152832 (766941)
Текст из файла
Взаимосвязь темпа и ритма биомеханической структуры спортивных движений
Доктор биологических наук, доктор педагогических наук, профессор И.М. Козлов, Доктор педагогических наук, профессор А.В. Самсонова, Кандидат технических наук, доцент В.Н. Томилов, Санкт-Петербургская государственная академия физической культуры им. П.Ф. Лесгафта, Санкт-Петербург
Особенности ритмической структуры соревновательных движений являются объектом изучения во многих видах спорта. И хотя нет прямых исследований, которые с биомеханической точки зрения увязывали бы ритм с устойчивостью и надежностью выполнения движений, предполагается, что их эффективность во многом определяется ритмической структурой двигательных действий.
Характерная особенность соревновательных движений во многих видах спорта - максимально возможный темп выполнения с приложением максимальных усилий. В связи с этим в ходе изучения закономерностей формирования центральных двигательных программ возникает проблема взаимосвязи ритма и темпа движений, т.е. закономерностей их ритмо-темповой структуры.
При исследовании особенностей электрической активности (ЭА) мышц в циклических движениях отмечается снижение длительности периода активности при увеличении темпа, причем относительная длительность ЭА увеличивается (А.В. Самсонова, 1997). При увеличении темпа "сдвиг" ЭА в локомоторном цикле приводит к увеличению периодов одновременной активности мышц-антагонистов. Возможно, что с увеличением темпа ритмическая структура движения приобретает черты интегративной системы вследствие того, что мышцы одновременно обеспечивают решение нескольких задач: развивают тягу, рекуперируют энергию, повышают жесткость опорно-двигательного аппарата.
С целью подтверждения данной гипотезы проведен анализ различных двигательных действий, как циклических, так и ациклических: педалирования на скоростном велостанке, спринтерского бега, а также подъема штанги.
В качестве основы для описания ритма использовался отдельный такт, включающий последовательно расположенные в кинематических фазах усилия. Характер этой последовательности позволяет судить об особенностях акцентирования усилий и по аналогии с понятием такта, заимствованным из теории музыки, классифицировать такты по количеству входящих в него долей - усилий. В локомоциях границы такта совпадают с границами цикла.
Использовались два основных метода исследования: электромиографический и тензографический. Первым методом измерялись параметры ЭА мышц нижних конечностей: двуглавой бедра (BF), прямой бедра (RF), передней большеберцовой (TA), больших, средних и малых ягодичных (GL), натягивателя широкой фасции бедра (TFL), широкой латеральной бедра (VL), икроножной (GA). В качестве показателя, косвенно отражающего величину усилия (мощности) мышечного сокращения, использовалась площадь S, ограниченная интегральной кривой электромиограммы (ЭМГ). Момент приложения мышечного усилия определялся как усредненная временная координата ts цикла, продолжительность которого равна tц. Для ациклических движений использованы данные вертикальной составляющей реакции опоры при подъеме штанги в рывке.
В состав испытуемых наряду с новичками и разрядниками входили мастера спорта, мастера спорта международного класса и заслуженные мастера спорта.
Таблица 1. Усредненные показатели ЭМГ мыши, нижних конечностей в локомоторном цикле при педалировании с постоянной скоростью
| Скорость, км/ч | Длит. цикла t,с | Темп T, c-1 | GA | ТА | VL | BF | RF | |||||||||
| ts | S | ts | S | ts | S | ts | S | ts | S | |||||||
| 30 | 0,840 | 1,2 | 0,40 0,68 | 90 176 | 0,12 | 34 | 0,31 | 144 | 061 | 134 | 0,17 | 143 | ||||
| 40 | 0,640 | 1,56 | 0,29 0,49 | 39 128 | 0,11 0,44 | 51 5 | 0,22 | 135 | 0,42 | 107 | 0,14 | 158 | ||||
| 50 | 0,514 | 1,95 | 0,33 | 173 | 0,07 0,33 | 65 14 | 0,16 | 172 | 033 | 158 | 0,09 | 167 | ||||
| 60 | 0,416 | 2,40 | 0,26 | 193 | 0,04 0,28 | 50 13 | 0,13 | 132 | 0 27 | 124 | 0,06 | 113 | ||||
В табл. 1 содержатся данные tц, ts и S, описывающие характер приложения усилий исследуемых мышечных групп при педалировании для четырех фиксированных скоростей: 30, 40, 50 и 60 км/ч, усредненные по 25 циклам. Активность мышцы на протяжении одного цикла может проявляться несколько раз. Например, GA при скорости 30 км/ч проявляет свою активность дважды: в моменты времени от начала цикла, равные 0,40 и 0,68 с.
Рис. 1 иллюстрирует эти результаты для скорости 60 км/ч в виде диаграммы распределения усилий по времени цикла. Здесь: а) усилия, проявляемые отдельными мышцами; б) приведенные (суммарные) усилия групп мышц. Например, приведенное усилие S1 отражает суммарную активность TA и RF, S2-3 - активность VL, а S4 - суммарную активность GA, BF и TA (повторную в цикле). Высота диаграммы пропорциональна величине усилия, а ее место - моменту его приложения ts. Продолжительность цикла в относительных единицах принята за 1.
Приведенные усилия подсчитаны как средневзвешенные значения нескольких отдельных, близких по расположению в цикле усилий. В наиболее явной форме объединение отдельных усилий происходит при скоростях 50 и 60 км/ч, т.е. при максимальном темпе движения.
Диаграммы приведенных усилий дают наглядное представление о структуре движения как о трехдольном такте. С ростом темпа ритмический рисунок подобного такта приобретает устойчивый характер. Количественно он может быть представлен в виде соотношений величин усилий S1: S2: S3: S4 и времени их приложения t1: t2 : t3 : t4 (табл. 2).
На рис. 2 приводятся графическая интерпретация изменения количества долей такта и их распределение по его размеру в зависимости от темпа педалирования. При Т = 1,2 с-1 такт содержит 4 доли. В случае учета работы обеими нижними конечностями количество этих долей равно 8. С увеличением темпа до 2,4 с-1 количество долей снижается соответственно до 3 и 4. Вторая и третья доли объединяются, и это общее усилие обозначено как S2-3 (см. рис. 1 и 2).
Рис. 1. Структура ЭА мышц в цикле движения при педалировании со скоростью V= 60 км/ч (обозначения в тексте)
Рис. 2. Графическая интерпретация паттерна мышечной активности в зависимости от темпа педалирования (S11, S21, S31, S41, S12-3 - усилия, развиваемые второй нижней конечностью)
Таблица 2. Значения и соотношения усилий и временных промежутков между ними в цикле движения при педалировании
| Темп, c-1 | S1 : S2 : S3 : S4 | t1: t2 : t3: t4 |
| 1,2 | 177 : 144 : 90 : 310 1 : 0,81 : 0,51 : 1,75 | 0,16 : 0,31 : 0,40 : 0,65 1 : 1,94 : 2,5 : 4,06 |
| 1,56 | 209: 135 : 39 : 240 1 : 0,65: 0,19 : 1,15 | 0,13 : 0,22 : 0,29 : 0,46 1 : 1,69 : 2,23 : 3,54 |
| 1,95 | 232 : 172 : 354 1 : 0,74 : 1,53 | 0,084 : 0,16 : 0,33 1 : 1,9 : 3,92 |
| 2,40 | 163 : 132 : 330 1 : 0,81 :2,02 | 0,05 : 0,13 : 0,265 1 : 2,6: 5,3 |
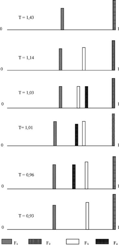
Таблица 3. Соотношения усилий и временных промежутков между ними при подъеме штанги в рывке
| Темп, c-1 | F1: F4: F3: F2 | t1: t4 : t3: t2 |
| 1,43 | 1 : 0:0 : 1,39 | 1 : 0:0 : 1,94 |
| 1,14 | 1 : 0 : 1,05 : 1,42 | 1 : 0 : 1,47 : 2,05 |
| 1,03 | 1 : 0,98 : 1 : 1,4 | 1 : 1,47 : 1,34 : 1,98 |
| 1,01 | 1 : 0,97 : 1,01 : 1,38 | 1 : 1,51 : 1,63 : 2,3 |
| 0,96 | 1 : 1 : 1,05 : 1,36 | 1 : 1,49 : 1,71 : 2,31 |
| 0,93 | 1 : 0 : 1,06 : 1,41 | 1 : 0 : 1,8 : 2,4 |
Анализ результатов педалирования с набором скорости за минимальное время, для которого характерно значительное увеличение темпа, также позволяет говорить об "интеграции" центральных команд, определяющих биомеханическую структуру движения (рис. 3). Внешне это выглядит как упрощение ритмического рисунка структуры движения в ходе этого изменения.
Для начальных моментов времени (цикл 6) паттерн двигательной активности представляет собой раздробленную картину проявления усилий отдельных мышц. С увеличением темпа начинает проявляться объединение зон активности в первой и второй половинах циклов. Между ними наблюдается переходный этап активности мышц VL и BF (цикл 16). Но при дальнейшем увеличении темпа подобный четырехдольный такт трансформируется в двухдольный (цикл 26), в котором активность мышц проявляется в форме объединений активности в двух разных временных зонах цикла.
Для подтверждения подобных закономерностей были проведены эксперименты по регистрации ЭА мышц при беге с разной скоростью: двуглавой и прямой мышц бедра, ягодичной мышцы и мышцы - натягивателя широкой фасции бедра. В данном случае с увеличением темпа имеет место изменение паттерна мышечной активности до трехдольного такта.
Особенности ритмо-темповой структуры ациклических движений рассмотрены на примере подъема штанги в рывке. При этом использовалась тензодинамограмма - зависимость вертикальной составляющей реакции опоры от времени выполнения движения.
На рис. 4 представлены диаграммы распределения усилий, а в табл. 3 приведены количественные показатели ритма в структуре движения мастера спорта весовой категории 85 кг при подъеме штанги. Здесь F1 , F2 , F3 , F4 - усилия, а t1, t2, t3, t4 - соответственно время проявления этих усилий в отдельных фазах движения. Характерным является увеличение долей ритмического рисунка движения со снижением скорости выполнения движения (увеличением веса штанги) и одновременным увеличением проявляемых при этом напряжений.
Рис. 3. Изменение параметров ЭА мышц при педалировании с набором скорости с 20 до 80 км/ч за минимальное время
Рис. 4. Ритмический рисунок движения при рывке штанги
Снижение скорости может быть приравнено к уменьшению темпа движения, определяемого как величина, обратная времени выполнения движения. При этом происходит разделение усилий на отдельные составляющие.
Характеристики
Тип файла документ
Документы такого типа открываются такими программами, как Microsoft Office Word на компьютерах Windows, Apple Pages на компьютерах Mac, Open Office - бесплатная альтернатива на различных платформах, в том числе Linux. Наиболее простым и современным решением будут Google документы, так как открываются онлайн без скачивания прямо в браузере на любой платформе. Существуют российские качественные аналоги, например от Яндекса.
Будьте внимательны на мобильных устройствах, так как там используются упрощённый функционал даже в официальном приложении от Microsoft, поэтому для просмотра скачивайте PDF-версию. А если нужно редактировать файл, то используйте оригинальный файл.
Файлы такого типа обычно разбиты на страницы, а текст может быть форматированным (жирный, курсив, выбор шрифта, таблицы и т.п.), а также в него можно добавлять изображения. Формат идеально подходит для рефератов, докладов и РПЗ курсовых проектов, которые необходимо распечатать. Кстати перед печатью также сохраняйте файл в PDF, так как принтер может начудить со шрифтами.















