8144-1 (755719)
Текст из файла
Разум и Вселенная
Анатолий Рыков
Смысловые сущности в названии статьи можно смело менять местами, так как никто сейчас не сможет ответственно утверждать – что первично и что вторично. Многие из нас задумывались: в чем состоит смысл жизни? Отчего мир устроен как игрушка? Вокруг круглого Солнца вращаются круглые планеты и на одной из них процветает всякая жизнь, в том числе – разумная. Для чего все это, кому это надо?
Попробуем прояснить ответ на эти вопросы. Перед окнами дома мы с Валентиной посадили флоксы. В первый год они пышно расцвели и практически немедленно были срезаны каким-то влюбленным. На следующий год произошло невероятное: цветок начал распускаться не весь, а по одной веточке. Веточка несколько дней радовала глаза прохожих. Но и она была сорвана. Расцвела следующая веточка. И с ней повторилась та же история. И сейчас, осенью, в холодную погоду расцвела очередная веточка. О чем это говорит? Флоксы изменили тактику в процессе выращивания семян с единственной целью – дать потомство, продолжить жизнь.
Ближайший смысл жизни – в ее продолжении! Все живущее на Земле подчиняется этому простому закону. Здесь нет открытия – это давно известно всем думающим людям. Но для чего это нужно?
На этот вопрос попытаемся ответить прежде всего решением вопроса: где мы живем? Мы живем в нашей Вселенной, в которой есть галактики, звезды, планеты. Не так давно отдельные ученые (в нашей стране известный астрофизик Шкловский) утверждали, что Земля – единственная планета во Вселенной, способная дать разумную жизнь. Нелепость этого утверждения очевидна. Уже сейчас установлено, что у наблюдаемых близких звезд есть планетные системы. Проводятся интенсивные исследования наличия признаков простейших видов жизни вообще в космосе, в метеоритах в частности. Признаки жизни обнаружены в метеоритах, прибывших к нам с Марса. Создаются космические аппараты с приборами, способными обнаружить признаки и саму жизнь на других объектах космоса. Дело идет к тому, что жизнь может оказаться столь же распространенной во Вселенной, как и в Солнечной системе.
Итак, мы живем во Вселенной. Опишем кратко самые общие черты нашей Вселенной и ее предполагаемое развитие. Описание основано на концепции, изложенной в статьях «Мир, в котором мы живем», «Реабилитация Вселенной», «Причина магнитного поля Земли». В данной статье придется более подробно остановиться на простейших формулах, доступных для школы.
В науке складывается мнение, что современная физика или уже зашла в тупик, или в него входит. Кризис физики наступает тогда, когда она перестает давать практические результаты, применимые в технологиях энергетики и производства, в развитии военной техники. Последние значительные достижения физики в этих приложениях были получены в середине века. Ими стали открытие атомной и термоядерной энергий. Кризис физики характеризуется тем, что ее теории застыли и перестали развиваться.
Сейчас становится все более модным обвинять во всем теорию А.Эйнштейна. Но он не виноват! Виноваты его «твердолобые» последователи, очарованные экспериментальными подтверждениями теории. Его теория основана на достижениях физики и математики начала века: эфира нет, разработана матричная математика, есть фотон, производящий фотоэффект и участвующий в других явлениях. Матричная математика взята на вооружение Эйнштейном при описании пустого пространства плюс время. В столбцы и строки матрицы пространства он вставил метрику пространства (координаты и время), гравитацию по Ньютону и другие дополнительные члены. Решение матриц, не смотря на внешнюю простоту записи, не простое и связано с рядом условий.
Одним из первых, кто получил одно из решений, был участник 1-й мировой войны, астроном, немец Карл Шварцшильд. Эйнштейн был рад услышать о его решении своих уравнений, но был озадачен результатом. Результат был необычный: во Вселенной могут существовать объекты с невероятной плотностью материи. Их назвали «черными дырами». Они должны поглощать с помощью гравитации близко расположенные космические объекты и не выпускать из своих объятий даже свет – черные дыры не видимы!
Нами был взят радиус черной дыры по Шварцшильду:
Mbh – масса черной дыры (по-английски "black hole"), все остальные параметры являются параметрами эфира в нашей концепции.
ρmax – максимальная плотность шара черной дыры.
Читатель видит, что между решением уравнений Эйнштейна и параметрами эфира нет противоречий. Эйнштейн под конец своей жизни высказывал сожаление о том, что отказался в своей работе от эфира. Однако это его замечание не было учтено его последователями.
Подставляя известные параметры эфира, получим зависимость максимальной плотности от радиуса объекта, если массу представить через гравитационный электрический заряд:
Выдвинем гипотезу, что эта формула справедлива для Вселенной в целом, т.е. она является черной дырой. Какие основания есть для этой гипотезы?
1. Представления Эйнштейна о замкнутости пространства Вселенной.
2. Расчет средней плотности Вселенной по этой формуле совпадает с оценкой современной релятивистской теорией гравитации (РТГ).
Зная радиус наблюдаемой Вселенной как Rg ≈ 1026 м, можем рассчитать полный электрический заряд Вселенной:
кулон.
Обратным переходом можно легко оценить среднюю плотность материи для Вселенной, она получается равной 1,608·10–29 г/см3 (по РТГ 10–29 г/см3), что примерно в 32 раза превышает расчетную критическую плотность Вселенной, полученную в современной космологии. Это означает, что наша Вселенная замкнута и есть вероятность ее сжатия в будущем.
3. Вторая космическая скорость для Вселенной превосходит скорость света, т.е. Вселенная как и любая черная дыра не выпускает из своих объятий ни материю, ни свет.
Покажем это расчетами. Получим формулу для оценки радиуса подобного объекта из равенства кинетической и потенциальной энергий при удалении «пробного» тела с поверхности объекта на бесконечное расстояние:
Rg = 2EσQ/V2 = 9,988·1025 ≈ 1026 м
Здесь Eσ = 0,7744 – один из 7 производных параметров эфира, V = c = 3·108 м/с – скорость света. Имеем, что размер Вселенной удовлетворяет одному из условий существования черной дыры. Вышеприведенное равенство тождественно радиусу Шварцшильда по теории Эйнштейна!
4. Ниже будет показано одно удивительное совпадение расчетов для Солнечной системы.
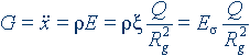
Так как Вселенная имеет заряд, то, согласно закону Кулона, она должна испытывать электрическое самоотталкивание. Оно проявляется в расширении Вселенной. Рассчитаем ускорение расширения G:
Мы опять видим коэффициентом параметр эфира Eσ. Полученная формула годится не только для Вселенной, но для любого космического объекта. Ниже приведена таблица данных для Солнечной системы. В 3-м столбце даны ускорения отталкивания в объеме планет, рассчитанные по приведенной выше формуле, в 4-м столбце приведены ускорения силы тяжести для планет от Солнца.
| № | Планета | Ускорение отталкивания на планете G, мс–2 | Ускорение Солнца gs в точке планеты, мс–2 | Отношение gs/G |
| 1 | Меркурий | –0,0022 | 0,0395 | 17,6818 |
| 2 | Венера | –0,0056 | 0,0113 | 2,0179 |
| 3 | Земля | –0,0057 | 0,0059 (среднее) | 1,0351 |
| 4 | Марс | –0,0030 | 0,0026 | 0,8667 |
| 5 | Юпитер | –0,0641 | 0,00021885 | 0,0034 |
| 6 | Сатурн | –0,0535 | 0,000065077 | 0,0012 |
| 7 | Уран | –0,0231 | 0,000016085 | 0,00069632 |
| 8 | Нептун | –0,0224 | 0,0000065515 | 0,00029248 |
Получаем загадочные и удивительные данные. Обратите внимание, что для Земли ускорение отталкивания почти равно средней величине ускорения силы тяжести Солнца на Земле. А если взять самую удаленную точку орбиты Земли (афелий), то вообще в столбце 4 будет величина точно 0,0057! Т.е. в афелии Земли ее отталкивание равно точно притяжению Солнца. Загадка! Вряд ли это совпадение случайно. Отсюда следуют два вывода:
четвертое подтверждение правильности сделанной гипотезы, что наша Вселенная является черной дырой;
Земля занимает особое положение в Солнечной системе, которое определяет, вероятно, самые благоприятные условия для жизни и жизни разумной.
Дальнейшие расчеты по формуле показывают, что при размерах нашей Вселенной, равных галактике Млечного пути, кулоновское отталкивание будет достаточным для взрывного характера «возникновения» Вселенной. В этом отношении изложенная концепция более реалистична, чем современная космология, исходящая из математического описания Большого Взрыва, породившего Вселенную из математической точки.
Расчет ускорения расширения Вселенной по приведенной формуле показывает, что в настоящее время она практически перестала расширяться и готова к коллапсу, т.е. к сжатию в первоначальное состояние до Большого Взрыва.
Какая уготована судьба разуму и жизни в условиях описанных свойств и развития Вселенной? Рождение Вселенной произошло в акте мощного взрыва (огромного ускорения кулоновского отталкивания). Смерть ожидается от коллапса. Новая жизнь может быть начата от семени, выращенного самой Вселенной – разума! Вот для чего мы живем, исполняя первичный закон: продолжение жизни. Здесь вступаем в область знаний «сумеречной зоны», которая пока скрыта от нас, но изредка проявляется в форме явлений, которые названы очень неудачно «парапсихологией». Термин просто вызывает невольное отторжение, наподобие термина «эфир» для современной физики. Забудем название. Попробуем проникнуть в сумеречную зону с помощью откровенной фантазии, ибо прямых, инструментально измеренных, опытных фактов нет. Хотя в этом направлении многими прилагаются усилия.
Жизнь есть повсюду в космосе. Земля является чрезвычайно малым модельным слепком присутствующего (вероятно) в космосе общего принципа существования и развития жизни как носительницы разума. Воспользуемся земной моделью. Легко видеть, что условия жизни на Земле варьируются от самых благоприятных (райских) в тропиках, на островах теплых морских просторов до жесточайших высоких широт. Между ними расположены умеренные пояса. И что видим? Крайние зоны не способствуют развитию разума по причине либо слишком комфортных, либо слишком жестких условий. Интеллектуальная работа наиболее интенсивно идет в средней зоне. Однако, для оптимального развития разума необходимы жесткие внутренние противоречия – иначе развитие к высшим формам разума остановится. Отсюда нескончаемые конфликты, кровавые войны, болезни и т.п. Так и в космосе существуют подобные «требования» для успешного выращивания разума, космического разума. Цель одна: взрастить разум, способный дать новый толчок к новому Большому Взрыву новой Вселенной после коллапса старой.
Для объединения разума в космическом масштабе имеется среда – эфир. Он всепроникающий и всеобъемлющий, способный к накоплению невероятного объема информации. Достаточно тонкий, что бы в нем «растворялся» разум всех живых существ и, что особенно ценно для Вселенной, интеллектуальных существ. В Природе ничего не пропадает даром и каждая душа, как продукт работы головного мозга, идет в «копилку» вселенского разума. Перед ним еще не один миллиард лет развития и совершенствования для выполнения миссии по продлению жизни, к новому Большому Взрыву. Поколение новой Вселенной будет почитать предшествующий разум как Бога.
Список литературы
Для подготовки данной работы были использованы материалы с сайта http://www.n-t.org/
Характеристики
Тип файла документ
Документы такого типа открываются такими программами, как Microsoft Office Word на компьютерах Windows, Apple Pages на компьютерах Mac, Open Office - бесплатная альтернатива на различных платформах, в том числе Linux. Наиболее простым и современным решением будут Google документы, так как открываются онлайн без скачивания прямо в браузере на любой платформе. Существуют российские качественные аналоги, например от Яндекса.
Будьте внимательны на мобильных устройствах, так как там используются упрощённый функционал даже в официальном приложении от Microsoft, поэтому для просмотра скачивайте PDF-версию. А если нужно редактировать файл, то используйте оригинальный файл.
Файлы такого типа обычно разбиты на страницы, а текст может быть форматированным (жирный, курсив, выбор шрифта, таблицы и т.п.), а также в него можно добавлять изображения. Формат идеально подходит для рефератов, докладов и РПЗ курсовых проектов, которые необходимо распечатать. Кстати перед печатью также сохраняйте файл в PDF, так как принтер может начудить со шрифтами.















