166186 (740152), страница 2
Текст из файла (страница 2)
Роль пестицидов в загрязнении почв.
Сразу же после внедрения органических средств борьбы с сельскохозяйственными вредителями (пестицидов) последние стали попадать в почву. Это было отмечено еще в начале 1940-х гг., когда первый пестицид ДДТ был с успехом применен для уничтожения малярийного комара (анофелеса). В первое время проникновению пестицидов в почву не придавалось особого значения, однако позднее стали разрабатываться методы обнаружения распада пестицидов в почве, их адсорбцию в почвах. При изучении распада этих веществ прежде всего оценивалась скорость распада вещества и время необходимое для полного распада. Необходимо изучать также дальнейшее поведение продуктов распада в почве в их токсичность. Подлежит изучению и адсорбция пестицидов в почве, для чего часто используют метод средних проб двух образцов почв и осадков. Пестициды накапливаются в почве в результате диффузии в кристаллические решетки минералов (глин), при отложения их в гумусах при их проникновении в полости частиц гумуса. Исследования по выяснению превращения пестицидов в почвах и их взаимодействия с другими веществами систематически не проводились.
Трудность установления длительности пребывания пестицидов в почве усугубляется еще и тем, что наряду с известными путями проникновения пестицидов в почву имеются и такие источники, как дожди и туманы, которые мало изучены и плохо поддаются контролю. В США, например, в 1 литре дождевой воды было обнаружено 11 различных пестицидов в концентрациях порядка микрограммов. При этом кратковременные дожди несут больше загрязний, чем длительные, а концентрация некоторых пестицидов в дождевой воде оказывается больше, чем в свое время для ДДТ. В тумане концентрация пестицидов превосходит в 50-3000 раз концентрацию их в газовой фазе. Особенно интенсивно извлечение пестицидов из туманов протекает над лесами, после чего устойчивость пестицидов длительное время нарушает экологическую систему лесов и прилегающих пространств.
О поведении большинства пестицидов в почве существуют только общие предположения (3, ст. 144-147). В отдельных случаях имеются и более полные сведения, известно, что хлорсодержащие соединения, особенно в анаэробных условиях, отщепляют атомы хлора при замещения их группами -ОН. При этом биологическая активность вещества значительно снижается. В аэробных условиях хлорсодержащие углеводороды обладают исключительной устойчивостью. В анаэробных условиях группы N02 восстанавливаются до NН2. Легко гидролизируются сложные эфиры фосфорной кислоты и метилкарбаматы.
Устойчивость отдельных представителей важнейших классов пестицидов в почвах может быть схематически охарактеризована следующим рядом уменьшения устойчивости: хлорсодержащие углеводороды - от 2 до 5 лет; производные мочевины, S-триазины - от 2 до 18 мес; карбаматы, сложные эфиры фосфорной кислоты - от 2 до 12 недель.
При определении пестицидов в почве возникают трудности, связанные с возможностью их взаимодействия с органическими комповдпаии почвы, особенно сложно определение ароматических аминов н фенолов, которые могут ковалентно связываться с гумином. Таким образом, пестициды могут сохраняться до разрушения самих гуминовых веществ. Биологическая активность пестицида при этом может вновь восстановиться.
Биотическое и абиотическое разложение пестицидов.
Попавшие в природную среду пестициды могут разрушаться как абиотическим, так и биотическим путем. В первом случае превращение осуществляется за счет фотохимических реакций, окислительно-восстановительных реакций и гидролиза. При биотических ( под действием ферментов) превращениях особое значение имеют реакции окисления, восстановления, гидролиза, разрыва углеродных цепей. В фотохимическом окислении особо важную роль играют реакции под действием обладающих большой энергией УФ-лучей. При поглощения веществом УФ-излучения часто происходят гомолитическое расщепление связи С-С1, которое сопровождается другими рекциями. Образующиеся при этом радикалы могут дальше взаимодействовать с галогенами, водой или другими донорами протонов, как это видно на примере ДДТ:
Эта реакция вблизи от земной поверхности протекает в незначительной степени, так как для ее осуществления требуется УФ-излучение с длиной волны больше 290 нм, а интенсивность этих лучей около поверхности Земли крайне невелика. При взаимодействии пестицидов, содержащих в своем составе ароматические компоненты, с соответствующими твердыми веществами, область поглощения УФ-лучей смещается в длинноволновую область (батохромный сдвиг), что обеспечивает достаточную интенсивность околоземного длинноволнового излучения.
Среди окислительно – восстановительных реакций большую роль играют реакции окисления, поскольку они катализуются ионами тяжелых металлов.
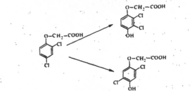
Биотические процессы распада протекают значительно быстрее, чем абиотические. Скорость распада зависит от концентрации ферментов, и от количества микроорганизмов, подлежащих обработке соответствующим пестицидом, как правило, процессы метаболизма в организмах теплокровных животных осуществляются быстрее, чем в организмах, не имеющих собственной системы терморегуляции. Большую роль в разрушении загрязняющих веществ имеют процессы окисления. Катализаторами этих процессов служат специфические смеси ферментов – оксигеназ и дегидроксигеназ. Возможно окисление спиртов в альдегиды и альдегидов в карбоновые кислоты. При окислении двойной связи —С = С— образуются эпоксиды. При гидролизе ароматических соединений возможно перемещение заместителей в ядре, как например, у 2,4-дихлорфеноксиуксусной кислоты (2,4-Д):
Среди реакций восстановления можно назвать превращение кетонов во вторичные спирты и нитросоединений в амины.
Среди процессов биотического распада особое значение имеют реакции окисления и восстановления, ведущие к образованию соединения с повышенной растворимостью в воде, например, соединения с гидроксильнымн группами. Эти метаболиты легко выводятся из многоклеточных организмов, в том числе н человека через специальные органы и выходят из обмена веществ организма. Таким образом возможно освобождение организма от ядовитых веществ, если даже сами метаболиты остаются токсичными.
Альтернативные методы борьбы с вредителями.
Современные пестициды, как было показано выше, имеют низкую токсичность. Выборочно действуют на насекомых – паразитов, но их использование всегда будет нести риск передозировки. Кроме того у вредителей очень быстро вырабатывается резистентность к действию пестицидов. Поэтому ученые обратили свое внимание на создание нетоксичных веществ и микроорганизмов доя борьбы с вредителями. Ведь биологические препараты для защиты растений от вредителей и болезней вызывают массовую гибель вредителей, подавляют развитие фитопатогенов, экологически безопасны, их использование является альтернативой химическим средствам защиты растений.
В 80-х годах 20-го столетия широкое развитие получили исследования по разработке и применению биологических средств защиты растений, основанных на использовании комплекса биологических агентов – грибов-энтомопатогенов и антагонистов, бактериальных препаратов, акароэнтомофагов, которые в своем взаимодействии создают устойчивое биологическое равновесие в системе растение – вредный организм на экономически безопасном уровне. Были разработаны системы защиты растений:
-
для защиты овощных культур закрытого грунта с преимущественным использованием полезных организмов, где химической защите отводится вспомогательная роль страхового механизма,
-
для защиты сельскохозяйственных культур открытого грунта с чередованием обработок химическими и биологическими препаратами, для снижения химического пресса и устойчивости популяций вредных организмов к ядохимикатам,
-
разовое внесение биологических средств защиты растений для решения конкретных задач подавления отдельных видов вредных организмов.
Биологический метод защиты растений имеет огромные перспективы развития и не имеет альтернатив в организации экологического земледелия. Как пример можно рассмотреть препарат "Колорадо" – биологический инсектицид для борьбы с колорадским жуком, он был получен с помощью микробиологического синтеза на основе энтомопатогенных бактерий и состоит из бактериального вещества и наполнителей.
Колорадский жук, повсеместно распространенный в европейской части России, уничтожает до 30% урожая картофеля, томатов, баклажан. Для борьбы с колорадским жуком используются, в основном, химические препараты, однако, они – не безопасны, загрязняют окружающую среду, в некоторых районах их применение запрещено по санитарным нормам, в том числе в регионах, поставляющих детское и диетическое питание, в водозаборных зонах. Препарат "Колорадо" предназначен для защиты растений от колорадского жука в период их развития. В
отличии от химических препаратов "Колорадо" не влияет на развитие растений и не накапливается в растениях, разрушается в почве и не загрязняет окружающую среду, безопасен для человека и животных, рыб, птиц, пчел, полезных насекомых.
Триходермин – биологический препарат, изготавливаемый на основе грибов рода Trichoderma. Грибы этого рода подавляют развитие фитопатогенов путем прямого паразитизма, конкуренции за субстрат, выделения ферментов, антибиотиков (глиотоксин, виридин, триходермин), за счет высокой биологической активности быстро осваивают субстрат, активно разлагают органические соединения, принимают участие в процессах амонификации и нитрификации, усилении мобилизации фосфора и калия, обогащая почву подвижными питательными веществами. Биологически активные вещества, которые выделяются триходермой, стимулируют рост и развитие растений, повышают их стойкость к болезням. При применении препарата урожайность огурцов и томатов повышалась в среднем на 15-30%.
Ризоплан - экологически чистый, безвредный для человека и животных биологический препарат, действующим элементом которого являются живые клетки штамма ризосферных бактерий, которые способны эффективно подавлять развитие возбудителей бактериальных и грибковых заболеваний растений.
В процессе вегетации эти бактериальные клетки активно заселяют поверхность корней и листвы, положительно влияют на жизнедеятельность растений, препятствуют поражению их фитопатогенными бактериями и грибами.
Ризоплан показал высокую эффективность в борьбе с болезнями овощных культур и картофеля. При использовании биопрепарата путем опрыскивания вегетирующих растений урожайность томатов повышалась на 12-20%, огурцов - от 10 до 42%, капусты - на 12-14%.
Как видим использование биологических методов защиты растений имеет очень большое значение. Перспективы этих методов защиты очень велики, поскольку биопрепараты нетоксичны, избирательны в своем действии, экологически чисты и их использование более оправдано экономически.
Заключение
В настоящее время пестициды являются основными средствами защиты растений, животных и различных материалов от повреждений разнообразными организмами. Например, в России в 1992 году пришлось вести борьбу с саранчой на площади около 2 млн га, что потребовало использования военных самолетов, так как саранча за один день способна уничтожить растительность на огромных площадях. В 1995 году в Красноярском крае сибирским шелкопрядом было повреждено 600 тыс. га леса. Борьба с шелкопрядом велась с привлечением сил МЧС. Использование химических методов защиты от вредителей в нашей стране является основной. Но развивается и использование биопрепаратов. Учитывая большую работу, проводимую в области создания новых пестицидов и подбора ассортимента, можно надеяться, что будет уменьшаться вредное воздействие и увеличиваться избирательность действия пестицидов на различные живые организмы. Одним из серьезных недостатков современных препаратов, особенно инсектицидов, является приобретение нежелательными организмами резистентности (устойчивости) к применяемым препаратам, которая в настоящее время преодолевается использованием смесей пестицидов с различным механизмом действия. Использование биопрепаратов и природных врагов вредителей может привести к почти полному отказу от использования химических пестицидов, что уменьшит экологическую нагрузку на окружающую среду.
Список использованной литературы
-
Лагунов А. Г. Пестициды в сельском хозяйстве. М.: Химия, 1988, 342 с.
-
Николаев Ю. Н. Защита растений. М.: Сельское хозяйство, 1991, 244 с.
-
Фелленберг Г. Загрязнение природной среды. Введение в экологическую химию. Пер. с нем. М. : Мир, 1997, 232 с.
4















