PDA-0577 (743425)
Текст из файла
4
Реферат №4
по Экономико-Математическому Моделированию
Студент группыМ-2-4 Иванников Сергей | Научный руководительБабешко Л.О. |
Москва 1996
Вариант №8
Односторонняя модель Эрроу-Гурвица
Здесь будет рассмотрена модель, в которой в виде участвующих субъектов участвуют:
1.
Два предприятия, использующие один и тот же ресурс (труд L) и производящие один и тот же вид продукции Y.
Производственная функция здесь имеет вид:
- спрос на труд со стороны предприятия i
- параметры производственной функции.
2.
Функция полезности с точки зрения потребителей имеет вид:
Потребители стремятся максимизировать функцию полезности, производители - функцию прибыли, выражаемую следующей формулой:
где
- цена производимого продукта
- объем выпуска фирмы i
- цена ресурса (труда)
В модели рассматривается рынок совершенной (абсолютной) конкуренции.
Исходные данные модели Эрроу-Гурвица
-
- предложение труда -
- параметры функции полезности и производственной функции
Реакция предприятия на цены
Б.
- размер предложения продукта
Реакция потребителей на цены
Потребитель определяет объем спроса пропорционально разнице между предельной полезностью и предельными затратами:
- коэффициент пропорциональности, ускоряющий процесс сходимости итераций.
Корректировка цен:
если
, то цены не меняются - система в состоянии равновесия
Практический пример
Исходные данные модели Эрроу-Гурвица
Необходимо определить состояние равновесия с точностью 1,5
Реакция предприятия на цены
Реакция потребителя на цены
Равновесие не достигнуто, так как избыточный спрос спревышает требуемую величину в 1,5. Цена возрастает.
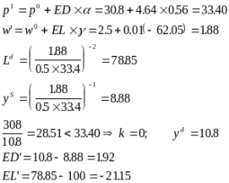
Проведем интерацию №1
Равновесие не достигнуто
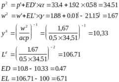
Проведем интерацию №2
- равновесие достигнуто с заданной точностью
Результат:
| Интерации | P | W | Ld | yS | yd | ED |
| - | 30.8 | 2.5 | 37.95 | 6.16 | 10.8 | 4.64 |
| 1 | 33.4 | 1.88 | 78.85 | 8.88 | 10.8 | 1.92 |
| 2 | 34.51 | 1.67 | 106.71 | 10.33 | 10.8 | 0.47 |
Равновесие было достигнуто после проведения второй интерации.
В работе использовались лекции по ЭММ доцента Л.О.Бабешко
Характеристики
Тип файла документ
Документы такого типа открываются такими программами, как Microsoft Office Word на компьютерах Windows, Apple Pages на компьютерах Mac, Open Office - бесплатная альтернатива на различных платформах, в том числе Linux. Наиболее простым и современным решением будут Google документы, так как открываются онлайн без скачивания прямо в браузере на любой платформе. Существуют российские качественные аналоги, например от Яндекса.
Будьте внимательны на мобильных устройствах, так как там используются упрощённый функционал даже в официальном приложении от Microsoft, поэтому для просмотра скачивайте PDF-версию. А если нужно редактировать файл, то используйте оригинальный файл.
Файлы такого типа обычно разбиты на страницы, а текст может быть форматированным (жирный, курсив, выбор шрифта, таблицы и т.п.), а также в него можно добавлять изображения. Формат идеально подходит для рефератов, докладов и РПЗ курсовых проектов, которые необходимо распечатать. Кстати перед печатью также сохраняйте файл в PDF, так как принтер может начудить со шрифтами.















