166195 (740157)
Текст из файла
Реферат
по биологии
на тему:
"Поверхностно-активные полимеры"
Поверхностно-активные полимеры, или полимерные ПАВ, получили широкое распространение в последние 20 лет и сейчас используются во многих технологиях. Чаще всего их применяют для стабилизации дисперсий и для регулирования реологических свойств.
Поверхностно-активные полимеры: способы конструирования
Полимер, обладающий поверхностной активностью, можно построить одним из трех главных способов: прививать гидрофобные цепи к гидрофильному полимерному остову (основной цепи), прививать гидрофильные цепи к гидрофобному полимерному остову либо чередовать в макромолекуле гидрофильные и гидрофобные участки. Ниже рассматриваются все три способа.
Поверхностно-активные полимеры распространены и в природе; с тремя главными типами таких соединений мы встречаемся и в растительном, и в животном мире. Роль гидрофильных участков часто выполняют заряженные или нейтральные полисахариды. Антитела (белковые молекулы) обычно содержат остатки углеводов в виде боковых цепей на большом расстоянии от области связывания антигена. Их основная функция заключается в увеличении гидрофильное этого относительно гидрофобного белка. Белки молока и слюны содержат большое количество связанных фосфатных групп и поэтому обладают высокой поверхностной активностью, прекрасно стабилизируя капли жира.
Классификация поверхностно-активных полимеров на три указанные выше группы не является исчерпывающей. На самом деле для получения определенного высокомолекулярного вещества можно комбинировать несколько (два или более) из указанных путей создания поверхностно-активных полимеров. Например, полимерная цепь поверхностно-активного полимера может состоять из чередующихся гидрофильных и гидрофобных участков, а кроме того содержать гидрофильные или гидрофобные боковые цепи. Такую молекулу можно одновременно считать блок-сополимером и привитым сополимером. Привитой сополимер может также содержать гидрофобные и гидрофильные боковые цепи.
С физико-химической точки зрения важным свойством подобных макромолекул является их способность самоориентироваться на поверхности таким образом, что гидрофильные участки оказываются в полярном окружении, а гидрофобные — в липофильной фазе. Поверхностное натяжение раствора при этом понижается, поэтому такой полимер, по определению, поверхностно-активный.
Полимеры с гидрофильной основной цепью и гидрофобными боковыми цепями
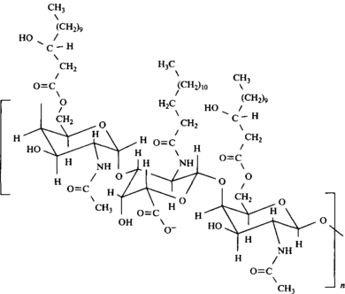
Такой тип привитых сополимеров распространен в природе. Микроорганизмы с относительно высокими выходами производят липополисахариды. Было предпринято много попыток использования этого природного источника для получения продукта в промышленных масштабах. Хорошо известный пример такого ПАВ — эмульсан. Это фирменное торговое название полианионного липополисахарида, производимого в качестве внеклеточного продукта бактериями Acinetobacter calcoaceticus. Гетерополисахаридный остов состоит из повторяющихся трисахаридов, несущих отрицательный заряд. Жирнокислот-ные цепи присоединены к полисахариду через сложноэфирные связи. Степень замещения и тип жирной кислоты можно варьировать. Типичная структура такого полимерного ПАВ приведена на рис. 2.
Действие тогда еще неизвестного эмульсана впервые наблюдалось при спонтанном эмульгировании сырой нефти и морской воды на морском побережье. Были выделены бактерии, производящие эмульгирующий агент. Исследования этого агента показали, что он является высокомолекулярным поверхностно-активным веществом. При более глубоком исследовании было обнаружено, что эти бактерии выделяют два поверхностно-активных компонента, участвующих в процессе эмульгирования: низкомолекулярный пептид, обладающий очень высокой поверхностной активностью и являющийся чрезвычайно эффективным эмульгатором, и липополисахарид с молекулярной массой ~106, который выполняет роль эффективного стабилизатора образующихся эмульсий. Компоненты обычно находятся в соотношении 1:9 по массе. Название «эмульсан» иногда употребляют для этой комбинации пептид-полисахарид, а иногда только для липополисахарида; далее под эмульсаном мы будем подразумевать только липополисахарид. Этот случай является хорошей иллюстрацией того, как природа использует поверхностно-активные полимеры: не для создания эмульсий, а для их стабилизации, если эмульгирование происходит под действием низкомолекулярного поверхностно-активного вещества. Действительно, полимерные ПАВ обычно не годятся для эмульгирования из-за их медленной диффузии к возникающим межфазным поверхностям.
Рис. 1. Некоторые примеры полимеров, состоящих из гидрофильной основной полимерной цепи и гидрофобных боковых групп
Рис. 2. Структура эмульсана
Ниже перечислены основные свойства эмульсана:
1) умеренно снижает поверхностное и межфазное натяжение;
2) обнаруживает ярко выраженное сродство к межфазным границам масло-вода;
3) сам по себе не является эффективным эмульгатором;
4) чрезвычайно эффективный стабилизатор эмульсий масел (но только определенных) в воде (но не воды в масле);
5) специфичен к границе раздела (субстрату) и составу водной фазы, его свойства наилучшим образом проявляются в присутствии двухзарядных катионов.
Молекулы эмульсана обладают лишь умеренной поверхностной активностью. В его присутствии межфазное натяжение, например, в системе вода-гексадекан снижается с 47 до 30 мН/м; это совсем небольшое понижение межфазного натяжения. Комбинация липополисахарида с пептидом понижает межфазное натяжение в той же системе до 14 мН/м. Эмульсан нерастворим в обеих жидких фазах (в воде и масле), поэтому его сродство к межфазной границе очень велико, что и определяет его высокую способность стабилизировать эмульсии.
Избирательность эмульсана по отношению к типу масляной фазы поразительна. Стабильные эмульсии «масло в воде» образуются только с маслами определенного состава, т.е. определенной комбинацией углеводородов. Наибольшая эффективность стабилизации эмульсий достигается для смеси алифатических углеводородов и алкиларильных соединений, что близко к составу тяжелой сырой нефти. Такой состав является субстратом, к которому должны быть адаптированы бактерии, производящие эмульсан. Выделение эмульсана бактериями — это путь увеличения площади межфазной границы сырая нефть-вода, на которой они живут.
Большие надежды были связана с эмульгирующей способностью эмульсана. Получение высококонцентрированных эмульсий сырой нефти в воде рассматривалось, как средство превратить чрезвычайно вязкие тяжелые масла в достаточно мобильные системы, которые можно перекачивать по трубопроводам. В то время, когда разрабатывался эмульсан, эта возможность представляла особый интерес для транспорта нефти с Аляски на основную территорию США. Эмульсию сырой нефти в воде с 75%-ным содержанием нефти, получаемую с применением эмульсана в качестве стабилизатора, можно было бы сжигать без предварительного удаления воды (подобно сжиганию концентрированных суспензий угля).
Все усилия использовать эмульсан в качестве эмульгатора нефтяных эмульсий для транспорта по трубопроводам натолкнулись на непреодолимое препятствие, связанное с тем, что эмульсан подвергается ферментативному гидролизу. Разрушение стабилизатора эмульсий во время транспортировки приводило к коалесценции эмульсий, что сильно затрудняло транспорт. В настоящее время использование эмульсана значительно снизилось, он используется в основном для мытья нефтяных танков.
Эмульсан — наиболее известный биополимер, обладающий поверхностной активностью и использующийся в промышленности. В то же время ведутся разработки путей применения и производства других липополисахаридов, выделяемых микроорганизмами (как бактериями, так и грибами). К этим исследованиям особый интерес проявляет косметическая промышленность. Процессы получения таких биологических поверхностно-активных веществ достаточно сложные и трудоемкие, а стоимость продукта относительно высока. Но следует ожидать, что в обозримом будущем разница в цене био-ПАВ и синтетических ПАВ будет сокращаться.
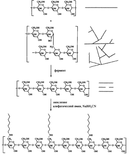
Природные полисахариды можно химически модифицировать, присоединяя длинные алкильные или алкиларильные цепи, и получить вещества, эквивалентные липополисахаридам. Один из возможных путей получения таких производных показан на рис. 3. В качестве исходного гидрофильного полимера взят крахмал, представляющий собой смесь линейной амилозы и сильно разветвленного амилопектина. В амилопектине можно селективно разрушить поперечные связи с помощью фермента, избирательно действующего только на 1,6-глюкозидные связи. Образующийся линейный полисахарид окисляется до альдегидов (и, возможно, до кетонов), которые затем вступают в реакцию с алифатическим амином. Степень замещения должна быть низкой (не более 10%), что легко регулируется соотношением алифатического амина и ангидроглюкозидных циклов. В противном случае возникают проблемы с растворимостью.
Рис. 3. Превращение крахмала в поверхностно-активный полимер. На схеме окисление происходит только у 6-го атома углерода ангидроглюкозидного фрагмента. В действительности окисление может приводить к раскрытию кольца между 2 и 3-м атомами углерода с образованием альдегидных групп в этих положениях. Эти альдегидные группы также подвергаются восстановительному аминированию алифатическими аминами
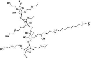
Аналогичный тип превращений можно провести с целлюлозой (рис. 4). Обычно целлюлозе дают набухнуть в сильной щелочи (мерсеризация); затем проводят реакцию этого полурастворенного материала с этиленоксидом и ал-килхлоридом. Если использовать короткую алкильную группу, например этильную, образующийся продукт обладает умеренной поверхностной активностью. При замене некоторого количества этильных групп на более длинные алифатические цепи получается полимер с высокой поверхностной активностью. Такие привитые сополимеры выпускаются в промышленном масштабе и называются «ассоциирующими загустителями». Они используются для придания водным композициям (например, водо-основным краскам) необходимых реологических свойств. Только небольшая доля ангидроглюкозидных циклов должна нести длинноцепочечные алкильные группы, поскольку в противном случае продукт теряет растворимость в воде. В зависимости от условий, в которых протекает реакция, гидрофобные заместители могут более или менее хаотично распределяться вдоль полисахаридного скелета. От распределения заместителей зависят физико-химические свойства продукта. Наибольшей поверхностной активностью обладают полимеры, в которых участки с высокой степенью замещения ангидроглюкозидных колец чередуются с участками с низкой плотностью замещения. Однако распределение заместителей контролировать нелегко, особенно при проведении крупномасштабного синтеза.
Рис. 4. Структура целлюлозы, которая была модифицирована этиленоксидом и ал кил хлоридом
Полимеры с гидрофобной основной цепью и гидрофильными боковыми цепями.
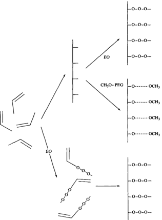
Природным продуктом этого класса являются гликопротеины, хотя полипептидную цепь, безусловно, нельзя считать полностью гидрофобной. Многие гликозилированные белки можно рассматривать как комбинацию привитых и блок-сополимеров, поскольку полипептидная цепь часто содержит гидрофильные и гидрофобные участки. Некоторые типы синтетических привитых сополимеров рассматриваемого типа приведены на рис. 5. В настоящее время большой интерес вызывают сополимеры с поли-этиленглколиевыми (ПЭГ) «хвостами». Они служат эффективными стерическими стабилизаторами для различных дисперсий. На рис. 6 представлены три способа получения ПЭГ-замещенных полиакрилатов.
Все три метода в принципе могут быть реализованы в промышленном масштабе. Этоксилированные мономеры (производные акрилатов) являются промышленно производимыми мономерами.
Как было отмечено выше, этот тип привитых сополимеров нашел применение в качестве стерических стабилизаторов дисперсий, в частности в производстве красок. Другое интересное применение этих поверхностно-активных полимеров состоит в модифицировании твердых поверхностей для предотвращения адсорбции белков и других биологических молекул. Полимеры этого типа адсорбируются с образованием монослоя на гидрофобной поверхности, причем адсорбция протекает исключительно за счет взаимодействия гидрофобной полимерной цепи с поверхностью, а цепи ПЭГ ориентируются к водной фразе. Уже установлено, что такой способ покрытия поверхности цепями ПЭГ эффективен для снижения адсорбции белков и, как следствие, снижения адгезии клеток к поверхности твердого тела. По опубликованным данным, полученным в опытах in vitro и in vivo, ПЭГ-покрытия заметно подавляют адсорбцию белков плазмы крови и адгезию тромбоцитов, что снижает риск тромбообразования.
Рис. 5. Некоторые полимеры с гидрофобной основной цепью и гидрофильными боковыми цепями
Рис. 6. ПЭГ-Модифицированные полиакрилаты можно получить различными путями. Верхний путь — этоксилирование полиакрилата, содержащего вдоль цепи гидроксиэтильные группы. Средний путь — реакция полиакрилата, содержащего сложноэфирные метальные группы, с монометиловым эфиром ПЭГ. Постоянное удаление метанола в течение реакции приводит к эффективной пере-этерификации. Нижний путь — полимеризация этоксилированного акрилата. Этоксилированный мономер сополимеризуется с обычными мономерами, например с акриловой или метакриловой кислотами
Инертный характер ПЭГ-модифицированных поверхностей объясняется свойствами полимера в растворе и тем, что полимер не имеет заряда. Из-за большого дипольного момента полимер сильно сольватирован водой. В то же время его гомологи полиоксиметилен и полиоксипропилен, как и его изомер полиаце-тальдегид, не растворяются в воде и поэтому не используются для получения гидрофильных привитых полимеров.
Способность ПЭГ предотвращать адсорбцию белков и других биомолекул на поверхностях можно рассматривать как эффект стерической стабилизации (рис. 7). Такой тип стабилизации обычно можно представить в виде двух вкладов: упругого и осмотического. Упругая составляющая (или ограничение объема) определяется уменьшением конформационной энтропии при сближении двух поверхностей из-за уменьшения объема, доступного для каждого полимерного сегмента. При подходе молекулы белка к поверхности, модифицированной ПЭГ, возникает сила отталкивания из-за потери конформационной свободы полиоксиэтиленовых цепей.
Характеристики
Тип файла документ
Документы такого типа открываются такими программами, как Microsoft Office Word на компьютерах Windows, Apple Pages на компьютерах Mac, Open Office - бесплатная альтернатива на различных платформах, в том числе Linux. Наиболее простым и современным решением будут Google документы, так как открываются онлайн без скачивания прямо в браузере на любой платформе. Существуют российские качественные аналоги, например от Яндекса.
Будьте внимательны на мобильных устройствах, так как там используются упрощённый функционал даже в официальном приложении от Microsoft, поэтому для просмотра скачивайте PDF-версию. А если нужно редактировать файл, то используйте оригинальный файл.
Файлы такого типа обычно разбиты на страницы, а текст может быть форматированным (жирный, курсив, выбор шрифта, таблицы и т.п.), а также в него можно добавлять изображения. Формат идеально подходит для рефератов, докладов и РПЗ курсовых проектов, которые необходимо распечатать. Кстати перед печатью также сохраняйте файл в PDF, так как принтер может начудить со шрифтами.















