84931 (763910)
Текст из файла
Кубатурные формулы для вычисления интеграла гармонической функции по круговой луночке
С.С. Трахименок, Новосибирский государственный университет, кафедра дифференциальных уравнений
Вычисление интегралов - задача, которая до сих пор интересует как физиков, так и математиков.
В настоящей статье в § 4 предложена формула в виде ряда для вычисления интеграла от гармонической функции по круговой луночке. Эта формула является обобщением теоремы о среднем.
Для того чтобы построить подобное представление в виде ряда, понадобилось ввести (§ 1) некую специальную последовательность гармонических полиномов, которая является базисом пространства типа Бергмана [1]. Введенная последовательность изначально не является ортогональной, поэтому в § 2 предлагаются формулы для вычисления скалярных произведений от базисных функций для того, чтобы применить метод Грама-Шмидта.
1. Области, функциональное пространство, полиномиальные последовательности
Ограниченную область S в R2 назовем круговой луночкой, если ее граница Г состоит из двух дуг окружностей Г1 и Г2, пересекающихся в угловых точках С1 и С2. Угол между Г1 и Г2 обозначим через . Введем в R2 декартову систему координат (x,y), поместив ее начало в середину отрезка С1С2, абсолютная величина которого равна 2, и направив ось абсцисс перпендикулярно к нему. С помощью биполярных координат [2]
| | (1.1) |
круговая луночка S конформно отображается в бесконечную полосу
.
Обозначив обратное к (1.1) преобразование как =(x,y), =(x,y), отметим, что поверхность (x,y)=j совпадает с Гj. Любая луночка S однозначно определяется заданием 1 и , т.е. S=S(1,). Для произвольной функции u(x,y) суперпозицию u(x(,),y(,)) обозначим как u(,).
В качестве функционального пространства будем рассматривать множество, являющееся подпространством так называемого пространства Бергмана b21, состоящее из гармонических в S функций u(x,y) класса W21(S), обладающих непрерывными следами на частях Г1 и Г2 границы Г. Кроме того, потребуем, чтобы функция fj() u(,j) = u(x,y)Гj , j = 1,2, удовлетворяла на Гj условию Гельдера с показателем d0. Совокупность всех таких элементов u(x,y) обозначим как W(S). Определим в W(S) скалярное произведение, положив:
. Здесь (x0,y0) - произвольная внутренняя точка из S.
Рассмотрим функцию комплексного переменного z = x+iy:
.
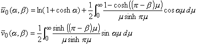
Функции u0 и v0 принадлежат W0(S) и в биполярных координатах имеют следующий вид:
| | (1.2) |
Используя формулу [3, (7.117)] с некоторыми дополнительными вычислениями, можно получить интегральные представления:
| | (1.3) |
Интегралы в (1.3), очевидно, сходятся при a(-,), b2.
Функции u0(,) и v0(,) удовлетворяют условиям Коши-Римана и аналитичны в окрестности любой точки из интервала (0,2). Значит, для такого и вещественного t, удовлетворяющего условию | t | max(, 2-), имеют место разложения:
| | (1.4) |
Здесь и далее под k понимаются функции uk или vk, k = 0,1,.... Коэффициенты uk(,), vk(,) этих разложений при k1 обладают рядом интересных свойств.
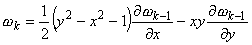
1. Из (1.4) следуют рекуррентные соотношения:
2. Применим (1.5) к интегралам в (1.3), вычислим полученные равенства по формулам [3, (7.113), (8.108)] и, учитывая (1.1), получим в переменных (x,y):
3. Соотношения (1.4) в декартовых координатах принимают вид:
| | (1.7) |
Из (1.6)-(1.7), используя индукцию по k, заключаем, что функции uk(x,y) и vk(x,y) - это гармонические полиномы степени k.
4. Полиномы uk(x,y) четны по y, а vk(x,y) нечетны. Кроме того, при всех k2 в угловых точках полиномы обращаются в нуль.
5. Последовательность {uk,vk}Ґk = 1 полна в W(S) и образует в нем базис.
2. Ортогонализация последовательности полиномов
Последовательность {uk,vk}Ґk = 1 ортогонализуем в скалярном произведении:
g№0. Для того чтобы эта задача была решена при помощи хорошо известного процесса Грама-Шмидта, необходимо уметь вычислять скалярные произведения вида
,
и
. Если воспользуемся формулой Грина, то значения этих скалярных произведений дают следующие формулы:
где =j, j = 1,2. Следовательно, можно ортогонализовать полиномы uk и vk методом Грама-Шмидта в смысле скалярного произведения (2.1). Получившийся базис будем обозначать как {ek,fk}.
3. Канонический базис
Для дальнейших результатов нам понадобится новый базис W(S), обладающий кроме ортогональности еще некоторыми дополнительными свойствами. Так как ортогональных базисов в гильбертовом пространстве W(S) существует бесконечно много, то любой из них можно получить из последовательности {ek,fk} унитарным преобразованием с матрицей перехода Т. Воспользуемся этим и трансформируем наш базис в базис {l}, ортогональный не только в W(S), но и в следующем скалярном произведении:
где KR(x0,y0) - шар с центром в (x0,y0) и радиуса R, равного расстоянию от центра до границы S. Базис с таким дополнительным свойством назовем каноническим в точке (x0,y0). Доказано (см.[4]), что базис в W(S), канонический в точке (x0,y0), существует.
Вектор-столбец
бесконечной высоты с координатами:
для l = 0,1,2,... - назовем нормированным следом u(x,y) в точке (x0,0) аналогично его определению в [4].
Ортонормированному базису {ek,fk} сопоставим бесконечную матрицу
, столбцы которой являются нормированными следами в (x0,0) функций ek и fk. Матрица
- это нормированная фундаментальная матрица следов (ФМС) в точке (x0,0). Из [4] известно, что
разложима в произведение трех сомножителей, первый из которых Q = (qij) частично изометричен в l2, второй - диагонален с положительной возрастающей последовательностью диагональных элементов {j}, а третий - изометричен в l2, т.е.
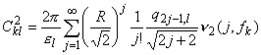
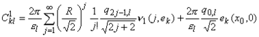
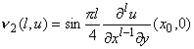
Учитывая параметры этого разложения и формулы нахождения коэффициентов ряда [4, §5, теорема 1] и используя свойства скалярного произведения, канонический в точке (x0,0) базис
удобно записать в виде ряда по функциям ek и fk. Тогда при всех натуральных l имеют место равенства:
Дифференцирование ek и fk сводится к дифференцированию uk и vk.
4. Приближенное интегрирование гармонических функций
В этом параграфе построим формулы интегрирования произвольной функции из W(S) и базисной последовательности полиномов.
Теорема 4.1. Существует единственная последовательность
такая, что для любой функции u из W(S) и точки (x0,0) луночки S скалярное произведение
конечно и при этом
Последовательность
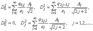
вычисляется по формулам:
Это утверждение легко доказать, если разбить функцию u(x,y) на две части - четную и нечетную по y и разложить каждую в ряд по каноническому базису W(S). Далее, учитывая определение (3.1) координат вектор-столбца
, производя необходимые преобразования с суммами и учитывая (3.2)-(3.3), получим формулы (4.1).
В формулировке теоремы 4.1 мы вывели представления для коэффициентов D1j и D2j, которые используют интегралы по луночке S. Численное вычисление множителя Al сводится к результатам следующего утверждения. Но сначала условимся об обозначениях.
Теорема 4.2. Интеграл от полинома uk+1, взятый по луночке S = S(1,2-1), совпадает с приращением функции Qk() на отрезке [1,2], а от полинома vk+1, взятый по той же луночке, равен нулю.
Здесь отметим, что приведенное в §4 приложение системы полиномов является не единственным. Например, ее можно применять в задачах, использующих альтернирующий метод Шварца. Также с их помощью можно находить решения в составных областях на плоскости.
Список литературы
Axler S., Bourdon P., Ramey~W. Harmonic Function Theory. Springer-Verlag, 1992.
Лебедев Н.Н. Специальные функции и их приложения.М.: Гос. изд-во физ.-мат. лит. 1963. 360 с.
Диткин В.А., Прудников А.П. Интегральные преобразования и операционное исчисление. М.:Гос. изд-во физ.-мат. лит. 1961. 523 с.
Васкевич В.Л. Аналоги эрмитовых кубатурных формул для интеграла Дирихле от гармонической функции // Теоретические и вычислительные проблемы в задачах математической физики. Труды ИМ СО РАН, том 24. Новосибирск: Наука, Сибирское отделение, 1994. С. 93-126.
Для подготовки данной работы были использованы материалы с сайта http://www.omsu.omskreg.ru/
Характеристики
Тип файла документ
Документы такого типа открываются такими программами, как Microsoft Office Word на компьютерах Windows, Apple Pages на компьютерах Mac, Open Office - бесплатная альтернатива на различных платформах, в том числе Linux. Наиболее простым и современным решением будут Google документы, так как открываются онлайн без скачивания прямо в браузере на любой платформе. Существуют российские качественные аналоги, например от Яндекса.
Будьте внимательны на мобильных устройствах, так как там используются упрощённый функционал даже в официальном приложении от Microsoft, поэтому для просмотра скачивайте PDF-версию. А если нужно редактировать файл, то используйте оригинальный файл.
Файлы такого типа обычно разбиты на страницы, а текст может быть форматированным (жирный, курсив, выбор шрифта, таблицы и т.п.), а также в него можно добавлять изображения. Формат идеально подходит для рефератов, докладов и РПЗ курсовых проектов, которые необходимо распечатать. Кстати перед печатью также сохраняйте файл в PDF, так как принтер может начудить со шрифтами.
, 













