84804 (763886)
Текст из файла
Расчет поверхностной энергии металлов в рамках моделиобобщенного псевдопотенциала Хейне-Абаренкова
М.В. Мамонова, Р.В. Потерин, В.В. Прудников, Омский государственный университет, кафедра теоретической физики
В последнее время интенсивно развиваются методы аналитического описания поверхностных свойств твердых тел, основанные на определении энергетического состояния поверхности с привлечением методов квантовой механики. При описании поверхностных явлений в металлах особенно эффективно применяется метод функционала электронной плотности [1,2]. В предлагаемой работе в рамках метода функционала плотности проведен расчет поверхностной энергии для ряда металлов. Исследованы влияния различных приближений, учитывающих дискретность кристаллической структуры и неоднородность электронного газа в поверхностном слое металлов. Для расчета влияния электрон-ионного взаимодействия на величину поверхностной энергии металлов впервые был использован обобщенный псевдопотенциал Хейне-Абаренкова. Проведен сравнительный анализ результатов, полученных с его использованием, с результатами, полученными с привлечением иных моделей, в частности псевдопотенциала Ашкрофта.
Рассмотрим полуограниченный металл, граничащий с вакуумом. При расчете поверхностных свойств определяющей является функция распределения электронной плотности n(z) вблизи поверхности. Она должна удовлетворять требованию экспоненциального затухания вне металла и стремиться к объемному значению электронной плотности внутри металла. Распределение электронной плотности n(z) находится как функция, обеспечивающая минимум функционала полной энергии неоднородной системы. Представим функционал полной энергии в виде градиентного разложения :
| | (1) |
где
| | (2) |
есть плотность энергии однородного электронного газа в атомных единицах, включающая последовательно электростатическую, кинетическую, обменную и корреляционную энергии, а
где
- фермиевский волновой вектор. являются соответственно градиентными поправками второго порядка на неоднородность электронного газа для кинетической энергии в приближении Вейцзекера-Киржница и обменно-корреляционной энергии в приближении Вашишты-Сингви (VS) [3].
В качестве пробных функций для потенциала
и электронной плотности n(z) были выбраны решения линеаризованного уравнения Томаса-Ферми:
| | (4) |
где n0 - объемная электронная плотность,
- ступенчатая функция.
В дальнейшем параметр
считался вариационным, определяемым при минимизации функционала энергии (1). С физической точки зрения величина
представляет собой характерную толщину поверхностного слоя, на котором резко меняется электронная плотность.
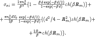
Поверхностную энергию металла представим в виде следующей суммы :
| | (5) |
где
- вклад от электронной системы в рамках модели "желе", когда заряд положительных ионов в металле считается равномерно и непрерывно размазанным по всему объему;
возникает от электростатического взаимодействия ионов между собой;
- связан с разностью в электростатическом взаимодействии электронов с дискретными ионами и с однородным фоном "желе". Для
можно воспользоваться аналитическим выражением работы [5]:
где Z - валентность ионов; с - расстояние между ближайшими соседями в плоскости параллельной поверхности; d - межплоскостное расстояние.
Для вычисления поправки на электрон-ионное взаимодействие воспользуемся широко применяемым в физике металлов обобщенным псевдопотенциалом Хейне-Абаренкова. Явный вид данного псевдопотенциала можно записать следующим образом:
Псевдопотенциал Хейне-Абаренкова переходит в выражение для другого широко используемого псевдопотенциала Ашкрофта при V0=0. Для получения
нами была использована методика, развитая в работе [6], согласно которой
где Проводя суммирование по ионным плоскостям с z=-(i+d/2), i=1,2,... и воспользовавшись периодичностью потенциала Проводя численное интегрирование и минимизацию полной поверхностной энергии (5), определяем параметр Минимизация данного соотношения по rs приводит к выражению, связывающему V0 и Rm : В результате возникает проблема определения второго параметра потенциала (7). Обычно его определяют по сопоставлению расчетов, проведенных с использованием данного псевдопотенциала, с какими-либо эмпирическими характеристиками. В данной работе в качестве такой Таблица 1 Металл Z n0, d, c, rc, Rm, V0, ат.ед. ат.ед. ат.ед. ат.ед. эрг/см2 ат.ед. ат.ед. эрг/см2 Na (ОЦК) 1 0.0038 5.71 6.99 1.736 265 1.800 0.529 280 Pb (ГЦК) 4 0.0194 5.38 6.59 1.457 1064 1.355 0.172 560 Al (ГЦК) 3 0.0269 4.92 5.25 0.960 1269 1.150 0.100 1140 Cu (ГЦК) 2 0.0252 3.92 4.80 0.923 898 1.350 0.588 1750 Fe (ОЦК) 4 0.0504 4.84 4.70 0.945 631 1.090 0.343 1910 Cr (ОЦК) 4 0.0492 3.85 4.72 0.956 649 1.120 0.364 2060 Mo (ОЦК) 6 0.0570 4.21 5.16 1.094 887 1.210 0.227 2200 экспериментальной характеристики была использована величина поверхностной энергии. В таблице 1 приведены значения параметров, использованные для расчета поверхностной энергии металлов, и рассчитанные значения параметров псевдопотенциала Хейне-Абаренкова для ряда простых и переходных металлов, дающие в соответствии с развитой методикой значения поверхностной энергии, наиболее хорошо согласующиеся с экспериментальными. Следует заметить, что для определения параметра обрезания rc псевдопотенциала Ашкрофта достаточно использования условия минимальности объемной энергии металла. Получающиеся при этом значения параметра обрезания rc и соответствующие значения поверхностной энергии также приведены в табл. 1. Проведенные нами расчеты поверхностной энергии металлов с использованием псевдопотенциала Ашкрофта и различного типа обменно-корреляционных поправок на неоднородность электронного газа [7] показали, что ни одна из поправок не является универсальной, а модель псевдопотенциала Ашкрофта неприменима для описания поверхностных характеристик благородных и переходных металлов,так как дает для них чересчур заниженные значения. Модель, использующая псевдопотенциал Хейне-Абаренкова, позволяет решить эту проблему. Отсутствие универсальных обменно-корреляционных поправок для металлов в рамках модели псевдопотенциала Ашкрофта [], приводит к значительным трудностям при расчетах адгезионных характеристик. Применение псевдопотенциала Хейне-Абаренкова с единой обменно-корреляционной поправкой в приближении Вашишты-Сингви позволяет избежать данных трудностей и позволяет применять данную модель для расчета адгезионных свойств как простых, так и переходных металлов. Список литературы Партенский М.Б. Самосогласованная электронная теория металлической поверхности // УФН. 1979. 128. Вып.1. С.69-106. Ухов В.Ф., Кобелева Р.М., Дедков Г.В., Темроков А.И. Электронностатистическая теория металлов и ионных кристаллов. М.:Наука, 1982. Vashishta P., Singwi K.S. Electron correlations at metallic densities. // Phys.Rev., 1972. B6. N3. P.875-887. Ferrante J., Smith J.R. A theory of adhesional bimetallic interface overlap effects. // Surface Science. 1973. 38. N1. P.77-92. Кобелева Р.М., Гельчинский Б.Р., Ухов В.Ф. К расчету поверхностной энергии металлов в модели дискретного положительного заряда // ФММ. 1978. 48. N1. С.25-32. Вакилов А.Н., Прудников В.В., Прудникова М.В. Расчет решеточной релаксации металлических поверхностей с учетом влияния градиентных поправок на неоднородность электронной системы // ФММ. 1993. 76. N6. С.38-48. Вакилов А.Н., Потерин Р.В. Прудников В.В., Прудникова М.В. Расчет адгезионных характеристик металлов и их расплавов. // ФММ, 1995, 79, N4, с.13-22. Для подготовки данной работы были использованы материалы с сайта http://www.omsu.omskreg.ru/
имеет смысл среднего по плоскостям от суммы ионных псевдопотенциалов за вычетом потенциала полубесконечного однородного фона заряда. Нами было получено для
при -d
, из (8) получим
, а затем и само значение
. В настоящей работе для определения параметров псевдопотенциала Хейне-Абаренкова использовалось условие минимума объемной энергии металла при наблюдаемом равновесном атомном объеме
В соответствии с приближением локальной плотности объемная энергия металла выражалась через параметр плотности rs :
Характеристики
Тип файла документ
Документы такого типа открываются такими программами, как Microsoft Office Word на компьютерах Windows, Apple Pages на компьютерах Mac, Open Office - бесплатная альтернатива на различных платформах, в том числе Linux. Наиболее простым и современным решением будут Google документы, так как открываются онлайн без скачивания прямо в браузере на любой платформе. Существуют российские качественные аналоги, например от Яндекса.
Будьте внимательны на мобильных устройствах, так как там используются упрощённый функционал даже в официальном приложении от Microsoft, поэтому для просмотра скачивайте PDF-версию. А если нужно редактировать файл, то используйте оригинальный файл.
Файлы такого типа обычно разбиты на страницы, а текст может быть форматированным (жирный, курсив, выбор шрифта, таблицы и т.п.), а также в него можно добавлять изображения. Формат идеально подходит для рефератов, докладов и РПЗ курсовых проектов, которые необходимо распечатать. Кстати перед печатью также сохраняйте файл в PDF, так как принтер может начудить со шрифтами.















