25752-1 (755992)
Текст из файла
Мир прокариот: архебактерии
Со времени открытия архебактерий в 1977 г. количество относящихся к ним организмов и объем знаний о последних возрастают стремительно. К архебактериям относят 5 групп прокариотных организмов. Две из них — метанобразующие бактерии и экстремальные галофилы — известны давно. Более 10 лет известны и представители двух других групп: термоацидофильные серные аэробные бактерии и микоплазмоподобная форма Thermoplasma acidophilum. Последняя группа, обнаруженная в начале 80-х гг., — анаэробные формы, метаболизм которых связан с молекулярной серой.
По сравнению с эубактериями число известных архебактерий мало, поэтому при описании мира прокариот во II разделе внимание было сосредоточено на эубактериях. Настоящий раздел посвящен общей характеристике (гл. 17) и отдельным группам (гл. 18) архебактерий.
ГЛАВА 17. АРХЕБАКТЕРИИ: ОБЩАЯ ХАРАКТЕРИСТИКА
Формы клеток архебактерий в целом сходны с таковыми эубактерий (см. рис. 3). Среди них есть кокки, палочки, извитые клетки и виды, характеризующиеся слабым ветвлением. Особенность архебактерий — отсутствие сложных многоклеточных форм, мицелиальных и трихомных, достаточно хорошо представленных у грамположительных и грамотрицательных эубактерий.
По тонкому строению клетки, выявляемому с помощью электронного микроскопа, архебактерии принципиально не отличаются от эубактерий и ближе к грамположительной их ветви. Прокариотная организация архебактерий проявляется в отсутствии у них ядра и характерных для эукариот органелл, окруженных мембраной. Хромосомная ДНК организована в виде нуклеоида, т. е. расположена непосредственно в цитоплазме и имеет вид электроннопрозрачной зоны, заполненной нитями ДНК.
От внешней среды клетки отделены клеточной стенкой (исключение составляет Thermoplasma acidophilum). У одних видов она выглядит как толстый гомогенный слой, у других — тонкий, структурированный. У некоторых нитчатых форм поверх клеточной стенки расположен чехол, объединяющий несколько клеток. Многие виды имеют жгутики и ворсинки эубактериального типа. В цитоплазме некоторых архебактерий обнаружены газовые вакуоли и запасное вещество гликоген, присущие многим эубактериям.
У архебактерий описаны разные способы размножения: равновеликое бинарное деление, почкование, фрагментация. Все они имеются и у эубактерий.
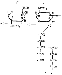
Хотя клетки архебактерий структурно относятся к прокариотному типу, многие макромолекулы, входящие в их состав (липиды, полисахариды, белки), уникальны и 'не 'найдены ни у эубактерий, ни у эукариот. Одно из существенных отличий архебактерий связано с химическим составом клеточных стенок, в которых не обнаружен характерный для эубактерий пептидогликан (см. рис. 6). В составе последнего в качестве обязательного компонента присутствует N-ацетилмурамовая кислота. Отсюда и часто употребляющееся его название муреин69. Вместо него у ряда архебактерий из группы метанобразующих найден другой пептидогликан, получивший название псевдомуреина (рис. 101). Его гликановый остов построен из N-ацетилглюкозамина и N-ацетилталозаминуроновой кислоты, а пептидные фрагменты — только из L-аминокислот. Последовательность аминокислот пептидного хвоста псевдомуреина отличается от таковой эубактериального .пептидогликана. Кроме того, аминосахара гликановой цепи псевдомуреина соединены не с помощью b-1,4-, а через (b-1,3-гликозидные связи. Отсутствие у архебактерий муреина привело к их устойчивости к пенициллину и некоторым другим антибиотикам, ингибирующим синтез пептидогликана эубактерий. Под электронным микроскопом клеточные стенки такого типа, окрашивающиеся положительно по Граму, выглядят как однородный слой толщиной 15 — 40 нм, ничем морфологически не отличающийся от клеточной стенки грамположительных эубактерий.
69 От лат. murus — стенка.
|
|
| Рис. 101. Структура псевдомуреина архебактерий: Г — N-ацетилглюкозамин; Т — N-ацетилталозаминуроновая кислота; глу — глутаминовая кислота; ала — аланин; лиз — лизин |
Описаны метанобразующие архебактерии с очень толстой (до 500 нм) аморфной клеточной стенкой, дающей положительную реакцию по Граму, построенной исключительно из кислого гетерополисахарида, в составе которого обнаружены галактозамин, нейтральные сахара и уроновые кислоты. Наличие у этих бактерий положительного окрашивания по Граму может служить указанием на то, что оно определяется не химическим составом клеточной стенки, а ее строением70.
70 Вероятно, все гораздо сложнее. Описаны эубактерии, имеющие типичную грамположительную клеточную стенку, но окрашивающиеся по Граму отрицательно, и наоборот.
Наконец, у галобактерий, ацидофильно-термофильных архебактерий и большинства метанобразующих бактерий клеточная стенка построена из белка. В некоторых случаях в следовых количествах обнаружены аминосахара. Под электронным микроскопом клеточная стенка выглядит обычно как ряд регулярно расположенных белковых субъединиц. Все архебактерии с клеточной стенкой белковой природы грамотрицательны.
Другое уникальное свойство архебактерий касается состава их мембранных липидов. У них не найдены обычные для эубактерий эфиры глицерина и жирных кислот (см. рис. 14), но присутствуют эфиры, образованные путем конденсации глицерина с терпеноидными спиртами: диэфир состоит из глицерина, связанного простыми эфирными связями с двумя молекулами C20-спирта фитанола; тетраэфир образован двумя остатками глицерина, соединенными двумя одинаковыми парами C40-бифитанильных цепей (рис. 102, 1, 2). Молекула тетраэфира, таким образом, структурно эквивалентна двум молекулам диэфира. Бифитанильные цепи тетраэфиров могут быть ациклическими или содержать от 1 до 4 пятичленных колец (рис. 102, 3).
В мембранах архебактерий присутствуют до 80–90% полярных фосфо- и гликолипидов, образованных на основе ди- и тетраэфиров. Экстремально галофильные архебактерии содержат диэфиры в качестве единственных мембранных гликолипидов. В мембранах ацидотермофильных архебактерий почти все гликолипиды представлены тетраэфирами. Метанобразующие бактерии содержат ди- и тетраэфиры, соотношение их в мембранах зависит от вида. Наличие пятичленных колец в бифитаниловых цепях характерно для термоацидофильных архебактерий, и это понятно, так как эти химические структуры способствуют стабилизации мембраны, снижая ее текучесть и обеспечивая функционирование при высоких температурах. При повышении температуры количество цепей, содержащих циклические группировки, возрастает, ациклических — снижается. Кроме того, в зависимости от температуры культивирования меняется число колец в цепи.
Помимо полярных липидов архебактерии содержат нейтральные липиды, основными из которых являются изопреноидные углеводороды, насыщенные или содержащие двойные связи, — производные C15-C30-изопреноидных скелетов. Особенно распространены у архебактерий C30-изопреноиды. Больше всего углеводородов содержится у метанобразующих бактерий, меньше — у галофилов и термоацидофилов.
|
|
| Рис. 102. Липиды архебактерий: 1 — фитаниловый диэфир глицерина; 2 — бифитаниловый тетраэфир диглицерина; 3 — изопреноид из полярных липидов, содержащий пятичленные циклические группировки; обведены полярные области; R — остатки фосфорной кислоты или сахара |
Доминирование в мембране архебактерий липидов, образованных на основе ди- и тетраэфиров, поставило вопрос о принципиальной ее организации. По современным представлениям, у всех эубактерий и эукариот основу элементарной (липопротеиновой) мембраны составляет липидный бислой (см. рис. 15). Диэфиры архебактерий способны образовывать элементарные мембраны, состоящие из двух ориентированных слоев липидных молекул. Молекулы тетраэфира имеют длину порядка 5–7,5 нм. Толщина мембраны архебактерий примерно 7 нм. Такая мембрана не может быть организована из двух слоев тетраэфирных молекул. Очевидно, что в данном случае она представляет собой липидный монослой (рис. 103). Монослойные липидные мембраны обладают, очевидно, повышенной жесткостью по сравнению с бислойными. Обнаружение липопротеиновой мембраны, в основе которой лежит иной принцип организации, приводит к отказу еще от одной догмы — универсальности элементарной мембраны с бислойным липидным строением.
|
|
| Риc. 103. Схема бислойной и монослойной мембран архебактерий, образованных соответственно ди- (А) и тетраэфирами (Б) глицерина: 1 — молекула глицерина; 2 — углеводородные цепи разной длины (по Воробьевой, 1987) |
Существенные отличия выявлены у архебактерий в строении генома, аппаратов репликации, транскрипции и трансляции. Прежде всего исследователи обратили внимание на то, что именно в группе архебактерий наименьший геном среди свободноживующих форм прокариот: у Thermoplasma acidophilum — 0,8x109 Да, изученных метанобразующих бактерий — порядка 1x109 Да (для сравнения молекулярная масса генома Е. coli — 2,5x109 Да). Однако у галобактерий величина генома оказалась больше, чем у Е. coli. Особенность генома архебактерий — наличие многократно повторяющихся нуклеотидных последовательностей, а в генах, кодирующих белки, тРНК и рРНК, — интронов, что характерно для организации генетического материала эукариот. У некоторых архебактерий обнаружены основные гистоноподобные белки, связанные с ДНК. Функция их предположительно заключается в обеспечении определенной упаковки ДНК в нуклеоиде.
Помимо хромосомной ДНК в клетках архебактерий обнаружены типичные для эубактерий фаги, плазмиды, мигрирующие элементы.
Существование механизмов переноса генетической информации с помощью фагов и плазмид позволяет предполагать, что архебактерии должны каким-то образом защищать собственный генетический материал от чужеродного. У эубактерий эта проблема решена с помощью системы рестрикции-модификации. У эукариот такой системы нет, они выработали иные механизмы генетической изоляции. Найдено, что архебактерии обладают системой рестрикции-модификации, аналогичной эубактериальной.
Информация об аппарате репликации архебактерий в основном ограничивается данными о выделенной из ограниченного числа видов ДНК-зависимой ДНК-полимеразе, по некоторым свойствам близкой к эукариотному типу. Генетический код архебактерий такой же, как у других организмов.
ДНК-зависимая РНК-полимераза архебактерий сочетает свойства, характерные для эукариот и эубактерий. У всех изученных представителей архебактерий РНК-полимераза одной формы, осуществляющая, как и в случае эубактерий, транскрипцию всех генов. (У эукариот, например дрожжей, существуют 3 формы РНК-полимеразы, различающиеся функционально, компонентным составом, чувствительностью к ингибиторам). Фермент архебактерий отличается структурной сложностью, в его состав входят от 5 до 11 отдельных субъединиц. (РНК-полимеразы эубактерий состоят из 4 — 8 компонентов, а эукариот — 10 — 14 субъединиц). Характерным для РНК-полимераз всех эубактерий является их чувствительность к антибиотикам, специфически ингибирующим инициацию (рифампицин) и элонгацию (стрептолидигин 1) транскрипции. Архебактериальная и все РНК-полимеразы эукариот не чувствительны к этим антибиотикам.
Недавно у архебактерий описан известный только у эукариот процессинг: вырезание из первичного продукта транскрипции определенных нуклеотидных участков, укорачивание и образование зрелых молекул РНК.
Процесс трансляции у архебактерий происходит по тому же принципиальному пути, что и у других организмов, но обнаружены многочисленные особенности в организации трансляционного аппарата. Рибосомы архебактерий сочетают свойства, присущие эубактериям и эукариотам: по размерам они схожи с рибосомами эубактерий (имеют константу седиментации 70S, а их субъединицы — 30S и 50S), по форме ближе к 80S рибосомам эукариот.
Состав рибосомальных РНК архебактерий типично эубактериальный (5S, 16S и 23S рРНК), но их первичные структуры отличны от эубактериальных и эукариотных. Изучение нуклеотидных последовательностей 16S (18S) рРНК разных представителей живого мира и привело к выявлению среди прокариот группы архебактерий. Значения коэффициента сходства (SAB), отделяющие рРНК эубактерий, архебактерий и эукариот друг от друга, лежат в области 0,1 (SAB, равный 1, соответствует полной гомологии нуклеотидных последовательностей; SAB порядка 0,02 — уровень случайного совпадения).
Архебактериальные 5S рРНК по нуклеотидной последовательности также заметно отличаются от соответствующих рРНК эубактерий и эукариот. Вторичные структуры этих РНК у различных представителей архебактерий проявляют наличие эубактериальных, эукариотных и уникальных черт в разных соотношениях и по своему разнообразию охватывают широкий спектр структур от типично эубактериальной до типично эукариотной.
Количество рибосомальных белков у архебактерий больше, чем у эубактерий, но меньше, чем у эукариот. Получены данные, свидетельствующие об уникальности первичной структуры ряда рибосомальных белков архебактерий. В то же время наиболее интенсивно изучаемый рибосомальный белок А архебактерий по аминокислотной последовательности сходен с соответствующим белком эукариот. На 70S архебактериальной рибосоме отсутствуют места связывания ингибиторов, специфичных для 70S рибосом эубактерий (хлорамфеникол, стрептомицин), но есть места для связывания ингибиторов, специфических в отношении 80S рибосом эукариот.
Для тРНК архебактерий характерно сходство с остальными организмами по общим принципам организации, но значительные различия по многим частным деталям. Это проявляется, например, в специфической модификации ряда нуклеотидов в молекуле архебактериальной тРНК, происходящей после окончания транскрипции. Модификации могут быть уникальными для архебактерий, общими для эубактерий и эукариот, характерными только для эубактерий или только для эукариот. В целом тРНК архебактерий отличается от тРНК эубактерий и эукариот в такой же степени, как последние различаются между собой.
Характеристики
Тип файла документ
Документы такого типа открываются такими программами, как Microsoft Office Word на компьютерах Windows, Apple Pages на компьютерах Mac, Open Office - бесплатная альтернатива на различных платформах, в том числе Linux. Наиболее простым и современным решением будут Google документы, так как открываются онлайн без скачивания прямо в браузере на любой платформе. Существуют российские качественные аналоги, например от Яндекса.
Будьте внимательны на мобильных устройствах, так как там используются упрощённый функционал даже в официальном приложении от Microsoft, поэтому для просмотра скачивайте PDF-версию. А если нужно редактировать файл, то используйте оригинальный файл.
Файлы такого типа обычно разбиты на страницы, а текст может быть форматированным (жирный, курсив, выбор шрифта, таблицы и т.п.), а также в него можно добавлять изображения. Формат идеально подходит для рефератов, докладов и РПЗ курсовых проектов, которые необходимо распечатать. Кстати перед печатью также сохраняйте файл в PDF, так как принтер может начудить со шрифтами.















