24842-1 (755962)
Текст из файла
Российская Экономическая Академия им. Г. В. Плеханова
Расчетно-аналитическая работа по курсу методы поиска и
принятия инновационно технических решений.
КАФЕДРА МЕХАНИКИ
Функционально-физический анализ фотоаппарата «Зенит»
Выполнил студент гр.№723
Фролов Александр Александрович
факультет ИЭИ.
Научный руководитель
Колоколов В. А.
Москва 2001
Функционально-физический анализ фотоаппарата
-
Описание функции предназначения.
F = {D,G,H }
D - экспонирование ;
G - светочувствительный материал ;
H - с определенными условиями .
-
Описание физической операции.
Q = {A, E, C}
А - свет ;
С - экспонированный светочувствительный материал ;
Е - сбор и накопление.
3.Разбиваем фотоаппарат на функциональные элементы.
Е1 – объектив;
Е2 – затвор;
Е3 – диафрагма;
Е4 – лентоперематывающий механизм;
Е5 – корпус;
Е6 – система фокусировки;
Е7 – система управления;
Е8 – экспозиционное устройство.
4.Выделяем объекты окружающей среды.
V1 – светочувствительный материал (фотопленка);
V2 – свет;
V3 – объект окружающей среды;
V4 – человек.
5.Описываем функции выделенных элементов.
| П/н | Наименование ФЭ. | Обозначение ФЭ. | Обозначение функции | Описание функции |
| 1 | Объектив | Е1 | F1 | Создает оптическоеизображение объекта на фотопленке. |
| 2 | Затвор | Е2 | F2 | Обеспечивает необхо-димое время экспони-рования. |
| 3 | Диафрагма | Е3 | F3 | Регулирует количество света. |
| 4 | Лентоперема-тывающиймеханизм | | | Перематывает фото-пленку на нужнуюпозицию. |
| 5 | Корпус | Е5 | F5 | Защищает и объединяетвсе элементы фотоап-парата. |
| 6 | Система фокусировки | Е6 | F6 | Фокусирует свет на фотопленку. |
| 7 | Система управления | Е7 | F7 | Управляет затвором идиафрагмой. |
| 8 | Экспозицион-ное устройство | Е8 | F8 | Регулирует время проникновения света. |
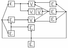
6.Строим конструктивную функциональную структуру, которая описывает функциональную взаимосвязь между элементами.
7.Выделяем основные и вспомогательные потоки.
С
вет
Механическая энергия
Информация
8.Проводим описание физических операций выделенных элементов.
Физическая операция – это общее описание функционирования каждого элемента.
Q = {A, E, C }
| № | Наименование ФЭ и О.о.с. | А | С | Е | Физический закон или эффект | № источ ника | № прием ника |
| 1 | Фотопленка V1 | свет | кадр | сбор и накопле ние | потемнение | 6 | |
| 2 | Свет V2 | ||||||
| 3 | Объект V3 | свет | свет | излуче- ние | отражение | 2 | 5 |
| 4 | Человек V4 | инфор мация | мех. энерг. | 12 | 11 | ||
| 5 | Объектив Е1 | свет | свет | проводи мость | преломление | 3 | 7 |
| 6 | Затвор Е2 | мех.эн. свет. | свет | проводи мость | 7 | 1 | |
| 7 | Диафрагма Е3 | свет | свет | проводи мость | 5 | 6 | |
| 8 | Лентоперемат. механизм Е4 | мех.эн. | мех.эн. | воздействие | 4 | 1 | |
| 9 | Корпус Е5 | мех.эн. | мех.эн. | проведе ние. | объединение | 4 | |
| 10 | Система фоку-сировки Е6 | мех.эн. свет | мех.эн. | сбор. | фокусирует свет | 4 5 | 5 |
| 11 | Система управ ления Е7 | мех.эн. | мех.эн. | вохдействие | 4 | 6,7 | |
| 12 | Экспозицион. устройство Е8 | свет | инфор мация | преобра зование | 5 | 4 |
9.Строим потоковую функциональную структуру, которая описывает физическую взаимосвязь.
10.Проводим описание физического принципа действия.
Описание физического принципа действия производится на основе ПФС и поэтому ПФС и физический принцип действия могут быть совмещены.
Принцип историзма.
Принцип историзма в ФФА – это история возникновения потребности и различные способы реализации этой потребности раньше, сегодня, а также возможны способы реализации потребности в будущем.
Использование принципа историзма сводится к иерархической матрице удовлетворения потребности.
Иерархическая матрица удовлетворения потребности.
Потребность: получение изображения объекта окружающей среды.
Эту потребность определяют следующие физические операции:
-
Рисование.
-
Фотографирование.
Технические решения:
-
уголь, карандаш, ручка, краски
-
камера обскура, механический фотоаппарат, электронный фотоаппарат, фотоаппарат с автоматической настройкой,
цифровой фотоаппарат.
Иерархическая матрица удовлетворения потребности.
Наличие закономерностей развития.
Закономерность стадийного развития
В процессе развития человек передает свои функции техническому объекту.
Основные функции человека:
-
Технологическая (Т)
-
Энергетическая (Э)
-
Управленческая (У)
-
Планирующая (П)
| 0 | 1 | 2 | 3 | 4 | |
| Человек | ТЭУП | ЭУП | УП | П | - |
Фотоаппарат | - | Т | ТЭ | ТЭУ | ТЭУП |
Я считаю, что фотоаппарат «Зенит» находится на 1 стадии развития, потому что человек управляет фотоаппаратом, воздействует на него (механическая энергия) и планирует его действия.
Аппроксимация значений разрешающей способности
объективов.
| Годы | Разрешающая способность |
| 1749 | 10 |
| 1862 | 18 |
| 1870 | 20 |
| 1880 | 22 |
| 1891 | 30 |
| 1895 | 45 |
| 1900 | 58 |
| 1906 | 70 |
| 1912 | 85 |
| 1918 | 96 |
| 1933 | 104 |
| 1940 | 110 |
| 1969 | 117 |
| 1982 | 119 |
| 1995 | 120 |
Графический вид:
Характеристики
Тип файла документ
Документы такого типа открываются такими программами, как Microsoft Office Word на компьютерах Windows, Apple Pages на компьютерах Mac, Open Office - бесплатная альтернатива на различных платформах, в том числе Linux. Наиболее простым и современным решением будут Google документы, так как открываются онлайн без скачивания прямо в браузере на любой платформе. Существуют российские качественные аналоги, например от Яндекса.
Будьте внимательны на мобильных устройствах, так как там используются упрощённый функционал даже в официальном приложении от Microsoft, поэтому для просмотра скачивайте PDF-версию. А если нужно редактировать файл, то используйте оригинальный файл.
Файлы такого типа обычно разбиты на страницы, а текст может быть форматированным (жирный, курсив, выбор шрифта, таблицы и т.п.), а также в него можно добавлять изображения. Формат идеально подходит для рефератов, докладов и РПЗ курсовых проектов, которые необходимо распечатать. Кстати перед печатью также сохраняйте файл в PDF, так как принтер может начудить со шрифтами.














