183341 (743450), страница 4
Текст из файла (страница 4)
Т.к.
неизмеримо, регрессия, которой действительно следует данный подход, – это замена реального значения переменной у в будущем в терминах новостей в уравнении (3.1):
Используя уравнение (2.2), получаем
. Т.к. vt коррелированна с регрессором в уравнении (3.2), оценивание данного уравнения приведет к ошибочным выводам о а1 и оценочным свойствам ut.
Применение экономического дублирующего портфеля в данном вопросе – это построение регрессии тестируемого актива на дублирующий портфель для новостей и отслеживаемой переменной для ожидаемой доходности. Т.е. экономический дублирующий портфель, являющийся аналогом уравнения (3.2), выглядит следующим образом:
(3.3)
где b определяется из уравнения (2.5).
Очевидно и соотношение между этими двумя подходами: уравнение (3.3) является не чем иным как оцениванием уравнения (3.2) с использованием инструментальной переменной, где в качестве инструмента выступает
.
В уравнении (2.5), хорошим инструментом является что-либо, одновременно коррелированное с
и некоррелированное с vt. Доходность дублирующего портфеля удовлетворяет первому критерию, т.к. коррелированна с исследуемым объектом. Частично также эта доходность удовлетворяет и второму критерию, т.к. она некоррелирована с
. К сожалению, доходность дублирующего портфеля не является абсолютно подходящей инструментальной переменной, т.к. возможна корреляция с
.
может коррелировать с
, потому что обе составляющие извлекаются из доходности активов и могут отражать общую вариацию доходности, которая некоррелирована с новостями о состоянии исследуемого объекта.
3.3 Применение векторной авторегрессии
Данное направление в исследовании факторов, влияющих на доходность активов представлено серией работ (на пример Campbell (1991), Cambell и Ammer (1993), Campbell и Mei (1993)). Как и в первом подходе, используются непредсказанные изменения в текущих значениях переменных для объяснения текущих доходностей активов. Аналогично второму подходу, данное направление сосредоточено на том, как изменения ожиданий будущих значений экономических параметров влияют на доходность. Качественно новым здесь является применение векторной авторегрессии (VAR) для оценивания изменения в прогнозируемых будущих переменных и использование оценок изменений в прогнозировании доходности активов.
Кэмпбелл для объяснения поведения доходности использует текущие значения различных экономических переменных. Он применяет как доходность прогнозируемых переменных, так и значения этих переменных (в качестве таких переменных взяты уровень инфляции, ставка процента, трудовой доход и будущая доходность); а затем тестирует являются ли непредвиденные изменения в данных переменных факторами доходности активов.
Процедура векторной авторегрессии для определения влияния факторов представляет собой специальную динамическую модель, включающую все переменные системы. Это требование приводит к потенциально возможной неправильной спецификации модели. В то время как применение дублирующих портфелей позволяет выбирать данные прямо из уравнения регрессии без необходимости обращения к полному описанию процесса, генерирующих временные ряды.
4 ХАРАКТЕРИСТИКА И ОТБОР ФАКТОРОВ В МОДЕЛЬ
4.1 Отбор факторов для построения дублирующего портфеля
Проблема выявления того, какие факторы наилучшим образом отражают систематическую часть ковариации доходностей, является центральной в применении мультифакторной модели ценообразования активов.
Популярность факторных моделей возросла вместе с развитием с индустрии инвестиций. Они широко применяются для оптимизации портфельного риска.
Центральным практическим вопросом является, какие факторы являются наиболее подходящими для объяснения общих изменений в доходностях. Одним из пунктов составления дублирующего портфеля для прогнозирования должно быть нахождение набора факторов, которые отражают систематическую компоненту ковариации доходности ценных бумаг. Это поможет использовать в данной модели только те факторы, которые действительно взаимосвязаны с доходностью рынка.
Каждый из рассматриваемых факторов – это доходность нулевой инвестиционной стратегии: длинная позиция, если актив имеет высокое значение параметра (на пример, рыночная капитализация), и короткая позиция при низком значении параметра. Варьируя данный параметр, можно отслеживать поведение различных факторов. Объяснение поведение доходности дублирующего портфеля помогает оценить и интерпретировать факторы, лежащие в основе этого портфеля. Если дублирующий портфель показывает большую волатильность доходности, то это связано с тем, что исследуемый фактор вносит свой вклад в общий компонент динамики доходности. Исследуя как доходность дублирующего портфеля изменяется в разных состояниях природы, можно делать выводы как фактор влияет на риск пи доходность портфеля. И, наконец, во многих случаях доходность портфеля напрямую связана со стилем инвестирования.
Факторы, которые лежат в основе общей динамики доходностей, обычно соотносятся с факторами, объясняющими поведение ожидаемой доходности. К тому же факторы могут и объяснять общую динамику доходности, но быть неценовыми. Хоти неценовые факторы не определяют среднюю доходность, они все-таки важны для инвесторов, желающих контролировать портфельный риск. Это предполагает, что постфактум для небольших объемов инвестиций не зарабатывается премия за риск.
Список факторов-кандидатов может быть достаточно большим, поэтому это требует процесса тщательного отбора. Одним из методов данного отбора является выявление принципиальных составляющих из данных и применение формальных статистических тестов для ранжирования значимости факторов. Это не является предпочтительным методом по нескольким причинам. В то время как эти факторы хорошо работают на конкретных примерах, при попытках применить данных выводы на общей основе возникают затруднения. Еще более важно причиной является то, что для этих статистических факторов нет экономической интерпретации. Следовательно, статистические факторы не могут широко применяться исследователями и инвесторами.
Напротив, можно сопоставить различные предполагаемые факторы в едином составе и выбрать наиболее значимые. Тут тоже есть свои подводные камни. Во многих случаях переменные достаточно сильно коррелированны между собой и это делает любой анализ их воздействия на исследуемый объект нереальным. Другой проблемой является возможность включения слишком большого количества факторов. Когда в модели используется много факторов, уловить динамику результирующей переменной проще не конкретном примере, но эти выводы нельзя распространиться на совокупность вообще.
Принимая к сведению выше изложенное, предпочтительным подходом является оценивание каждого фактора в отдельности. Если брать переменные по отдельности, фактор может оказаться незначимым, но возможно предположить, что он окажется значимым при оценивании этого фактора в совокупности с другими. К данному фактору следует отнестись с некоторой оговоркой, т.е. при проверке точности полученных результатов следует проверить также робастность многофакторной модели.
Факторы, влияющие на доходность ценных бумаг (акций), Chan, Karceski и Lakonishok (1998) разделили на 5 групп:
-
внутренние факторы компании (фундаментальные факторы);
-
прошлые доходности (технические факторы);
-
макроэкономические переменные (макроэкономические факторы);
-
факторы, извлекаемые из принципиальных компонент анализа (статистические факторы);
-
доходность рыночного индекса (рыночный фактор).
Эти авторы пришли к выводу, что макроэкономические факторы влияют только на среднюю динамику доходности. Но как было показано выше при конструировании дублирующих портфелей для новостей можно избежать некоторых ошибок спецификации и выявить влияние макроэкономических детерминант на рынок.
Chen, Roll и Ross (1986) в совей работе исследовали влияние только макроэкономических факторов на доходность активов. Применительно к американскому фондовому рынку были исследованы следующие факторы:
-
уровень промышленного производства IP(t), за месяц MP(t), за год YP(t):
-
уровень инфляции
(4.3)
где I(t) – реализованное значение инфляции за месяц как разница в логарифмах индекса потребительских цен.
-
премия за риск
-
временная структура облигаций
-
рыночные индексы (доходность индексов)
-
потребление
-
цены на нефть
Применительно к российскому рынку данную структуру можно сохранить неизменной, за исключением соответственно того, что в качестве государственных ценных бумаг будут рассматриваться ГКО, ОФЗ и Еврооблигации. Еврооблигации на российском рынке можно также рассматривать как безрисковый инструмент, т.к. в отличии от государственных облигаций, номинированных в национальной валюте, доходность еврооблигаций колеблется меньше и соответственно они имеет меньшую премия за риск.
Пожалуй, наиболее острой проблемой, возникающей перед специалистами по факторному анализу, является подбор четких и ясных критериев, позволяющих отсеять малозначимые факторы, повышающие размерность модели без увеличения ее точности, и при этом правильно определить вес для остальных факторов. Доказательством важности этого вопроса, а также отсутствия однозначно оптимальных решений, является изобилие всевозможных критериев отбора значимых компонент. Достаточно назвать такие известные методы, как расчет варимакс-критерия, n-критерий, отбор при помощи t-критерия Стьюдента и т.п.
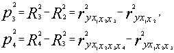
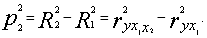
Очевидно, что вводить в модель очередной фактор целесообразно только в том случае, если он в достаточной степени понижает уровень энтропии, а следовательно, увеличивает значение R-квадрат. Каким образом численно выразить прирост данной величины в зависимости от количества вводимых факторов? Рассмотрим эту проблему в свете коэффициентов последовательной детерминации.
Пусть имеются N факторов X1...XN, предположительно влияющих на доходность инвестиционного портфеля. При вводе в уравнение регрессии фактора Xi показатель R-квадрат принимает некоторое определенное значение. Выберем фактор, при котором оно будет наибольшим:
(4.4)
где P12 - коэффициент последовательной детерминации для данного фактора,
ryx1 - парный коэффициент корреляции между доходностью и этим фактором.
Теперь вводится в полученное уравнение регрессии второй фактор таким образом, чтобы значение R-квадрат снова оказалось максимально возможным, и затем рассчитываем второй коэффициент последовательной детерминации:
(4.5)
Аналогичным образом рассчитываем следующие коэффициенты:
и т.д.
Базовый отбор факторов продолжается до тех пор, пока величина получаемых коэффициентов последовательной детерминации не станет меньше некоторого критического значения. Учитывая, что в механизм расчета скорректированной величины R-квадрат входит поправка на возрастание энтропии при вводе новых факторов, ее прирост на каждой итерации алгоритма должен быть положительным и, следовательно, критическое значение p должно быть больше нуля.















