28188-1 (741088)
Текст из файла
Переработка ТПО** и ТБО после проведения сепарации ТБО по группам
Таким образом, после проведения глубокой сепарации ТБО по фракциям, мы можем получить, как уже упоминалось, следующие виды сырья по данным С. Алексеева (1) за год (в среднем):
-
Смесь пищевых природных материалов (овощные очистки, остатки пищи, кости и т.п. - гниющие пищевые отходы - 59 400 т.
-
Целлюлозное волокно (картон, бумага) - 29 700 т.
-
Древесина - 1 350 т.
-
Стекло - 12 150 т.
-
Железо - 10 800 т.
-
Пластические массы - 6 750 т.
Первые два вида сырья: смесь пищевых природных материалов (гниющие пищевые отходы) и целлюлозное волокно (точнее смесь бумаги и картона) - это главные составные части - основное сырье для получения биомассы-компоста, экологически чистого природного органического удобрения для всех видов почвы.
Отходы древесины могут быть переработаны по нескольким вариантам. Если есть соответствующее оборудование, то следует получать ДСП, ДВП материалы по технологиям, изложенным ранее. Если такого оборудования нет, с учетом всех конкретных технико-экономических соображений, можно и нужно древесные отходы после дробления до определенной величины смешивать с первыми двумя видами отходов, т.е. с пищевыми отходами и с дробленым целлюлозным волокном (целлюлозно-бумажные и картонные отходы) и способом экологической биотехнологии получать биомассу-компост по ниже излагаемому способу.
Целлюлозное волокно, точнее картон и бумагу, представляющие собой один из видов твердых промышленных отходов**, как более чистые целлюлозосодержащие компоненты разумеется следует перерабатывать химико-технологическим способом в различные товарные продукты: натрийкарбокметилцеллюлозу (NaКМЦ), микрокристаллическую целлюлозу (МКЦ) и т.п., но только в том случае, если пригодность технического образца целлюлозного материала (имеется в виду усредненный показатель) к данной химико-технологической переработке дает технически приемлемую реакционную способность этого материала (см. работу (24) стр. 6-7). Если при технологическом опробовании к данной конкретной химико-технологической переработке данный образец целлюлозного материала дает технически неприемлемую реакционную способность (например, значительную мутность, высокое содержание гелеобразных частиц, слабая адгезионная способность для Na-КМЦ), то такой целлюлозный материал, естественно, целесообразнее перерабатывать способом экологической биотехнологии в биомассу вместе с дроблеными отходами древесины и с гниющими пищевыми отходами. Чем же можно объяснить низкую технически неприемлемую реакционную способность целлюлозного материала? Прежде всего наличием большого количества примесей, лигнина и других природных поли- и олигомерных химических спутников. Точно также и отходы древесины, содержащие большое количество лигнина и других природных продуктов не позволят получить даже низкокачественные продукты - Na-КМЦ, МКЦ, оксиэтилцеллюлозу, оксипропил-целлюлозу, метилцеллюлозу, а также многие другие производные целлюлозы в зависимости от реальных конкретных условий и от условий рынка.
Из опыта работы зарубежных фирм известно, что для того, чтобы удержаться на плаву в условиях резко меняющейся рыночной экономики, необходимо выпускать очень широкий ассортимент ценных товарных продуктов и работать так, чтобы можно было без существенных материальных затрат переключаться с одного вида выпускаемого продукта на другой в тех же условиях и зачастую на том же оборудовании. Естественно, необходимо иметь возможность приобретать без убытков сырье, и иметь скажем основной вид сырья - целлюлозный материал стабильно.
Итак, рассмотрим в деталях экологическую биотехнологию переработки значительной части ТБО (порядка по данным С. Алексеева (1) для средних городов РФ ~67% от общей массы поступающих за год) и части ТПО ряда промышленных предприятий.
5.1. Переработка пищевых отходов, целлюлозно-бумажных, картонных и древесных отходов способом экологической биотехнологии
В состав данной фракции ТБО входят все природные материалы, представляющие собой следующие вещества:
-
Высокомолекулярные полисахариды (целлюлоза (клетчатка), главная составная часть высших растений Planta, содержащаяся в целлюлозно-бумажных, картонных и древесных отходах и ее спутники: амилоза и амилопектин, содержащиеся во многих пищевых отходах растительного происхождения).
-
Олигомерные мономерные природные вещества растительного происхождения.
-
Лигнин - сложное органическое вещество ароматического ряда, содержащееся в древесине и в тканях других высших растений, в целлюлозно-бумажных и картонных отходах, не растворимое в воде, щелочах, кислотах, органических растворителях.
-
Некоторое небольшое количество белков, содержащихся в костях и в других отходах животного происхождения тоже высокомолекулярных соединений, построенных из аминокислот (белок - важнейшее вещество живой клетки, выполняющее многообразные функции).
Итак, в состав сырья для получения экологически чистого природного органического удобрения, которое во всем мире используется для любых видов почвы входят все вышеназванные компоненты, которые можно изобразить в следующем виде:
-
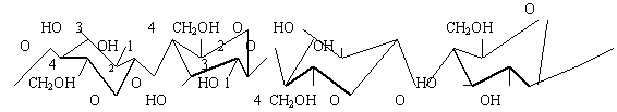
Полисахарид целлюлоза по К.С. Минскеру и др. (2)
-
Белок по А.А. Петрову и др. (3) является сложным высокомолекулярным органическим природным соединением, построенным из остатков аминокислот, соединенных амидными связями, содержит отдельные пептидные звенья , отличающиеся боковыми группами ( R ):
-
Спутники целлюлозы, пентозаны, пектиновые вещества и другие полисахариды (5).
-
Различные омегомерные сахариды, содержащиеся в растительных материалах, а также моносахариды (монозы): пентозы C5H10O5 и гексозы C6H12O6.
-
Лигнин, представляющий собой аморфный, светло-желто-коричневую массу, термопластичную в воде и нерастворимую в концентрированной серной кислоте. Он для хвойной древесины принадлежит к группе природных [C6C3] - соединений. В противоположность клетчатки молекула лигнина построена из различных С9 - элементов (4). Все эти группы химических соединений: поли-, олиго-, моносахариды, белки, лигнин относятся к природным продуктам, т.е. являются продуктами биосинтеза, происходящего в природе под воздействием солнечной радиации. Следует подчеркнуть, что к данному виду сырья не относится ни один продукт синтетической химии. Все эти продукты биологической химии - биохимии.
Итак, разберем подробно способы получения органического природного биохимического экологически чистого удобрения биомассы-компоста.
Экологическая биотехнология - это специфическое применение биотехнологии для решения проблемы защиты окружающей природной среды, включая такие как переработка отходов, борьба с загрязнениями и соединение биотехнологических способов с небиологическими технологиями (6). Европейская биотехнологическая федерация определяет биотехнологию как совместное использование биохимии, микробиологии и химической технологии для технологического применения полезных качеств микроорганизмов и культур тканей (7).
Каковы же биохимические аспекты экологической биотехнологии? Процесс биологического и биохимического разложения всех вышеупомянутых природных компонентов это сложнейший процесс биоразложения и биодеструкции (6).
Основные параметры биотехнологии
-
Главным параметром биотехнологии является соотношение важных химических элементов углерода С к азоту N в массовых частях. Это соотношение С/N в субстрате (т.е. в общем комплексе природных, органических соединений), подвергающемуся биоразложению должно составлять от 25/1 до 30/1. Если это соотношение не существует, то его необходимо обязательно достигнуть введением того или иного компонента. Например, доказано и экспериментально подтверждено, что при соотношении (6) С/N55/1 достижение этой величины лимитируется процессом аэробного разложения. В течение этой стадии повышение температуры до +80°С и присутствие антимикробных препаратов абиотического происхождения приводит к гибели или инактивации патогенных микроорганизмов таких как Salmonella spp. и вируса, личинок насекомых и семян растений. Т.е. температура биодеградации является индикатором работы системы.
-
Строго регламентируется размер частиц субстрата, подвергаемого биодеградации. Размер частиц составляет по максимальной величине 12,5 мм для систем с перемешиванием и принудительной аэрации и 50 мм для компостных рядов в случае естественной аэрации.
-
Строго регламентируется влажность массы при биодеградации для аэробного компостирования (т.е. при доступе воздуха) она составляет 50-60%.
-
Регламентируется свободный объем биомассы. Он должен составлять около 30%.
-
Размеры для компостного ряда (для нас более приемлемого) должны составлять следующие величины:
а) высота - 1,5 м,
б) ширина - 2,5 м для биомассы и компостных рядов,
в) длина любая и зависит от площади полигона ТБО или ТП и БО.
-
Порог температуры биоразложения (компостирования) массы является температура +60 - +70°С. Превышение температуры +60 - +70°С, скажем на +10°С, является недопустимым, т.к. происходит гибель значительной части микрофлоры, микрофауны, макрофлоры и макрофауны, и происходит денатурация микробных и грибных ферментов. С одной стороны - при максимальных температурах гибнет опасная патогенная флора, т.е. происходит в значительной степени стерилизация биомассы, но одновременно происходит и гибель полезных представителей микрофлоры, микрофауны, макрофлоры и макрофауны и, кроме того, частично разрушаются ферменты, что в общем нежелательно. Кроме того, при высоких температурах погибают многие паразитические формы фауны в том числе наиболее распространенная гельминтофауна, опасная для человека и многих теплокровных животных. Другая крайность - низкие температуры тормозят процессы биохимического разложения. Поэтому для выбора оптимального температурного режима биотехнологического способа переработки выше названных природных компонентов необходимо в каждом конкретном случае исходить из реальных условий. Если возможно попадание в перерабатываемую массу патогенной флоры и паразитической гельминтофауны, то максимум температуры биодеградации нужно держать на верхнем пределе. Если такой возможности нет (второй вариант менее вероятен), то максимум температуры следует держать на нижнем пределе. Оптимум максимальной температуры биодеградации природных материалов считается +55 - +60°С (6).
-
Доступ кислорода воздуха способствует процессу биодеградации, т.е. должна существовать определенная естественная или искусственная аэрация. При этом аэрация должна быть в пределах 0,6 - 1,8 м3 воздуха в сутки на 1 кг летучей части от твердых веществ. В этих условиях должна происходить аэробная биодеградация, т.е. деградация (распад, разрушение) за счет развития аэробных бактерий и других биологических и биохимических факторов. Однако, существует довольно распространенное утверждение, основанное на научных фактах, что на первой стадии биодеградации целесообразно преимущественное развитие анаэробных бактерий или анаэробная биодеградация. Следует заметить, что "чистой" аэробной или "чистой" анаэробной биодеградации практически не существует. Модно говорить лишь об относительном преимущественном развитии тех или других видов бактерий (т.е. бактерий, развивающихся при доступе воздуха - аэробных бактерий и развивающихся без доступа воздуха - анаэробных). Почему в последние годы анаэробная биодеградация природных материалов на первой стадии биодеградации является более предпочтительней. Во-первых, при повышенной влажности (более 50-60%) происходит в наибольшей степени набухание всех целлюлозосодержащих и лигниносодержащих компонентов. А когда достигается повышенное набухание, то уже после этого возможно целесообразно перейти к аэробной биодеградации. Кроме того, в водной среде на первых порах осуществляется лучший транспорт многих биохимических компонентов в том числе грибных и бактериальных ферментов ко всем видам субстрата (веществ биомассы).
Следует учесть, что при закладке биомассы на биологическое разложение количество ее в конце процесса снижается на 35-40% от первоначального количества и выделяется ряд органических веществ на промежуточной стадии (в том числе так называемый биогаз, главной составной частью которого является метан CH4). При этом на этой стадии его можно использовать как биотопливо. Однако это потребует дополнительное оборудование и следовательно большие материальные затраты. Без больших затрат можно проводить биодеградацию до получения биомассы (компоста) пригодной в качестве сравнительно недорогого ( по сравнению с навозом) природного экологически чистого органического удобрения, пользующегося повышенным спросом у обывателей, особенно у садоводов и огородников всех разновидностей.
Однозначно сделать правильный выбор режима ферментации (аэробной или анаэробной) не всегда представляется возможным. Так Линч показал, что продукты анаэробной ферментации соломы ингибируют рост корней ячменя, в то же время , как при аэробной биодеградации образуются продукты, стимулирующие рост корней ячменя (6). В аэробных условиях солома разрушается быстрее и с меньшим накоплением водо-растворимых органических соединений. При анаэробных условиях накапливается много органических соединений в том числе много уксусной кислоты, образующейся через ацетальдегид, что является нежелательным. Поэтому, эти данные и результаты, полученные нами (аналогичные данным Линча) подтверждают ранее изложенные концепции, заключающиеся в следующем:
-
На первой стадии, по-видимому, более целесообразно сделать так сказать затравку и проводить сначала анаэробное разложение с целью интенсификации транспорта биореагентов (ферментов различного происхождения) и для набухания целлюлозосодержащих и лигниносодержащих субстратов. Практически это означает очень обильное орошение компостного ряда водой в течение 2-3 недель.
-
На второй стадии процесс биодеградации необходимо перевести из анаэробного режима в аэробный для того, чтобы в меньшей степени накапливались органические компоненты, в первую очередь уксусная кислота, и по возможности доводить разложение до конечного стабильного продукта биомассы (с потерей 35-40% от первоначальной массы) и выделения диоксида углерода и воды. Показателем стабильности продукта и завершенности процесса биодеградации, как уже указывалось, есть стабильность температуры биомассы, близкой к температуре окружающей среды.
Итак, исходным сырьем для получения биомассы являются полисахариды; олигосахариды и моносахариды, а также лигнин; содержащиеся в пищевых отходах, целлюлозно-бумажных и картонных, а также в древесных отходах. Все это компоненты, дающие углерод - С. Остатки животных отходов: мелкие и крупные кости, рыбные кости - это в основном компоненты дающие азот - N. Все эти животные отходы в значительной мере имеют белковую природу. Соотношение углерода - С к азоту - N в общей массе исходного сырья субстрата, по данным взятым нами из книги М.И. Мягкова и др. (2), составляет от 15 до 18. Это означает, что в исходную массу можно добавлять, после соответствующего подсчета, некоторое количество компонентов дающих углерод. Например, некоторое строго определенное согласно расчета количество дробленых древесных отходов или целлюлозно-бумажных или картонных отходов. Т.е. необходимо в любом случае для правильного ведения процесса довести соотношение C/N до величины 25/1 - 30/1 - главное соотношение для нормального протекания процесса биодеградации, согласно режима экологической биотехнологии. Если не хватает азота, то следует добавить также после соответствующего пересчета определенное количество белкового субстрата или носителя мочевины (и следовательно азота N) навоза (который является одновременно носителем бактериальных ферментов, микрофауны и микрофлоры, что и было показано одним из авторов данной книги несколько раз экспериментально).
Характеристики
Тип файла документ
Документы такого типа открываются такими программами, как Microsoft Office Word на компьютерах Windows, Apple Pages на компьютерах Mac, Open Office - бесплатная альтернатива на различных платформах, в том числе Linux. Наиболее простым и современным решением будут Google документы, так как открываются онлайн без скачивания прямо в браузере на любой платформе. Существуют российские качественные аналоги, например от Яндекса.
Будьте внимательны на мобильных устройствах, так как там используются упрощённый функционал даже в официальном приложении от Microsoft, поэтому для просмотра скачивайте PDF-версию. А если нужно редактировать файл, то используйте оригинальный файл.
Файлы такого типа обычно разбиты на страницы, а текст может быть форматированным (жирный, курсив, выбор шрифта, таблицы и т.п.), а также в него можно добавлять изображения. Формат идеально подходит для рефератов, докладов и РПЗ курсовых проектов, которые необходимо распечатать. Кстати перед печатью также сохраняйте файл в PDF, так как принтер может начудить со шрифтами.















