166500 (740290)
Текст из файла
АЛКАДІЄНИ
1. Номенклатура. Класифікація
Назви алкадієнів утворюються як похідні від назв відповідних алканів при заміщенні суфікса -н закінченням -дієн, після якого через дефіс зазначаються локанти, тобто номери атомів карбону, з яких починаються подвійні звязки. При цьому головний ланцюг нумерують таким чином, щоб до нього входили обидва подвійних звязки, а атоми карбону, сполучені подвійними звязками, одержали найменші номери.
Для деяких алкадієнів користуються тривіальною номенклатурою, наприклад:
CH3
CH2=CH-CH=CH2 CH2=C-CH=CH2 CH3-CH=CH-CH=CH2
Бутадієн-1,3 2-Метилбутадієн Пентадієн-1,3
(дивініл) (ізопрен) (піперилен)
Залежно від взаємного розміщення подвійних звязків алкадієни поділяються на три групи:
-ізольовані, в яких подвійні звязки в ланцюгу розділені одним чи декількома sp3-гібридизованими атомами карбону:
>C=CH-(CH2)n-CH=C<, де n = 1,2,3…;
Ізольовані алкадієни виявляють хімічні властивості, подібні до звичайних алкенів з тією лише різницею, що у реакцію може вступати не один, а два подвійних звязки незалежно один від одного;
-кумульовані алкадієни, в яких обидва подвійні звязки знаходяться поруч і належать одному атому карбону, наприклад:
СН2=С=СН2
Пропадієн (ален)
Цю групу алкадієнів часто називають аленовими вуглеводнями за першим членом гомологічного ряду; аленові вуглеводні є нестійкими сполуками, вони швидко ізомеризуються в алкіни, тому не мають самостійного значення;
-спряжені алкадієни, в яких подвійні звязки розділені лише одним -звязком С-С:
>C=CH-CH=C<.
Саме спряжені алкадієни мають найважливіше значення в органічному синтезі.
2. Електронна будова спряжених алкадієнів
Спряжені сполуки з почерговим розміщенням подвійних і одинарних звязків між атомами карбону в ланцюгу відрізняються за хімічними властивостями від інших ненасичених вуглеводнів, що зумовлюється наявністю електронного ефекту спряження.
Спряження – це виникненя єдиної π-електронної хмари внаслідок перекривання негібридизованих рZ-орбіталей атомів карбону, які одночасно утворюють подвійні та одинарні звязки С-С.
Найпростішим спряженим алкадієном є бутадієн-1,3, в якому всі чотири атоми карбону перебувають у sp2-гібридизованому стані і складають -скелет молекули (рис.1). Причому осі sp2-гібридизованих орбіталей знаходяться на одній площині, а негібридизовані рz-орбіталі кожного атома карбону перпендикулярні до площини -скелета і паралельні одна відносно одної. Це створює умови їх взаємного перекривання не тільки між атомами С1-С2 і С3-С4, але й частково між С2-С3. Завдяки такому боковому перекриванню чотирьох рz-орбіталей утворюється єдина -електронна хмара – так зване ,-спряження звязків, при якому -електрони вже не належать окремим звязкам, а делокалізуються по спряженій системі в цілому.
Д
елокалізація електронної густини – це її розподілення по всій спряженій системі, по всіх звязках і атомах.
Рисунок 1 – Утворення спряженої системи в молекулі бутадієну-1,3: жирним пунктиром показане перекривання негібридизованих рz-орбіталей над і під площиною -скелета
Делокалізація -електронів супроводжується виділенням енергії. Оскільки спряжені системи мають менший запас енергії, вони виявляють більшу стійкість порівняно з ізольованими алкадієнами. Енергія, що вивільняється за рахунок спряження, називається енергією делокалізації, або енергією спряження; для бутадіну-1,3 вона складає 15кДж/моль.
У результаті утворення спряженої системи довжини звязків частково вирівнюються і стають меншими, ніж довжина одинарного звязку в алканах (0,154нм), але більшими, ніж довжина подвійного звязку в алкенах (0,133нм):
Н Н
Н 0,137 нм С 0,146 нм С
С С 0,137 нм Н
Н Н
Схематично ефект спряження та вирівнювання довжин звязків зображують стрілками чи крапками:
СН2===СН---СН===СН2
СН2 СН СН СН2
3. Ізомерія алкадієнів
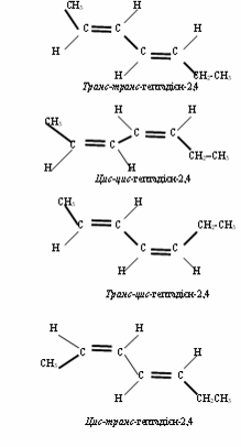
Алкадієни здатні виявляти структурну і просторову (геометричну) ізомерію. Наприклад, для складу С7Н12 ізомери можуть відрізнятися різним положенням як подвійного звязку і бокових радикалів, так і різним просторовим розташуванням вуглецевого ланцюга.
Приклади структурних ізомерів:
СН2=СН-СН-СН=СН–СН3 СН3-С=СН-СН=СН-СН3
СН3 СН3
3-Метигексадієн-1,4 2-Метилгексадієн-2,4
Просторові ізомери гептадієну–2,4
4. Фізичні властивості
За звичайних умов тільки ізомери С4Н6 перебувають у газовому стані, ізопрен – рідина, решта дієнових вуглеводнів є рідинами чи твердими речовинами залежно від довжини і розгалуженості вуглецевого скелета. Всі вони малорозчинні у воді, але добре розчиняються в органічних розчинниках.
5. Хімічні властивості спряжених алкадієнів
Для алкадієнів найбільш характерними є реакції електрофільного приєднання АЕ, однак на відміну від алкенів наявність спряженої системи дає деякі особливості в реакціях АЕ. Це зумовлює можливість одержання двох продуктів. Один з них отримується за рахунок приєднання за місцем будь-якого подвійного звязку – такий шлях реакції позначають терміном 1,2-приєднання. А інший продукт утворюється внаслідок приєднання до крайніх атомів С, що складають спряжену систему, – так зване 1,4-приєднання. Переважний напрямок проходження реакції залежить від умов її проведення та природи реагентів.
І Реакції електрофільного приєднання АЕ.
1 Гідрування при використанні паладієвого каталізатора проходить за 1,2-положенням. Якщо гідрування проводять за допомогою водню у момент його виділення (наприклад, внаслідок дії натрієм на спирт), то реакція проходить переважно за 1,4-положенням. На першій стадії утворюються алкени:
+Н2 [Pd]
------------------- CH3-CH2-CH=CH2
1,2-Приєднання Бутен-1
СН2=СН-СН=СН2---–
Бутадієн-1,3
+Н2 (2С2Н5ОН +2Na)
-----------------------CH3-CH=CH-CH3.
1,4-Приєднання Бутен-2
При надлишку водню відбувається повне гідрування з утворенням алканів:
Pt
СН2=СН-СН=СН2+ 2Н2(надл.)-------- CH3-CH2-CH2-CH3.
Бутадієн-1,3 Бутан
2 Галогенування. Залежно від будови дієнового вуглеводню, природи галогену і умов проведення реакцій можуть утворюватися різні продукти. Найчастіше приєднання стехіометричної кількості (1:1) хлору Cl2 приводить до приблизно однакового виходу 1,2- і 1,4-дихлоралкенів, а при бромуванні переважає 1,4-продукт.
1,4-Приєднання
------------------- CH2-CH=CH-CH2
СН2=СН-СН=СН2 + Hal2--- Нal Нal
Дивініл 1,4–Дигалогенбутен–2
1,2-Приєднання
-------------------- CH2-CH-CH=CH2
Нal Нal
3,4-Дигалогенбутен–1
При надлишку галогену утворюються тетрагалогеналкани:
СН2=СН-СН=СН2 + 2Br2 (надл.) H2Br-CHBr-CHBr-CH2Br.
Дивініл 1,2,3,4- Тетрабромбутан
3 Гідрогалогенування. Приєднання галогеноводнів підлягає тим самим закономірностям. Якщо реакція проходить за 1,2-положенням, то діє правило Марковникова:
1,4-Приєднання
----------------------- CH3-CH=CH-CH2Br
1-Бромбутен-2
СН2=СН-СН=СН2 + HBr---
Дивініл 1,2-Приєднання
------------------------- CH2=CH-CHBr-CH3
3-Бромбутен-1
1,4-Приєднання
----------------- CH3-CH2-CHBr-CH2Br
1,2-Дибромбутан
СН2=СН-СН=СН2 + 2HBr----
Дивініл (надл.) 1,2-Приєднання
------------------- CH3-CHBr-CHBr-CH3
2,3-Дибромбутан
4 Гіпогалогенування на відміну від попередніх реакцій АЕ проходить переважно у 1,2-положенні згідно із правилом Марковникова:
- + 1,2-
CH2=CH-CH=CH2 + HO-Br ----- CH2Br-CH(OH)-CH=CH2
Дивініл 4- Бромбутен-1-ол-3
ІІ Синхронні (молекулярні) реакції
Прикладом синхронних реакцій, при яких розрив хімічних зв’язків проходить одночасно в обох вихідних речовинах, є синтез Дильса-Альдера – нагрівання дієнових вуглеводнів з алкенами чи іншими сполуками, які містять один подвійний звязок >C=C< у ланцюгу. Цей процес широко використовується для одержання шестичленних циклів.
ІІІ Ди- і полімеризація
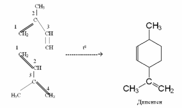
1Димеризація - це сполучення двох молекул алкадієну,
причому одна з молекул реагує за 1,2-, а інша – за 1,4-положенням, наприклад:
Таким чином можна одержувати штучні терпени, наприклад, дипентен:
2 Полімеризація. Алкадієни легко піддаються полімеризації з утворенням каучукоподібних полімерів.
Приєднання молекул мономеру одна до одної може проходити як за 1,2-, так і за 1,4-положенням – залежно від умов проведення реакції та природи каталізатора.
Al(C2H5)3 TiC
n CH2=CH-CH=CH2 ------------------- (-CH2-CH=CH-CH2-)n
Дивініл Бутадієновий каучук
ІV. Окиснення
1 Реакція Вагнера приводить до багатоатомних спиртів
[O] CH2-CH-CH-CH2
CH2=CH-CH=CH2 ------------
KMnO4, H2O OH OH OH OH
Дивініл Бутантетрол-1,2,3,4
2 Сильні окисники руйнують подвійні звязки:
[O] CH2-CH-CH-CH2
CH2=CH-CH=CH2 ------------
KMnO4, H2O OH OH OH OH
Дивініл Бутантетрол-1,2,3,4
3 Озонування (реакція Гарієса) дозволяє встановити будову вихідного алкадієну за складом продуктів, що утворилися, наприклад
O O
CH2=C-CH=CH2 + 2О3 –> CH2 C–CH CH2
O––O O––O
CH3 CH3
Ізопрен Озонід ізопрену
2H2O
–––––––––> 2HCHO + CH3-C-CHO + 2H2O2
(Zn)
O
Метаналь 2-Оксопропаналь
(формальдегід)
6. Одержання алкадієнів
Завдяки великому промисловому значенню алкадієнів розроблено багато способів їх добування.
1 Ступеневе дегідрування бутану та ізопентану над
змішаним каталізатором – оксидом хрому (ІІІ) на оксиді алюмінію:
t0, kat t0, kat
СН3-СН2-СН2-СН2 ––––– CH3-CH2-CH=CH2 –––––
–H2 –H2
––––––> CH2=CH-CH=CH2.
2Реакція Лебедєва – одночасне дегідрування і дегідратація етанолу:
4400C
2СН3-СН2-ОН ––––––– CH2=CH-CH=CH2 + 2H2O + H2.
ZnO/Al2O3
Лабораторні способи
-дегалогенування віцинальних тетрагалогеналканів за допомогою цинку чи магнію:
CH2Br-CHBr-CHBr-CH2Br +2 Zn CH2=CH-CH=CH2 +2 ZnBr2.
1,2,3,4-Тетрабромбутан Дивініл
-дегідрогалогенування 1,4-дигалогеналканів спиртовим розчином лугу:
CH2Br-CH2-CH2-CH2Br+2КОН(спирт.)
1,4-Дибромбутан ––––>CH2=CH-CH=CH2+2KBr+ 2H2O.
Дивініл
-дегідратація -гліколів (двоатомних спиртів з гідроксильними групами в 1,4-положеннях):
СН2-СН2-СН2-СН2 t0
––––––––– CH2=CH-CH=CH2 + 2H2O.
OH OH H2SO4(к)
Бутандіол-1,4
7. Застосування алкадієнів
Алкадієни (ізопрен, дивініл) використовуються для одержання синтетичних каучуків.
Натуральний каучук – високоеластичний матеріал природного походження, який одержують із латексу – соку каучуконосних рослин (гевея, гваюла, кок-сагиз, тау-сагиз та ін.) - при дії на нього коагулянтом – оцтовою кислотою.
За складом і будовою натуральний каучук являє собою ізопреновий полімерний ланцюг із цис-конфігурацією, при якій всі однакові групи (у даному випадку –СН2–) розміщені з одного боку від подвійного звязку. Такий полімер називається стереорегулярним:
---СН2 СН2---
С===С
СН3 Н n
Макромолекула натурального каучуку складається у середньому з 250 елементарних ланок, а молекулярна маса коливається у межах 150000-500000.
Для надання каучуку міцності та стійкості до зношування, перепадів температур, дії розчинників і агресивних хімічних реагентів, його піддають вулканізації – нагріванню із сіркою (вулканізатор) у суміші з наповнювачем (найчастіше це сажа), внаслідок чого ланцюги нормальної будови зшиваються у сітчасті тривимірні макромолекули. Вулканізований каучук називають гумою. Гума містить значно менше подвійних звязків, ніж каучук, оскільки частина їх руйнується при взаємодії із сіркою (рис. 2).
Якщо вміст сірки досягає 32%, подвійних звязків не залишається, окремі ланцюги фіксуються сульфідними містками, а каучук перетворюється на ебоніт –– тверду речовину з іншими властивостями.
Натуральний каучук – дефіцитний дорогий продукт, тому розроблені способи добування синтетичних каучуків із заданими властивостями. Для цього застосовують процес сополімеризації – сумісної полімеризації алкадієнів з іншими ненасиченими сполуками, які можна розглядати як похідні етилену: з вінілхлоридом СН2=СНСl, стиреном СН2=СН-С6Н5, акрилонітрилом СН2=СН-CN.
Наприклад, сополімер бутадієну і стирену – бутадієнстиреновий каучук, який завдяки великій міцності та стійкості до зношування використовується для виробництва автомобільних шин. Схема сополімеризації:
n CH2=CH-CH=CH2 + n CH2=CH ---
C6H5
Бутадієн-1,3 Стирен
С6Н5
–––––> (-CH2-CH=CH-CH2-CH-CH2-)n
Бутадієнстиреновий каучук (БСК)
Із галогенопохідних дієнових вуглеводнів також одержують цінні види каучуків, наприклад, хлоропреновий каучук, який має високу світло- і термостійкість, а також стійкість до дії розчинників, бензинів, олій, тому на його основі виробляють бензопроводи, шланги для нафтопромислів тощо.
n CH2=CH-C=CH2 ------- (-CH2–CH=C-CH2- )n
Cl Cl
2-Хлорбутандієн-1,3 Хлоропреновий каучук
(хлоропрен)
СH3 S H3C S H3C
…--CH2—C—CH—CH2—CH2—C==C—CH2—CH2––C––CH––CH2—…
H3C S CH3 H3C S
…--CH2—C—CH — CH2—HC ==C—CH–– CH2— CH==C—CH—CH2–…
S S
Рисунок 2 – Схема утворення сітчастої структури внаслідок вулканізації натурального каучуку (пунктиром показані межі елементарних ланок)
Характеристики
Тип файла документ
Документы такого типа открываются такими программами, как Microsoft Office Word на компьютерах Windows, Apple Pages на компьютерах Mac, Open Office - бесплатная альтернатива на различных платформах, в том числе Linux. Наиболее простым и современным решением будут Google документы, так как открываются онлайн без скачивания прямо в браузере на любой платформе. Существуют российские качественные аналоги, например от Яндекса.
Будьте внимательны на мобильных устройствах, так как там используются упрощённый функционал даже в официальном приложении от Microsoft, поэтому для просмотра скачивайте PDF-версию. А если нужно редактировать файл, то используйте оригинальный файл.
Файлы такого типа обычно разбиты на страницы, а текст может быть форматированным (жирный, курсив, выбор шрифта, таблицы и т.п.), а также в него можно добавлять изображения. Формат идеально подходит для рефератов, докладов и РПЗ курсовых проектов, которые необходимо распечатать. Кстати перед печатью также сохраняйте файл в PDF, так как принтер может начудить со шрифтами.














