистов превышает 200 см, что облегчает им игру на блоке.
Атаки из глубины площадки, которые в 80-е гг. были довольно редкими (всего 9,6%), в современном волейболе приобретают все большее значение. Причем эти атаки осуществляются не только из зоны 1, но и из зоны 6. Использование в атаке игроков задней линии позволяет во всех расстановках иметь трех активных нападающих, что значительно осложняет сопернику действия при блокировании.
Рис. 1. Загруженность зон площадки, из которых производится нападение
Преобладание атак из зоны 4 объясняется тем, что при плохом приеме подачи и при плохой доводке в "доигровке" связующий игрок вынужден выполнять вторую передачу именно в эту зону. Если рассматривать только идеальный и хороший приемы подачи, то атаки распределяются по зонам более равномерно. Ведущие команды мира, имеющие равноценных нападающих, развивают свои атаки с хорошей доводки без явных приоритетов зон, что значительно осложняет организацию защитных действий команде соперника.
Анализ соревновательной деятельности высококвалифицированных волейболистов показал, что у большинства команд результативность ТТД в защите значительно ниже, чем в атаке. Данная тенденция начала проявляться еще в 70-80-е гг. Атакующий потенциал высококвалифицированных волейболистов возрос благодаря повышению атлетизма игроков (длина тела многих нападающих превышает 200 см). В этих условиях играющим в защите тяжело противостоять мощному нападению.
Последние изменения в правилах соревнований направлены на то, чтобы активизировать эффективность действий волейболистов в защите. Разрешение играть в защите любыми частями тела, снижение требований правил игры и судейства к техническим действиям в защите, введение нового игрового амплуа волейболистов - "либеро" (свободного защитника, играющего только на задней линии) способствовали повышению эффективности защитных действий.
Организация защитных действий очень сложный процесс, требующий слаженных действий игроков, принимающих участие в блокировании, и игроков, принимающих мяч от атакующих ударов и на страховке. Об эффективности защитных действий опосредованно можно судить по количеству доигровок (ситуаций, когда при отражении атаки мяч остался на стороне защищающейся команды и она может организовывать атакующие действия): чем их больше, тем эффективнее была защита. Волейбол на современном этапе характеризуется значительным увеличением числа доигровок .
В настоящее время у защищающейся команды появилось больше возможностей для проведения эффективных ТТД. Это связано со снижением при судействе
требований к технике выполнения защитных действий. В связи с этим зрелищность волейбола намного возросла. Количество доигровок в играх сборных команд больше, чем в играх чемпионата России. Проведенные наблюдения показали, что сборные команды лучше организуют защитные действия, что свидетельствует о более высоком уровне мастерства игроков этих команд.
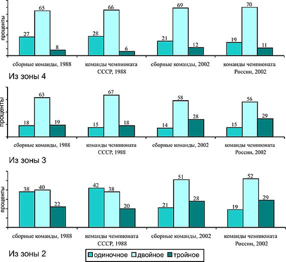
Важной составной частью защитных действий является блокирование . На рис. 2 представлена характеристика результативного блокирования на разных этапах развития волейбола. Результативное блокирование нападающих ударов из зоны 4 характерно тем, что здесь преимущество имеет двойное блокирование по сравнению с одиночным и тройным. По сравнению с 80-ми гг. в современном волейболе отмечается некоторое увеличение результативного тройного блокирования и уменьшение результативного одиночного блокирования атакующих ударов из зоны 4.
Иная картина результативного блокирования выявлена в зоне 3. В 80-е гг. удельный вес одиночного и двойного блокирования был примерно одинаковым (38-42%), значительно меньшей была доля тройного блокирования (20-22%). Данные наших исследований показали, что в современном волейболе увеличилась доля двойного блокирования и сократилась доля одиночного. При блокировании атак первым темпом центральному игроку часто помогают игроки зон 2 и 4, что раньше происходило значительно реже. Это стало возможным благодаря тому, что в настоящее время игроки передней линии при подготовке к блокированию группируются достаточно близко к зоне 3.
Результативное блокирование в зоне 2 так же, как и в зоне 4, характеризуется преобладанием двойного блокирования над остальными. Наши исследования показали, что в настоящее время увеличилась доля результативного тройного блокирования в зоне 2. Это связано с усложнением подач в современном волейболе и как следствие - с увеличением частоты выполнения приема, после которого мяч не доведен точно до связующего игрока. В этих случаях нападающие удары выполняются, как правило, из зоны 4 с высоких передач при противодействии группового блокирования.
Рис. 2. Характеристика результативного блокирования нападающих ударов из зон 2, 3 и 4
В современном волейболе усиливаются различия в структуре и содержании соревновательной деятельности волейболистов разного амплуа. На основании результатов нашего исследования целесообразно выделять следующие игровые амплуа: игрок атаки второго темпа (доигровщик ), игрок атаки второго темпа (диагональный ), игрок атаки первого темпа, связующий игрок, либеро (защитник) .
Нами проанализированы видеозаписи 18 игр ведущих сборных команд мира и 24 игр чемпионата России. Фиксировались ТТД и время их выполнения. В зависимости от интенсивности в ТТД были выделены две основные группы. В первую группу - с высокой интенсивностью - были включены силовая подача в прыжке, нападающий удар, блок и игра в защите. Во вторую группу - со средней интенсивностью - вошли прием мяча с подачи, страховка, различные перемещения. Все остальные ТТД были определены как малоинтенсивные.
Установлено, что общее количество ТТД (35-40) за партию у доигровщиков , диагональных и связующих игроков примерно одинаково (рис. 3). Различается соотношение ТТД средней и высокой интенсивности. У связующих игроков и доигровщиков отмечено преобладание действий средней интенсивности. У диагональных игроков удельный вес ТТД высокой интенсивности значительно больше - 20-22 за партию.
Иное соотношение ТТД у игроков первого темпа. Анализ соревновательной деятельности представителей данного амплуа выявил преобладание действий высокой интенсивности над действиями средней интенсивности более чем в 2 раза. Это связано с тем, что игроки первого темпа большую часть игрового времени проводят на передней линии, а на задней их меняет либеро. У либеро явно преобладают ТТД средней интенсивности. Различное содержание соревновательной деятельности у представителей различных игровых амплуа должно учитываться в тренировочном процессе высококвалифицированных волейболистов.
Рис. 3. Количество ТТД высокой и средней интенсивности за партию у волейболистов различных амплуа
Заключение . Для классического волейбола на современном этапе характерны следующие тенденции, которые необходимо учитывать при планировании и проведении соревновательно-тренировочной деятельности высококвалифицированных волейболистов:
1) усложнение подачи, которая из технического элемента, обеспечивающего введение мяча в игру, превратилась в эффективное атакующее средство. Ведущие игроки мира имеют в своем арсенале 2-3 вида подач, которыми владеют в совершенстве. В настоящее время наибольшее распространение получили следующие виды подач: силовая подача в прыжке, планирующая силовая подача в прыжке, планирующая укороченная подача в прыжке, "накат" (укороченная подача);
2) ведущие команды мира используют диагонального игрока для приема силовой подачи (при максимальной степени риска) и игроков первого темпа для приема укороченной подачи. Сочетание различных видов подач предъявляет повышенные требования к физической и технической подготовленности игроков, участвующих в приеме;
3) усложнение подачи привело к увеличению доли атак в противодействии групповому блоку после плохого приема. Игроки, атакующие из зоны 2, из глубины площадки и особенно из зоны 4, вынуждены атаковать с высоких (не всегда удобных) вторых передач. ТТД ведущих команд мира в нападении после идеального и хорошего приема характеризуются равномерным использованием всех зон. Современный волейбол отличает увеличение доли атак из глубины площадки (зона 1 и зона 6);
4) изменения в правилах соревнований дают возможность командам более активно противостоять нападению соперника. Активизация защитных ТТД в современном волейболе сопровождается более частым использованием двойного и тройного блокирований. Введение игрового амплуа "либеро" также способствует более эффективной игре команд в защите;
5) классический волейбол на современном этапе своего развития характеризуется усилением различий в направленности соревновательной деятельности представителей различных игровых амплуа;
6) анализ соревновательной деятельности ведущих команд мира свидетельствует о возникновении потребности в универсально подготовленных высококвалифицированных волейболистах. Это особенно важно при подготовке резерва, когда принцип универсализации является ведущим.
Список литературы
1. Волейбол. Под ред. А.В. Беляева, М.В. Савина. - М.: ФОН, 2000. - 368 с.
2. Железняк Ю.Д., Ивойлов А.В. Волейбол. - М.: ФиС, 1991. - 238 с.
3. Мацудайра Я., Икеда Н., Сайто М. Волейбол: путь к победе. - М.: ФиС, 1983. - 104 с.
4. Клещев Ю.Н. Волейбол. - М.: СпортАкадемПресс, 2003. - 189 с.
5. Платонов В.Н. Общая теория подготовки спортсменов в олимпийских видах спорта. - Киев: Олимпийская литература, 1997. - 583 с.
6. Спортивные игры: техника, тактика, методика обучения / Под ред. Ю.Д. Железняка, Ю.М. Портнова. - М.: Академия, 2000. - 518 с.
7. Хапко В.Е., Маслов В.Н. Совершенствование мастерства волейболистов. - Киев: Здоровье, 1990. - 128 с.
8. Эйргон А., Мацудайра Я. Так побеждать. СПб.,1994. - 97 с.
Для подготовки данной работы были использованы материалы с сайта http://lib.sportedu.ru
Характеристики
Тип файла документ
Документы такого типа открываются такими программами, как Microsoft Office Word на компьютерах Windows, Apple Pages на компьютерах Mac, Open Office - бесплатная альтернатива на различных платформах, в том числе Linux. Наиболее простым и современным решением будут Google документы, так как открываются онлайн без скачивания прямо в браузере на любой платформе. Существуют российские качественные аналоги, например от Яндекса.
Будьте внимательны на мобильных устройствах, так как там используются упрощённый функционал даже в официальном приложении от Microsoft, поэтому для просмотра скачивайте PDF-версию. А если нужно редактировать файл, то используйте оригинальный файл.
Файлы такого типа обычно разбиты на страницы, а текст может быть форматированным (жирный, курсив, выбор шрифта, таблицы и т.п.), а также в него можно добавлять изображения. Формат идеально подходит для рефератов, докладов и РПЗ курсовых проектов, которые необходимо распечатать. Кстати перед печатью также сохраняйте файл в PDF, так как принтер может начудить со шрифтами.














