166275 (740187), страница 2
Текст из файла (страница 2)
Медное число, г на 100 г абсолютно сухой целлюлозы, рассчитывают по формуле
где н — объем раствора перманганата калия концентрацией 0,04 моль/дм3, израсходованный на титрование, см3; 0.00254 — масса меди, соответствующая I см3 раствора перманганата калия концентрацией 0,04 моль/дм3, г; g — масса абсолютно сухой навески целлюлозы, г.
Расхождения между результатами двух параллельных определений не более 0,03 г при уровне показателя медного числа до 1,0 г и 0,2 г — свыше 1,0 г.
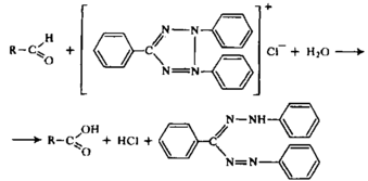
3. Определение альдегидных групп фотоколориметрическим
методом по Саболксу
Метод основан на восстановлении альдегидными группами хлорида 2,3,5-трифенилтетразолия с образованием красного красителя формазана, который определяют фотоколориметрически.
Этот метод дает достаточно точные и хорошо воспроизводимые результаты и позволяет определять очень малые количества альдегидных групп.
Методика анализа. Навеску абсолютно сухой измельченной целлюлозы массой 0,01 г помещают в пробирку и заливают 0,5 см3 раствора гидроксида калия концентрацией 0,2 моль/дм3 и 0,5 см3 0,2%-ного водного раствора хлорида 2,3,5-трифенилтетразолия. Пробирку опускают на 10 мин в кипящую водяную баню. Затем пробирку с окрашенной целлюлозой быстро охлаждают под струей холодной воды. Массу из пробирки переносят на стеклянный пористый фильтр и отфильтровывают, применяя отсос, в мерную пробирку на 10 см3. Массу на стеклянном фильтре промывают без отсоса небольшими порциями этанола до тех пор, пока образовавшийся в ходе реакции краситель не перейдет полностью в раствор и объем жидкости в отсосной пробирке не достигнет 10 см3. Для улучшения растворения красителя массу на фильтре перемешивают стеклянной палочкой.
Интенсивность окраски полученного раствора определяют на спектрофотометре при длине волны 546 нм или на фотоэлектрическом колориметре с зеленым светофильтром в кювете толщиной 10 мм. Параллельно проводят контрольное определение без образца целлюлозы. Контрольную пробу, которая должна быть бесцветной, используют в качестве раствора сравнения.
Следует отметить, что образовавшийся краситель формазан нестоек, и поэтому все операции необходимо выполнять быстро.
Содержание альдегидных групп — CHO определяют по градуировочному графику в мг и рассчитывают их массовую долю, % к абсолютно сухой целлюлозе, по формуле
где т — масса СНО-групп в навеске, определенная по градуировочному графику, мг; g — масса абсолютно сухой навески, г.
Построение градуировочного графика. Готовят точно 0,1%-ный раствор химически чистой глюкозы. В мерную пробирку вносят микропипеткой 0,05 см3 этого раствора, добавляют 0,5 см3 раствора гидроксида калия концентрацией 0,2 моль/дм3 и 0,5 см3 0,2%-ного раствора ХТТ. Смесь в пробирке нагревают 10 мин на кипящей водяной бане, охлаждают, доливают этанолом до метки, соответствующей 10 см3, и фотоколориметрируют. Найденное значение оптической плотности соответствует 0,05 мг глюкозы или 0,007775 мг СНО-групп. Строят градуировочный график, откладывая по оси абсцисс найденную оптическую плотность 0,1%-ного раствора глюкозы, а по оси ординат — массу СНО-групп. Полученную точку соединяют с началом системы координат.
4. Определение карбонильных групп с борогидридом натрия
Щелочной раствор борогидрида натрия или калия при комнатной температуре быстро и селективно восстанавливает альдегидные и кетонные группы до спиртовых групп. В этих условиях он достаточно инертен по отношению к двойным связям, эпоксидным, сложноэфирным и карбоксильным группам. Механизм реакции заключается в присоединении гидрид-иона к карбонильному атому углерода, а атома бора к кислороду карбонильной группы с последующим гидролизом промежуточного боросодержащего комплекса. В этой реакции используются все четыре атома водорода борогидрида.
При подкислении реакционной смеси в результате разложения избытка борогидрида натрия выделяется водород
По разности объемов водорода, выделяющегося при подкислении контрольного и исследуемого растворов можно определить массовую долю карбонильных групп в исследуемой целлюлозе: 1 моль H2 соответствует 1 молю СО-групп. Для количественного определения карбонильных групп в полисахаридах Линдберг и Теандер разработали газометрический метод.
Другими исследователями предложен титриметрический метод, основанный на реакции борогидрида натрия с иодатом калия и последующим иодометрическим определением избытка иодата
По количеству иодата калия, израсходованного на реакцию, определяют количество борогидрида натрия до и после взаимодействия с целлюлозой и устанавливают в ней содержание карбонильных групп.
Достоинством борогидридного метода является возможность определения в препаратах целлюлозы малых количеств карбонильных групп. Окисленные целлюлозы восстанавливаются быстрее, чем гидролизованные и технические, однако при анализе окисленных целлюлоз этот метод недостаточно точен, так как с борогидридом реагируют не только карбонильные, но и лактонные группировки. Чтобы уменьшить ошибку, рекомендуют перед реакцией восстановления переводить карбоксильные группы в их соли. К завышенным результатам могут также привести и окислительные процессы, протекающие в целлюлозе под воздействием кислорода воздуха в щелочной среде.
Для предотвращения ошибок необходимо проводить все операции анализа при одной и той же температуре и продолжительности; строго соблюдать рН реакции, так как увеличение рН приводит к усилению побочных реакций в растворах борогидрида натрия, а уменьшение рН ускоряет распад борогидрид-иона. Установлено, что содержание карбонильных групп, определенное борогидридным методом, пропорционально медному числу Хегглунда. Для целлюлоз, окисленных периодатом натрия, борогидридный и гидроксиламиновый методы дают сравнимые результаты.
Методика определения карбонильных групп газометрическим борогидридным методом. Количественное восстановление карбонильных групп в целлюлозе или оксицеллюлозе борогидридом натрия проводят в приборе, состоящем из реакционного трехкамерного сосуда и газовой бюретки. Определение осуществляют при комнатной температуре.
Навеску массой около 0,15 г воздушно-сухой целлюлозы помещают в среднюю часть в реакционного сосуда / и добавляют3 см раствора ортоборной кислоты концентрацией 0,1 моль/дм3, туда же помещают магнитную мешалку в стеклянной оболочке. В боковую камеру А пипеткой отмеряют точно 3 см3 раствора борогидрида натрия концентрацией в растворе гидроксида натрия концентрацией 0,1 моль/дм3, в боковую камеру С заливают 1 см3 раствора серной кислоты концентрацией 2 моль/дм3. Реакционный сосуд присоединяют к газовой бюретке объемом 50 см3 с помощью трехходового крана. Кран закрывают и, наклоняя реакционный сосуд, приливают раствор NaBH4 из боковой камеры А в среднюю часть В.
Прибор для определения карбонильных групп газометрическим борогидридным методом:
/ — реакционный сосуд; 2 — трехходовой кран; 3 — магнитная мешалка; 4 — газовые бюретки
Реакционную смесь перемешивают магнитной мешалкой 3 в течение 3 ч. После этого избыток борогидрида натрия разлагают, приливая из боковой камеры С разбавленную серную кислоту. Мешалку останавливают и реакционный сосуд погружают в воду при комнатной температуре на 3 мин, периодически встряхивая. С помощью крана соединяют реакционный сосуд с газовой бюреткой и измеряют объем выделяющегося водорода. Аналогично, только без навески целлюлозы, проводят контрольное определение одновременно на другом идентичном приборе.
В качестве газовой бюретки вместо обычной рекомендуют применять бюретки специальной конструкции. Средняя часть такой бюретки представляет собой баллон, объем которого вместе с верхней ее частью примерно на 5 см3 меньше ожидаемого объема водорода в рабочем опыте. Нижняя прямая часть бюретки может быть узкой, с ценой деления 0,01... 0,02 см3, что значительно повышает точность отсчета.
Бюретки заполняют водой или дибутилфталатом. Давление паров дибутилфталата при комнатной температуре ничтожно мало, и объем газа можно не корректировать. В случае же применения воды обязательно вводят поправку, учитывающую упругость водяных паров.
Массовую долю СО-групп,% к абсолютно сухой целлюлозе, рассчитывают по формуле
где W0 — приведенный к нормальным условиям объем водорода, израсходованного на восстановление СО-групп, см3; V1 — объем водорода, выделившегося в рабочем опыте, см3; V2 — объем водорода, выделившегося в контрольном опыте, см3; В — барометрическое давление, ГПа; U'' — давление паров воды при температуре /, если газ собирается над водой, ГПа; / — температура окружающей среды, 0C; 28,011 — масса 1 ммоля СО-групп, мг; 22,414 — объем 1 ммоля водорода при нормальных условиях, см3; g — масса абсолютно сухой навески целлюлозы, г.
Для определения низкого содержания карбонильных групп в целлюлозе применяют модифицированный метод. Восстановление борогидридом натрия проводится в течение 6 ч в реакционном сосуде большей вместимости и с большей массой навески целлюлозы. Увеличивается также расход и концентрация используемых для восстановления реагентов. В центральную часть В реакционного сосуда заливают 20 см3 раствора H3BO3 концентрацией 0,15 моль/дм3, в боковую камеру А 20 см3 раствора NaBH4 концентрацией 0,025 моль/дм3 в растворе NaOH концентрацией 0,1 моль/дм3, а в боковую камеру С—5 см3 раствора H2SO4 концентрацией 2 моль/дм3.
5. Определение карбоксильных групп с гидрокарбонатом натрия
по Вильсон
Метод основан на обратном титровании карбоксильных групп гидрокарбонатом натрия
Избыток гидрокарбоната натрия оттитровывают соляной кислотой
Подготовка целлюлозы к анализу. Воздушно-сухую целлюлозу предварительно обессмоливают экстрагированием органическими растворителями по обычной методике. Из обессмоленной целлюлозы приготавливают отливки и сушат на воздухе. Навеску воздушно-сухой целлюлозы в виде отливок массой около 2,5 г для обеззоливания помещают в коническую колбу вместимостью 500 см3, заливают 250 см3 раствора HCI концентрацией 0,1 моль/дм3 и хорошо взбалтывают. Массу выдерживают в течение 1 ч при комнатной температуре, затем целлюлозу отфильтровывают на воронке Бюхнера с полотняным фильтром и тщательно промывают теплой дистиллированной водой до нейтральной реакции промывных вод. Обеззоленную целлюлозу подсушивают на воздухе.
Методика анализа. Целлюлозу после обеззоливания и подсушивания взвешивают и помещают в коническую колбу вместимостью 250 см3 с притертой пробкой, заливают пипеткой 50 см3 раствора гидрокарбоната натрия концентрацией 0,01 моль/дм3 и хлорида натрия концентрацией 0,1 моль/дм3, закрывают колбу и оставляют на 1 сут, периодически встряхивая. Затем массу отфильтровывают на сухом стеклянном пористом фильтре под вакуумом в чистую сухую отсосную колбу. Пипеткой отбирают 25 см3 фильтрата, переносят в коническую колбу вместимостью 250 см3 и титруют раствором соляной кислоты концентрацией 0,1 моль/дм3 с индикатором метиловым красным. По достижении переходной окраски раствор кипятят несколько минут для удаления CO2, быстро охлаждают под струей воды и затем титруют до изменения окраски в розовую. Параллельно титруют таким же образом 25 см3 раствора гидрокарбоната.















