84784 (763882)
Текст из файла
Внутренние функции на комплексных полугруппах Ли над группой SU(p,q)
Д.А. Ланин, Омский государственный университет, кафедра математического анализа
Пусть
- вещественная алгебра Ли, G - группа Ли с алгеброй
. Выпуклый замкнутый острый телесный конус
в алгебре
, инвариантный относительно действия группы
, будем называть инвариантным конусом. Среди всех таких конусов есть минимальный. Если
- инвариантный конус, то множество
оказывается замкнутой комплексной полугруппой (см. [1,2]) и называется полугруппой Ольшанского. Будем рассматривать группу G, алгебру
и полугруппу Ольшанского в матричной реализации. Под внутренней функцией на полугруппе Ольшанского
будем понимать голоморфную ограниченную рациональную (от матричных элементов) функцию без особенностей на границе, равную по модулю единице на группе G. Степень рациональной внутренней функции определим как максимум степеней числителя и знаменателя. Наша задача состоит в нахождении свойств внутренних функций на полугруппах Ольшанского над группой SU(p,q). Сходные вопросы рассматриваются в работах [3,4]. В [3] дано полное описание рациональных внутренних функций на поликруге. Этот результат распространен на произвольные ограниченные симметрические области в [4].
Через
обозначим инволюцию, выделяющую группу
в группе
.
В настоящей работе получены следующие результаты:
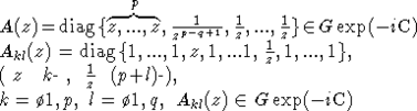
Теорема 1. Каждая рациональная внутренняя функция на полугруппе л имеет вид
где f(X) - многочлен от элементов матрицы X, а |C|=1.
Теорема 2. В случае минимального конуса степень рациональной внутренней функции на полугруппе Ольшанского над группой SU(p,q) не меньше, чем
, причем эта оценка точная.
1. Основные понятия и обозначения
1.1. Говоря о блочной матрице
, будем подразумевать, что A имеет размеры
, а D -
. Пусть
, где
. Тогда
Положим
, т.е.
- инволюция, выделяющая группу
в группе
. Если f(A) - многочлен от матричных элементов
, то
также будет многочленом от
.
1.2. Поскольку
- инвариантный,
можно представить в виде
1.3. Пусть известно, что значения двух многочленов F(A) и H(A) от элементов
матрицы A совпадают при
. Эти многочлены не обязательно равны, и мы будем называть их эквивалентными. Класс эквивалентности, в котором лежит многочлен P, будем обозначать [P].
Определение. Будем говорить, что [P] и [Q] взаимно просты, если для любых
и
многочлены
и
не имеют общих нетривиальных (
) множителей.
Определение. Степенью рациональной функции
будем называть
, где
, причем [P1] и [Q1] - взаимно просты, а P1 и Q1 имеют минимальную степень.
Корректность последнего определения гарантируется следующим фактом ([5]):
Теорема 3. В кольце многочленов на односвязной полупростой алгебраической группе разложение на простые множители однозначно.
2. Доказательство теоремы 1
Нам понадобится теорема Боголюбова об острие клина (см. [6]). Приведем ее формулировку в удобной для нас форме.
Теорема 4. Пусть
- область в
, C - конус в
. Пусть в локальных трубах
заданы функции
, голоморфные и ограниченные в соответствующих областях, а их граничные (предельные) значения совпадают на
. Тогда существует комплексная окрестность
области
, и функция f, голоморфная и ограниченная в
, совпадающая с
в
.
В нашем случае
будет некоторой окрестностью в su(p,q), а
будет соответствующей окрестностью в
. Пусть внутренняя функция имеет вид
, где (без ограничения общности) P(A), Q(A) - многочлены от элементов матрицы A такие, что [P] взаимно просто с [Q]. Пусть теперь
. Тогда
(см. (1.2)). Положим
, и
. Ввиду голоморфности экспоненциального отобpажения эти функции будут удовлетворять условиям теоремы 4. Отсюда в комплексной окрестности любой точки
. А значит и для любой матрицы
имеем
, или если ввести обозначения
и
, то
Поскольку [P] и [Q] предполагаются взаимно простыми, то, в соответствии с теоремой 3,
должно делиться на [Q], т.е.
Из (1) и (2) получаем, что
Заменив в (2) и (3) матрицу A на
и перейдя к комплексно сопряж"нным выражениям, обнаруживаем, что
То есть нам удалось выделить общий множитель из двух многочленов, принадлежащих взаимно простым классам эквивалентности [P] и [Q]. Значит, этот множитель
тривиален, т.е.
, из чего следует, что
. Таким образом,
, где C - некоторая константа. Однако если
, то
3. Доказательство теоремы 2
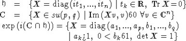
Пусть G=SU(p,q),
=su(p,q) ,
- е" подалгебра Картана,
- минимальный инвариантный конус. Тогда:
Пусть
- внутренняя функция, такая, что степени многочленов P и Q минимальны.
Заметим, что функция F принимает значение ноль в какой-то точке единичного круга
. Действительно, если предположить противное, то функция
будет аналитической в
, в частности
в
(по принципу максимума модуля). С другой стороны,
. Поэтому |F|=1, что противоречит многомерному принципу максимума модуля, поскольку ограниченная функция
не может принимать значение, равное по модулю единице, во внутренней точке полугруппы л (рассматриваемой как область в
).
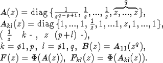
Заметим также, что внутренним автоморфизмом можно непрерывно перевести Ak1l1(z) в Ak2l2(z), а, значит, и A(z) в B(z). Далее, поскольку интеграл
есть целое число (равное числу нулей функции Fkl, ввиду ее аналитичности), и подынтегральная функция меняется непрерывно при переходе от матрицы Ak1l1(z) к Ak2l2(z), получаем, что этот интеграл имеет одно и то же значение для любых k и l. Точно так же будут совпадать интегралы
и
. Если
, то
, т.к. B(z)=A11(zq).
Поскольку функция F имеет ноль внутри единичного круга,
. Значит, рациональная функция F имеет по крайней мере q нулей в
. А это говорит о том, что степень многочлена P, стоящего в числителе
, не меньше, чем q.
2) Если p>q, то оценим степень
через степень многочлена Q. Имеем:
(см. (1.2)). Положив
и повторив вышеприведенные рассуждения с учетом того, что
, получим следующую оценку:
. Таким образом,
. Докажем теперь, что указанная оценка достигается.
Предложение. Пусть
. Тогда функция
имеющая степень p, является внутренней на полугруппе Ольшанского над группой SU(p,p).
Доказательство.Пусть Z - квадратная матрица размером
. Тогда для матрицы X соответствующее ей отобpажение
является аналитическим автоморфизмом области
. Здесь E - единичная матрица размером p. Границей области
является множество
, которое разбивается на компоненты, различающиеся рангом матрицы (E-Z*Z), причем отображение
ранг этой матрицы не меняет (см. [7]). Поэтому
и при
Осталось доказать ограниченность модуля функции
на полугруппе Ольшанского. Каждая матрица
представляется в виде
, где
, а
. Поэтому
. Отсюда
где Z=P(K+L)(M+N)-1Q-1. Заметим, что отображение (CZ+D)(AZ+B)-1 преобразует область E-Z*Z0 и наоборот. Поэтому, чтобы доказать ограниченность Ф(X), достаточно показать, что E-Z*Z<0, т.е. что все собственные числа матрицы Z*Z больше или равны единице. А это действительно так ввиду того, что диагональные матрицы P и Q-1 состоят из чисел, больших или равных единице, а матрица (K+L)(M+N)-1 унитарная.
Для матриц из SU(p,q) при p>q требуемый пример получается ограничением указанной функции
на группу SU(p,q).
Список литературы
Ol'shanski
G.I. Invariant cones in Lie algebras, Lie semigroups, and the holomorphic discrete series // Funct. Anal. Appl. 15 (1982), 275-285.
Lawson J.D. Semigroups of Ol'shanski
type // <>/ ed. Karl H. Hofmann... - Berlin; New York : de Gruyter, 1995.
Рудин У. Теоpия функций в поликруге. М.: Миp, 1974.
Koranyi A., Vagi S. Rational inner functions on bounded symmetric domains // Trans. Amer. Math. Soc., 254 (1979), 179-193.
Попов В.Л. Группы Пикара однородных пространств // Известия АН СССР. Сер. математическая. Т. 38. ò2. Март-апрель (1974). С. 296.
Владимиров В.С., Сергеев А.Г. Комплексный анализ в трубе будущего // Соврем. проблемы математики. Фунд. направления. Т. 8 (Итоги науки и техн. ВИНИТИ АН СССР). М.: 1985, С.191-266.
Пятецкий-Шапиро И.И. Геометрия классических областей и теория автоморфных функций. М.: Гос. изд-во физ.-мат. лит-ры, 1961.
Для подготовки данной работы были использованы материалы с сайта http://www.omsu.omskreg.ru/
0>Характеристики
Тип файла документ
Документы такого типа открываются такими программами, как Microsoft Office Word на компьютерах Windows, Apple Pages на компьютерах Mac, Open Office - бесплатная альтернатива на различных платформах, в том числе Linux. Наиболее простым и современным решением будут Google документы, так как открываются онлайн без скачивания прямо в браузере на любой платформе. Существуют российские качественные аналоги, например от Яндекса.
Будьте внимательны на мобильных устройствах, так как там используются упрощённый функционал даже в официальном приложении от Microsoft, поэтому для просмотра скачивайте PDF-версию. А если нужно редактировать файл, то используйте оригинальный файл.
Файлы такого типа обычно разбиты на страницы, а текст может быть форматированным (жирный, курсив, выбор шрифта, таблицы и т.п.), а также в него можно добавлять изображения. Формат идеально подходит для рефератов, докладов и РПЗ курсовых проектов, которые необходимо распечатать. Кстати перед печатью также сохраняйте файл в PDF, так как принтер может начудить со шрифтами.















