24938-1 (755966)
Текст из файла
Ковчегин Игорь 11б
Нефть и основные продукты ее переработки
Нефть — маслянистая жидкость темно-бурого или почти черного цвета с характерным запахом. Она легче воды (плотность 0,73...0,97 г/см3), в воде практически нерастворима.
По составу нефть — сложная смесь углеводородов различной молекулярной массы, главным образом жидких (в них растворены твердые и газообразные углеводороды). Обычно это углеводороды парафиновые, циклоалканы, ароматические, соотношение которых в нефтях различных месторождений колеблется в широких пределах. Кроме углеводородов нефть содержит кислородные, сернистые и азотистые органические соединения.
Сырая нефть обычно не применяется. Для получения из нефти технически ценных продуктов ее подвергают переработке.
Первичная переработка нефти заключается в ее перегонке. Перегонку производят на нефтеперерабатывающих заводах после отделения попутных газов. При перегонке нефти получают светлые нефтепродукты: бензин (т. кип. от 40 до 150... 200°С), лигроин (т. кип. 120...240°С), керосин (т. кип. 150...300 °С), газойль—соляровое масло (т. кип. выше 300 °С), а в остатке — вязкую черную жидкость мазут. Мазут подвергают дальнейшей переработке. Его перегоняют под уменьшенным давлением (чтобы предупредить разложение) и выделяют смазочные масла:
веретенное, машинное, цилиндровое и др. Из мазута некоторых сортов нефти выделяют вазелин и парафин. Остаток мазута после отгонки называют нефтяным пеком или гудроном.
Продукты перегонки нефти имеют различное применение. Бензин в больших количествах используют как авиационное и автомобильное топливо. Он состоит обычно из углеводородов, содержащих в молекулах в среднем от 5 до 9 атомов углерода.
Лигроин служит топливом для дизельных двигателей, а также растворителем в лакокрасочной промышленности. Большие количества его перерабатывают в бензин.
Керосин применяют как горючее для реактивных и тракторных двигателей, а также для бытовых нужд. Он состоит из углеводородов, содержащих в молекулах в среднем от 9 до 16 атомов углерода.
Соляровое масло используют как моторное топливо, а смазочные масла — для смазки механизмов.
Вазелин используют в медицине. Он состоит из смеси жидких и твердых углеводородов.
Парафин применяют для получения высших карбоновых кислот, для пропитки древесины в производстве спичек и карандашей, для изготовления свечей, гуталина и т.д. Он состоит из смеси твердых углеводородов.
Гудрон — нелетучая темная масса, после частичного окисления его применяют для получения асфальта.
Мазут помимо переработки на смазочные масла и бензин используют в качестве котельного жидкого топлива.
При вторичных методах переработки неф-т и происходит изменение структуры углеводородов, входящих в ее состав. Среди этих методов большое значение имеет крекинг (расщепление) углеводородов нефти, проводимый для повышения выхода бензина.
Термический крекинг проводится при нагревании исходного сырья (мазута и др.) при температуре 450...550 °С и давлении 2...7 МПа. При этом молекулы углеводородов с большим числом атомов углерода расщепляются на молекулы с меньшим числом атомов как предельных, так и непредельных углеводородов. Например:
Таким способом получают главным образом автомобильный бензин. Выход его из нефти достигает 70%. Термический крекинг открыт русским инженером В.Г. Шуховым в 1891 г.
Каталитический крекинг производится в присутствии катализаторов (обычно алюмосиликатов) при 450 °С и атмосферном давлении. Этим способом получают авиационный бензин с выходом до 80%. Такому виду крекинга подвергается преимущественно керосиновая и газойлевая фракции нефти. При каталитическом крекинге наряду с реакциями расщепления протекают реакции изомеризации. В результате последних образуются предельные углеводороды с разветвленным углеродным скелетом молекул, что улучшает качество бензина.
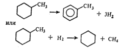
Важным каталитическим процессом является ароматизация углеводородов, т. е. превращение парафинов и циклопарафинов в ароматические углеводороды. При нагревании тяжелых фракций нефтепродуктов в присутствии катализатора (платины или молибдена) углеводороды, содержащие 6...8 атомов углерода в молекуле, превращаются в ароматические углеводороды. Эти процессы протекают при риформинге (облагораживании бензинов).
При крекинг-процессах образуется большое количество газов (газы крекинга), которые содержат главным образом предельные и непредельные углеводороды. Эти газы используют в качестве сырья для химической промышленности.
При температурах 700...1000 °С проводят пиролиз (термическое разложение) нефтепродуктов, в результате которого получают главным образом легкие алкены — этилен, пропилен и др. и ароматические углеводороды. При пиролизе возможно протекание следующих реакций:
Для улучшения свойств бензиновых фракций нефти они подвергаются каталитическому риформингу, который проводится в присутствии катализаторов из платины или платины и рения. При каталитическом риформинге бензинов происходит образование ароматических соединений из алканов, например:
Циклоалканы превращаются в ароматические соединения, подвергаются изомеризации, гидрированию, например
Ароматические углеводороды теряют при риформинге боковые цепи, например
В последние годы (наряду с увеличением выработки топлива и масел) углеводороды нефти широко используют как источник химического сырья. Различными способами из них получают вещества, необходимые для производства пластмасс, синтетического текстильного волокна, синтетического каучука, спиртов, кислот, синтетических моющих средств, взрывчатых веществ, ядохимикатов, синтетических жиров и т.д.
Природные газы и их использование
Природные газы, нефть и каменный уголь - основные источники углеводородов. По запасам природного газа первое место в мире принадлежит нашей стране, где известно более 200 месторождений.
В природном газе содержатся углеводороды с небольшой относительной молекулярной массой. Он имеет следующий примерный состав (по объему): 80...90% метана, 2...3% его ближайших гомологов — этана, пропана, бутана и небольшое содержание примесей — сероводорода, азота, благородных газов, оксида углерода (IV) и паров воды. Так, например, газ Ставропольского месторождения содержит 97,7% метана и 2,3% прочих газов, газ Саратовского месторождения—93,4% метана, 3,6% этана, пропана, бутана и 3% негорючих газов.
К природным газам относятся и так называемые попутные газы, которые обычно растворены в нефти и выделяются при ее добыче. В попутных газах содержится меньше метана, но больше этана, пропана, бутана и высших углеводородов. Кроме того, в них присутствуют в основном те же примеси, что и в других природных газах, не связанных с залежами нефти, а именно: сероводород, азот, благородные газы, пары воды, углекислый газ.
Раньше попутные газы не находили применения и при добыче нефти и сжигались факельным способом. В настоящее время их стремятся улавливать и использовать как в качестве топлива, так и главным образом в качестве ценного химического сырья. Из попутных газов, а также газов крекинга нефти путем перегонки при низких температурах получают индивидуальные углеводороды. Из пропана и бутана путем дегидрирования получают непредельные углеводороды — пропилен, бутилен и бутадиен, из которых затем синтезируют каучуки и пластмассы.
Природный газ широко используют как дешевое топливо с высокой теплотворной способностью (при сжигании 1 м3 выделяется до 54 400 кДж). Это один из лучших видов топлива для бытовых и промышленных нужд. Кроме того, природный газ служит ценным сырьем для химической промышленности.
Разработано много способов переработки природных газов. Главная задача этой переработки — превращение предельных углеводородов в более активные — непредельные, которые затем переводят в синтетические полимеры (каучук, пластмассы). Кроме того, окислением углеводородов получают органические кислоты, спирты и другие продукты.
В последние годы значительно возросло производство газов путем переработки каменных углей, торфа и сланцев. Уголь, так же как и природные газы и нефть, является источником энергии и ценным химическим сырьем.
Основной метод переработки каменного угля — коксование (сухая перегонка). При коксовании (нагревании до 1000...1200°С без доступа воздуха) получают различные продукты: кокс, каменноугольная смола, аммиачная вода и коксовый газ. Примерный
состав косового газа: 60% водорода, 25% метана, 5% оксида углерода (II), 4% азота, 2% оксида азота (IV), 2% этилена и 2% прочих газов.
Коксовый газ применяют для обогревания коксовых печей (при сгорании 1 м3 выделяется 18 000 кДж), но в основном его подвергают химической переработке. Так, из него выделяют водород для синтеза аммиака, используемого затем для получения азотных удобрений.
Каменноугольная смола служит источником ароматических углеводородов. Ее подвергают ректификационной перегонке и получают бензол, толуол, ксилол, нафталин, а также фенолы, азотсодержащие соединения и др. Пек — густая черная масса, оставшаяся после перегонки смолы, используют для приготовления электродов и кровельного толя.
Характеристики
Тип файла документ
Документы такого типа открываются такими программами, как Microsoft Office Word на компьютерах Windows, Apple Pages на компьютерах Mac, Open Office - бесплатная альтернатива на различных платформах, в том числе Linux. Наиболее простым и современным решением будут Google документы, так как открываются онлайн без скачивания прямо в браузере на любой платформе. Существуют российские качественные аналоги, например от Яндекса.
Будьте внимательны на мобильных устройствах, так как там используются упрощённый функционал даже в официальном приложении от Microsoft, поэтому для просмотра скачивайте PDF-версию. А если нужно редактировать файл, то используйте оригинальный файл.
Файлы такого типа обычно разбиты на страницы, а текст может быть форматированным (жирный, курсив, выбор шрифта, таблицы и т.п.), а также в него можно добавлять изображения. Формат идеально подходит для рефератов, докладов и РПЗ курсовых проектов, которые необходимо распечатать. Кстати перед печатью также сохраняйте файл в PDF, так как принтер может начудить со шрифтами.















