166344 (740222)
Текст из файла
Реферат на тему
Особенности гель-фильтрации
2009
Общее описание метода
Метод гель-фильтрации занимает положение как бы «приемного сына» в обширной семье методов колоночной хроматографии. В нем используется весь набор хроматографической аппаратуры, но принципиальное отличие от всех остальных членов этого семейства состоит в том, что разделяемые при гель-фильтрации молекулы не сорбируются внутри гранул и вообще ни физически, ни химически не взаимодействуют с их материалом. Весь процесс фракционирования основывается только на соотношении размеров молекул фильтруемой смеси и пор в гранулах.
Термин «гранулы» появляется с самого начала и расшифровывается, как малые частицы сферической формы, изготовленные из пористого материала. Для понимания процесса гель-фильтрации (и всех последующих хроматографи-ческих процессов) такое определение недостаточно. Что значит «пористый материал»? Каково происхождение и характер этих пор — поверхностный или глубинный? Каков диапазон и разброс номинальных размеров пор, да и самих гранул? Является ли их материал химически инертным или он способен вступать в реакции, приводящие к его модификации? Какова степень его гидрофильности? Устойчив ли он к значительным вариациям рН и температуры среды?
Для понимания сути данного процесса (гель-фильтрации) нам достаточно будет представить себе только физическую структуру гранул и характер пористости, а также упомянуть их гидрофильность. В конце главы мы подробнее познакомимся с различными материалами, используемыми для производства этих гранул и коснемся вопроса о возможности их химической модификации.
Итак, представим себе великое множество длинных, тонких и прочных нитей, собранных в одном месте, но идущих во всех возможных направлениях. В местах их случайного пересечения и сближения они прочно (химически) связаны короткими перемычками. Так, что в целом являют собой некий жесткий каркас, имеющий внешне сферическую форму, но без какой-либо замыкающей ее поверхности. Это и будет физическая модель хроматографической гранулы. Весь ее внутренний объем представляет собой совокупность множества переходящих одна в другую пространственных ячеек («пор»), размеры которых варьируют в определенных пределах около некой средней величины, обусловленной густотой нитей и числом перемычек между ними. Эти средние величины пор у разных марок гранул покрывают значительный диапазон от 5 до 300 миллимикрон. Что же касается средних наружных диаметров самих гранул, то, опять-таки для различных марок гранул, они укладываются в интервал от 10 до 300 микрон. Доступ к внутренним ячейкам гранул полностью открыт снаружи.
Поскольку мы упомянули о гидрофильности материала нитей и относительной малости размеров ячеек (меньше 1 мкн), то вода (или водные растворы) будет в них неподвижна, несмотря на то, что мимо гранул, в промежутках между ними она будет свободно протекать вдоль колонки.
Предположим теперь, что у нас имеется колонка, заполненная подобными гранулами (кружки на рис. а). И что в эту колонку, поверх гранул в слое небольшой высоты мы вносим препарат, содержащий смесь 3-х типов молекул: крупных, средней величины и мелких, обозначенные (там же) черными точками, соответственно, разных размеров.
Подадим мысленно сверху на эту колонку ток элюента (хотя бы воды). Он будет свободно протекать между гранулами — вниз к выходу из колонки. Если крупные молекулы настолько велики, что совершенно не проникают в пределы гранул (поры для них слишком малы), то эти молекулы вместе с током элюента, без задержки будут двигаться к выходу из колонки. Предположим еще, что мелкие молекулы настолько малы, что все ячейки внутри гранул будут для них легкодоступны. Тогда (если скорость элюции не слишком велика) эти малые молекулы в результате диффузии быстро займут весь совокупный объем жидкости во внутренних ячейках гранул. Разумеется, диффузия будет идти и в обратном направлении так, что концентрация малых молекул в гранулах и в свободной жидкости между ними поначалу окажется одинаковой. Однако вскоре малые молекулы, которые окажутся вне гранул, током элюента продвинутся немного вниз по колонке. Здесь они встретят слой еще «пустых» гранул и будут диффундировать внутрь них. В то же самое время в слое, откуда эти молекулы ушли, нарушится равновесие диффузии и малые молекулы из гранул станут преимущественно выходить наружу, в элюент.
Процессы эти будут происходить в течение всего хода элюции. За это время каждая из мелких молекул успеет (и не один раз) побывать в каких-нибудь гранулах и выйти из них. Для слоя мелких молекул в целом это будет означать большую потерю времени с точки зрения продвижения этого слоя вниз к выходу из колонки. (Напомню, что жидкость внутри гранул не течет.) В результате слой мелких молекул сильно отстанет от слоя крупных молекул.
Для молекул среднего размера некоторые ячейки близ поверхности гранул окажутся доступными. Они туда будут «заходить». Но диффундировать глубоко внутрь гранул им, как правило, не удастся, они быстрее будут выходить наружу и равновесие диффузии будет в пользу свободной жидкости между гранулами. В силу этого обстоятельства молекулы среднего размера в целом, как слой, будут двигаться вниз по колонке быстрее, чем мелкие молекулы, но все же значительно медленнее, чем крупные, поскольку даже только на заход в ячейки гранул с поверхности будет расходоваться некоторое время...
Колоночная гель-фильтрация широко применяется для решения двух основных задач:
1. Быстрого освобождения крупных молекул (белков, нуклеиновых кислот и их комплексов) от находящихся в том же растворе солей или низкомолекулярных предшественников синтеза:
аминокислот или нуклеозидтрифосфатов (особенно радиоактивно меченых), а также во многих других случаях очистки биополимеров от сопутствующих им мелких молекул. В этих случаях целесообразно использовать короткие (10-20 см) колонки относительно большого диаметра (2-3 см) и заполнять их крупными гранулами с малыми порами. Объем препарата, вносимого на колонку, может составлять 20-25% от полного объема колонки. Очистка происходит быстро (примерно за 1 час). Разбавление очищенного препарата оказывается незначительным (10-20%), так как он выходит из колонки не «пиком», а протяженной «площадкой», расширение которой идет только за счет диффузии на ее переднем и заднем фронте. При работе с микроколичествами можно в качестве колонки использовать цилиндрик пластмассового шприца на 1 мл.
Положив на дно кусочек стеклянной ваты, его плотно набивают гранулами, оставив сверху свободные 0,1 мл для заполнения их смесью ДНК и ее предшественников в растворе буфера.
Элюция — центрифугированием. Под цилиндрик подставляют пробирку от микроцентрифуги и все вместе устанавливают в пробирку бакет-ротора. Выходящая из цилиндрика жидкость в объеме того же 0,1 мл содержит чистую ДНК — предшественники остаются в гранулах.
2. Фракционирование (разделение) смеси макромолекул не очень значительно различающихся по своим размерам. Например, различных белков. Здесь следует использовать длинные (1-1,5 м) колонки, диаметром не более 1 см и загружать их объемом исходного препарата, составляющем не более 1-2% от объема колонки. Если смесь содержит 2-3 компонента, то их нередко удается разделить полностью — они выходят в виде довольно широких, но не перекрывающихся друг с другом пиков.
Если же смесь состоит из нескольких компонентов, то на хорошее их разделение методом гель-фильтрации рассчитывать не приходится. Ведь все эти компоненты, хотя и с различной скоростью, движутся по колонке одновременно. (Другое дело истинная хроматография. Там на первый план выступает сорбция компонентов на модифицированном материале гранул и каждый из них остается сорбированным внутри гранул до тех пор, пока элюент «принудительно» не извлечет его оттуда.)
Тем не менее, и в этом случае гель-фильтрацию можно использовать для очистки одного из компонентов сложной смеси, если примириться с его довольно значительными потерями. С этой целью смесь, например белков, разгоняют по объему элюента так, что интересующий экспериментатора белок оказывается где-то в середине последовательности не полностью разделившихся пиков разных белков. (Для этого надо подобрать размер пор используемых гранул.) Если нужный белок поддается идентификации, например по ферментативной активности, которая ввиду мягкости способа фракционирования вполне может сохраниться, то можно отобрать узкую область элюента, прилегающую к вершине пика этого белка. Таким образом, хотя и со значительными потерями, иногда удается получить практически чистый белок.
Основные материалы гранул («матриц») для гель-фильтрации
Именно здесь уместно познакомиться с основными материалами, из которых различные фирмы изготавливают матрицы для гель-фильтрации, поскольку те же материалы после соответствующей химической модификации используются в других видах хроматографии.
1. Гели на основе декстрана— «сефадексы»»
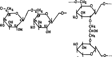
Чаще всего для построения хроматографических гранул используют длинные нити полисахаридов. В частности, нити декстрана — линейного полимера, состоящего из множества одинаковых звеньев одного из Сахаров, а именно — глюкозы.
На рис. 55 слева показана связь между двумя соседними молекулами глюкозы. Как это уже было принято для Сахаров нуклеиновых кислот, в углах шестиугольника, обозначенных цифрами 1—5 следует подразумевать атомы углерода, а на открытых концах вертикальных черточек — атомы водорода. Связь осуществляется через атом кислорода между углеродами в позициях 1 и 6.
На том же рисунке справа показан короткий «мостик», связывающий две пересекающиеся друг с другом нити декстрана. (Заметьте, что связанные таким образом звенья глюкозы расположены симметрично.) Чем выше содержание мостиков по отношению к количеству глюкозы в нитях декстрана, тем меньше будет размер пор («ячеек»), которые они образуют.
Иногда в качестве материала гранул используют уже знакомый нам по электрофорезу полиакриламидный гель (ПААГ).
1а. «Сефакрилы».
Это — матрицы на основе того же декстрана, но в качестве связующих нити «мостиков» используется также знакомая нам по ПААГ связка — ЫТ^-метиленбисакриламид («Бис»).
2. Гели на основе агарозы — «сефаррзы».
Заметим, что максимальная концентрация агарозы, которая называлась тем, составляла 2%. А затвердевают гели агарозы при остывании из расплавленного состояния уже при концентрации в 0,4%. Однако они относительно мягкие. Для целей гель-фильтрации и других видов хроматографии используют жесткую, 4-х или 6-ти процентную агарозу, в виде сферических гранул. Поры при этом остаются еще весьма крупными. Иногда нити агарозы, все-таки сшивают дополнительно химическими «мостиками». Получаются еще более жесткие гранулы. Их торговое название «сефароза CL» (CL означает cross linked).
2а. «Улътрагели типа АСА»»
Внутри жесткого крупнопористого каркаса агарозы полиме-ризуют ПААГ, что позволяет варьировать меньшие размеры пор в широких пределах, сохраняя жесткость гранул агарозы.
Гели на основе целлюлозы
Целлюлоза — это тоже линейный полимер, составленный из множества молекул все той же глюкозы, но связанных между собой иначе, чем в декстране. Ее часто используют в виде, так называемой, «волокнистой целлюлозы», то есть просто в виде хаотически спутанных длинных нитей полимера, без всяких дополнительных связок. В варианте «микрогранулированной целлюлозы» между нитями для увеличения жесткости вводят связующие химические «мостики». Один из типов такой целлюлозы имеет торговое название «сефацел».
В нашем ознакомительном курсе не имеет смысла приводить подробные списки матриц для гель-фильтрации из каталогов различных форм. Достаточно упомянуть, что списки эти бывают достаточно длинными, предлагая пользователю широкий выбор гранул различного размера и разной пористости, особенности которых часто бывают зашифрованы индексом, стоящим после основного названия. Так, к примеру, шведская фирма Pharmacia предлагает список из 18 типов сефадекса с индексами от G-10 до G-200, в соответствии с постепенно увеличивающимися размерами пор. Японская фирма Toyopearl выпускает 10 типов гранул для гель-фильтрации с индексами от HW40C до HW75F.
Характеристики
Тип файла документ
Документы такого типа открываются такими программами, как Microsoft Office Word на компьютерах Windows, Apple Pages на компьютерах Mac, Open Office - бесплатная альтернатива на различных платформах, в том числе Linux. Наиболее простым и современным решением будут Google документы, так как открываются онлайн без скачивания прямо в браузере на любой платформе. Существуют российские качественные аналоги, например от Яндекса.
Будьте внимательны на мобильных устройствах, так как там используются упрощённый функционал даже в официальном приложении от Microsoft, поэтому для просмотра скачивайте PDF-версию. А если нужно редактировать файл, то используйте оригинальный файл.
Файлы такого типа обычно разбиты на страницы, а текст может быть форматированным (жирный, курсив, выбор шрифта, таблицы и т.п.), а также в него можно добавлять изображения. Формат идеально подходит для рефератов, докладов и РПЗ курсовых проектов, которые необходимо распечатать. Кстати перед печатью также сохраняйте файл в PDF, так как принтер может начудить со шрифтами.















