165976 (740039)
Текст из файла
Спектральные методы анализа. Спектры, способы их получения, особенности, классификация и использование для аналитических целей. Основные элементы спектральных приборов и их назначение
Спектральные методы анализа - это методы, основанные на определении химического состава и строения веществ по их спектру.
Спектром вещества называют упорядоченное по длинам волн электромагнитное излучение, испускаемое, поглощаемое, рассеиваемое или преломляемое веществом. Методы, основанные на получении и изучении спектров испускания (эмиссии) электромагнитного излучения (энергии), называют эмиссионными, поглощения (абсорбции) - абсорбционными, рассеяния - методами рассеяния, преломления - рефракционными.
Спектр вещества получают, воздействуя на него температурой, потоком электронов, световым потоком (электромагнитной энергией) с определённой длиной волны (частоты излучения) и другими способами. При определённой величине энергии воздействия вещество способно перейти в возбуждённое состояние. При этом происходят процессы, приводящие к появлению в спектре излучения с определённой длиной волны (табл.2.2.1).
Излучение, поглощение, рассеяние или рефракция электромагнитного излучения может рассматриваться как аналитический сигнал, несущий информацию о качественном и количественном составе вещества или о его структуре. Частота (длина волны) излучения определяется составом исследуемого вещества, а интенсивность излучения пропорциональна числу частиц, вызвавших его появление, т.е. количеству вещества или компонента смеси.
Каждый из аналитических методов обычно использует не полный спектр вещества, охватывающий диапазон длин волн от рентгеновских излучений до радиоволн, а только определённую его часть. Спектральные методы обычно различают по диапазону длин волн спектра, являющемуся рабочим для данного метода: ультрафиолетовые (УФ), рентгеновские, инфракрасные (ИК), микроволновые и т.д.
Методы, работающие в УФ, видимом и ИК диапазоне называют оптическими. Они больше всего применяются в спектральных методах вследствие сравнительной простоты оборудования для получения и регистрации спектра.
Спектры оптического диапазона являются результатом изменения энергии атомов или молекулах.
Таблица 2.2.1
| Вид излучения | Атомные и молекулярные процессы | Источники возбуждения | Детекторы излучения | ||||
| , нм | название | ||||||
| 10-3 | -излучение | Ядерные | Циклотроны | Счётчики Гейгера, | |||
| 10-2 | Рентгеновское | реакции | сцинциляционные счётчики, фотопластины | ||||
| 10-1 | Переходы внешних | Рентгеновские трубочки | |||||
| 100 | электронов | ||||||
| 101 | УФ ваккумное | ||||||
| 2·102 | УФ дальнее | Переходы внешних электронов | Рентгеновские трубочки, искра, пламя, дуга | Фотоэлементы, фотоматериалы | |||
| 3·102 | УФ ближнее | ||||||
| 375-750 | Видимое | Глаз, фотоэлемент | |||||
| 104 | ИК ближнее | Колебания молекул | Нагретые металлические нити | Вакуумные термопары, | |||
| 105 | Дальнее | Вращение молекул | боллометры | ||||
В результате изменения энергии атома или молекулы они переходят из основного состояния с минимально возможной внутренней энергией Е0 в возбужденное состояние с энергией Е1. Внутренняя энергия является величиной дискретной (квантовой), поэтому переход атома или молекулы из основного состояния в другое всегда сопровождается скачкообразным изменением энергии, т.е. получением или отдачей порции (кванта) энергии.
Квантами электромагнитного излучения являются фотоны, энергия которых связана с частотой и длиной волны излучения известным соотношением
Е = h · =
,
где Е = Е1 - Е2, Е1 - энергия начального, а Е2 - энергия конечного состояния атома или молекулы, между которыми происходит переход; h - постоянная Планка; с - скорость света; - частота; - длина волны электромагнитного излучения.
При возбуждении атома происходит перемещение электронов с внешних заполненных уровней на незаполненные более высокие энергетические уровни.
В возбуждённом состоянии атом не может долго находиться. Он стремится отдать полученную избыточную энергию и возвратиться в невозбуждённое состояние. Через очень короткое время (10-8 - 10-7с) атом самопроизвольно возвращается из возбуждённого состояния в основное или промежуточное.
При переходе электрона с верхнего уровня на нижний выделяется фотон - квант излучения с определёнными и .
Схематично электронные переходы в атомах между различными состояниями, сопровождающиеся испусканием и поглощением квантов электромагнитного излучения, можно представить в виде схемы (рис.2.2.1).
Горизонтальными линиями на рис.2.2.1. изображены уровни энергии различных состояний атома. Уровень Е0 это уровень основного состояния; Е1, Е2, Е3 - уровни возбуждённых состояний в порядке возрастания их энергии. Вертикальные стрелки соответствуют испусканию (стрелка вниз) или поглощению () фотона. Очевидно, что
01 = 10, 13 = 31 и т.д.
Совокупность фотонов, испускаемых или поглощаемых при каком - либо одном электронном переходе атома, создающая излучение с одной длиной волны, называется спектральной линией. Длина волны спектральной линии может быть определена из соотношения =
. Совокупность спектральных линий, относящихся к определённому атому (молекуле), образует спектр данного атома (молекулы).
Спектр, обусловленный переходом при Е1 Е2, называется спектром испускания, а при Е1 Е2 - спектром поглощения. Переходы и соответствующие спектральные линии, проходящие с основного энергетического уровня или на него, называются резонансными.
Для возбуждения спектральной линии необходима определённая энергия, называемая потенциалом возбуждения. Если сообщить атому слишком большую энергию, то может произойти полное удаление электрона, т.е. ионизация атома. Необходимая для этого энергия называется потенциалом ионизации. Резонансные линии самые яркие и характеризуются наименьшим потенциалом возбуждения.
Изменение энергии молекулы сопровождается изменением как энергии колебаний и вращений, т.е. у молекулы нет чисто электронных переходов, а возможны только электронно-колебательно-вращатель-ные (ЭКВ) переходы. Число возможных ЭКВ переходов у молекулы значительно больше, чем у атомов, поэтому, как правило, спектры молекул сложнее и состоят из большего числа спектральных линий в оптическом диапазоне длин волн. Принципиальную схему энергетических уровней молекулы можно представить следующим образом (рис.2.2.2).
Рис.2.2.2. Схема энергетических уровней молекулы
Как для молекул, так и для атомов проявляются не все мыслимые переходы. Переходы регламентируются так называемыми правилами отбора: разрешенными являются переходы, при которых квантовое число меняется на единицу (например, S p, p d и т.д.).
Для аналитических целей можно использовать как эмиссионные, так и абсорбционные спектры, поскольку они взаимосвязаны. Например, свет, излучаемый раскалёнными парами металлического натрия, пропущенный через призму, даёт две очень близкие желтые линии с длинами волн 589,0 и 589,6 мкм. Это так называемые D - линии натрия. С другой стороны, если пропускать полихроматический белый свет (т.е. Совокупность пучков света со всеми длинами волн) через пары натрия, а затем разложить его на составляющие цвета в стеклянной призме, то на фоне непрерывного спектра будут обнаружены две чёрные линии как раз на месте D - линий. Следовательно, пары натрия поглощают излучение именно с теми длинами волн, какие они испускают при возбуждении.
Это - общая закономерность, поэтому спектральный анализ можно проводить как по спектру испускания, так и по спектру поглощения. Первый способ удобен для анализа материалов, в которых легко возбуждается спектр испускания составляющих веществ, например металлов и газов, а второй - более удобен при анализе материалов, в которых трудно вызвать возбуждение составляющих веществ (например, растворы).
Эмиссионные спектры делятся на сплошные, полосатые, линейчатые (рис.2.2.3). Сплошные (или непрерывные) спектры содержат все длины волн в определённом интервале.
Их испускают раскалённые которые находятся на таких расстояниях друг от друга, что их излучение можно считать независимым. Газы и пары металлов имеют линейчатые спектры.
Линии в спектрах атомов расположены не беспорядочно, а объединяются в группы, называемые сериями. Расстояния между линиями в серии закономерно убывают по мере перехода от более длинных волн к более коротким.
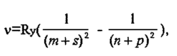
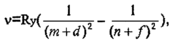
Бальмеером для простейшего линейчатого спектра водорода было обнаружено, что частоты спектральных линий в сериях, расположенных в различных областях электромагнитного излучения, находятся в определённой закономерной связи друг с другом, которую в общем виде для всех элементов выразили зависимостью
или в определённых случаях
где - частота, соответствующая каждой из рассматриваемых линий; Ry - постоянная Ридберга, равная 3,2898·1015 Гц;
m и n - целые числа (m - постоянное для каждой отдельной серии, а n - переменное);
s, p, d, f - малые десятичные дроби порядка 0,1…0,6.
Таким образом, частота любой спектральной линии может быть представлена разностью двух членов:
называемых спектральными термами или просто термами (от латинского terminus - пограничный знак). Оказалось, что различные термы могут попарно комбинироваться, давая начало новым сериям. Однако не все термы могут таким образом комбинироваться. Ограничения на комбинирование регламентируются правами отбора.
Физический смысл терма становится ясен, если умножить левую и правую части уравнения для на постоянную Планка h (равную 6,626 10-34 Дж с). Тогда левая часть уравнения h - энергия фотона, а правая - разность энергий. Следовательно, члены уравнения hТ1 и hТ2 - есть не что иное, как разность энергий энергетических уровней атома, получившего фотон при переходе из одного энергетического состояния в другое.
Любая серия спектральных линий обусловлена переходом электронов из ряда высших энергетических уровней на один определённый более низкий уровень (постоянный терм, первый член в правой части уравнения). Индивидуальные особенности атомов элементов, проявляющиеся в их спектрах, сказываются в поправочных членах серийных формул - s, p, d, f.
Атом каждого элемента характеризуется определённой системой энергетических уровней и, следовательно, определённым набором спектральных линий в спектре испускания. Поэтому спектры атомов могут быть использованы для их распознавания, т.е. Для качественного анализа.
Помимо величины длины волны спектральная линия имеет ещё одну важную характеристику - интенсивность. Интенсивность спектра испускания (эмиссии) связана с энергией, испускаемой возбуждёнными атомами или молекулами вещества.
Интенсивности спектров зависят от вероятностей переходов, от заселённости уровней, начальных для этих переходов.
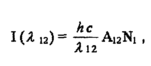
Для спектров испускания величину интенсивности () спектральной линии можно представить в виде
Характеристики
Тип файла документ
Документы такого типа открываются такими программами, как Microsoft Office Word на компьютерах Windows, Apple Pages на компьютерах Mac, Open Office - бесплатная альтернатива на различных платформах, в том числе Linux. Наиболее простым и современным решением будут Google документы, так как открываются онлайн без скачивания прямо в браузере на любой платформе. Существуют российские качественные аналоги, например от Яндекса.
Будьте внимательны на мобильных устройствах, так как там используются упрощённый функционал даже в официальном приложении от Microsoft, поэтому для просмотра скачивайте PDF-версию. А если нужно редактировать файл, то используйте оригинальный файл.
Файлы такого типа обычно разбиты на страницы, а текст может быть форматированным (жирный, курсив, выбор шрифта, таблицы и т.п.), а также в него можно добавлять изображения. Формат идеально подходит для рефератов, докладов и РПЗ курсовых проектов, которые необходимо распечатать. Кстати перед печатью также сохраняйте файл в PDF, так как принтер может начудить со шрифтами.
















