12089 (749510)
Текст из файла
Реакция Байера-Виллигера
Реакция Байера, перегруппировка Байера-Виллигера, окисление кетонов и альдегидов действием Н2О2, HOSO2OOH или орг. надкислот, приводящее к образованию сложных эфиров, лактонов или к-т:
Р-цию осуществляют в полярных орг. р-рителях, обычно при 10-40°С (часто процесс экзотермичен). Катализаторы -к- ты.
Легкость миграции R' в кетонах уменьшается в ряду: о- и n-гидроксифенил > n-метоксифенил > Н > циклогептил > циклогексил > циклопентил > фенил > > изо-алкил > н-алкил > метил, n-хлорфенил > > n-нитрофенил. Конфигурация мигрирующей группы в р-ции не меняется.
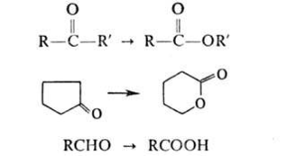
Алициклич. кетоны при проведении р-ции в присут. эта-нола образуют этиловые эфиры
гидроксикиспот:
где п= 1-14. Дикетоны превращ. в ангидриды карбоновых к-т,
,
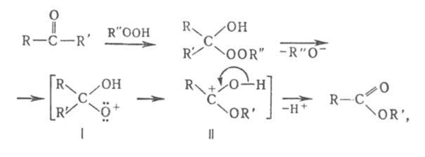
ненасыщенные кетоны-в эфиры енолов. Гетероциклич. кетоны в р-цию не вступают. Считается, что механизм Б. - В. р. - ионный:
где R" = Н, SO3H или ацил. Перегруппировка I в II осуществляется по секстетному механизму (у промежут. соед. II на атоме С находится секстет электронов). Р-ция открыта А. Байером и В. Виллигером в 1899.
Список литературы
Хасселл Ч. X., в сб.: Органические реакции, пер. с англ., сб. 9, М., 1959, с. 82-124;
Белов В. Н., Хейфец Л.А., Вирезуб С. И., в кн.: Реакции и методы исследования органических соединений, кн. 10, М., 1961, с. 7-208.
Для подготовки данной работы были использованы материалы с сайта http://www.xumuk.ru/
Характеристики
Тип файла документ
Документы такого типа открываются такими программами, как Microsoft Office Word на компьютерах Windows, Apple Pages на компьютерах Mac, Open Office - бесплатная альтернатива на различных платформах, в том числе Linux. Наиболее простым и современным решением будут Google документы, так как открываются онлайн без скачивания прямо в браузере на любой платформе. Существуют российские качественные аналоги, например от Яндекса.
Будьте внимательны на мобильных устройствах, так как там используются упрощённый функционал даже в официальном приложении от Microsoft, поэтому для просмотра скачивайте PDF-версию. А если нужно редактировать файл, то используйте оригинальный файл.
Файлы такого типа обычно разбиты на страницы, а текст может быть форматированным (жирный, курсив, выбор шрифта, таблицы и т.п.), а также в него можно добавлять изображения. Формат идеально подходит для рефератов, докладов и РПЗ курсовых проектов, которые необходимо распечатать. Кстати перед печатью также сохраняйте файл в PDF, так как принтер может начудить со шрифтами.















