165836 (739973)
Текст из файла
ВВЕДЕНИЕ
Чай — один из самых древних напитков, известных человечеству. Сегодня чай стал неотъемлемой частью многих культур, однако достоверно известно, что история чая берёт своё начало в Древнем Китае.
Появление чая окутано множеством легенд. По одному из преданий, открытие этого напитка принадлежит прославленному императору Шэнь Нуну — Божественному Земледельцу (ок. 2737-2697 гг. до н. э.), который в китайской традиции также является богом — покровителем медицины. Однажды, прогуливаясь по своим бескрайним владениям, Шэнь Нун долго плутал среди неприступных горных вершин. Истомившись от жажды, он присел отдохнуть возле небольшого деревца, листья которого источали чудесный аромат. Внезапно подул сильный ветер, и с ветви деревца сорвался молодой листочек, который плавно опустился прямо в чашу с чистой родниковой водой. Попробовав получившийся настой, император был восхищён его нежно-зелёным цветом, удивительным вкусом и необычайно приятным ароматом. Сделав несколько глотков, он сразу ощутил прилив сил.
В древних летописях также говорится, что император Шэнь Нун, обладавший телом из прозрачного нефрита, неоднократно проверял на себе действие различных лекарственных трав. И вот однажды он обнаружат, что настой чайных листьев можно использовать как противоядие: «Шэнь Нун пробовал сто трав, в день встречал семьдесят две ядовитых, принял чай и освободился от действия яда». Китайские историки полагают, что Шэнь Нун является собирательным образом первобытных людей эпохи неолита. А это значит, что история чал насчитывает около 5-6 тысячелетий.
Однако китайцы не только пили чай с незапамятных времен, но и культивировали его. Согласно историческим источникам более 3 тыс. лет назад жители княжеств Ба и Шу (современная провинция Сычуань) уже выращивали чай и подносили его как дар верховным правителям.
Именно в Китае были найдены первые достоверные письменные свидетельства о чае.
1. СОСТАВ ЧАЯ
Чай — полезный и любимый многими напиток. Слово «чай» произошло от китайского «ча» — чай (напиток) или «чау» — чай (в листьях). Существует два вида чая: китайский и индийский (ассаматский чай). О чае упоминается в древнекитайских рукописях за 2700 лет до н. э. Из Китая эта культура распространилась и в другие страны Востока, а позднее и Запада.
Чайный лист состоит из воды, сухих веществ, экстрактивных веществ, алкалоидов, фенольных соединений, углеводов, азотсодержащих веществ неалкалоидной природы, гликозидов, пигментов, органических кислот, минеральных веществ, эфирных масел, альдегидов, смол, витаминов и ферментов.
Вода — главная составная часть чайного листа и та среда, в которой происходит взаимодействие веществ. Высокое содержание воды способствует энергичному протеканию биохимических реакций, а её дефицит приводит к снижению активности ферментных систем и, следовательно, к замедлению скорости протекания реакций.
Сухие вещества можно условно разделить на растворимые в горячей воде и нерастворимые. К первой группе относятся вещества, положительно влияющие на качество чая: фенольные соединения (танин, катехины, флавоновые и антоциановые гликозиды, фенолкарбоновые кислоты и т. д.), эфирные масла и альдегиды, кофеин, теобромин и теофиллин, аминокислоты, витамины, ферменты, водорастворимые углеводы, гидропектин, микро- и макроэлементы и др. Ко второй группе относятся балластные вещества, т. е. отрицательно влияющие на качество чая: высокомолекулярные полимеры (целлюлоза, гемицеллюлоза, лигнин, протопектин, пектиновая кислота), хлорофиллы, нерастворимые белки и т. п.
При огрублении чайного сырья содержание веществ первой группы постепенно уменьшается, а второй — увеличивается. В грубом чайном листе высокое содержание сухого вещества обусловливается в основном возрастанием количества балластных веществ.
Экстрактивными веществами или экстрактом называют водорастворимую фракцию сухого вещества. Нерастворимую фракцию, состоящую из балластных веществ, которые остаются в чае после заваривания, называют разваркой. Чем больше экстрактивных веществ, тем выше качество и биологическая ценность чая.
Алкалоиды — азотсодержащие вещества, широко распространённые в растительном мире. В чайном листе содержатся также алкалоиды, которые принадлежат к гетероциклическим соединениям и представляют собой органические основания, поэтому они дают соли с кислотами (винной, яблочной, лимонной и др.). В виде солей алкалоиды растворимы в воде.
В зависимости от химической природы входящего в состав азотного гетероцикла они разделяются на производные пиридина, пурина, индола и др. В чайном листе находятся производные пурина — кофеин, теобромин и теофиллин:
В чайном растении образуется и накапливается преимущественно кофеин, содержание которого может достигать 2-3%. Высокое содержание кофеина в чае указывает на его качество.
Кофеин широко применяется в медицине как стимулятор ЦНС, вызывает повышение жизнедеятельности всех тканей организма, усиливает обмен, дыхание и кровообращение, возбуждение корковых процессов, обладает также диуретическим действием. Субъективно общий эффект от физиологического воздействия кофеина на организм человека часто связывают с подъёмом активности, бессонницей и способностью сосредоточиться на утомительных работах. Такой эффект длится примерно 30 мин. Несмотря на то что кофеин в организме не накапливается, чрезмерное потребление чая (более 600 мг кофеина в день, что соответствует примерно 6 чашкам чая) может привести к своеобразному наркологическому заболеванию — «кофеизму» (беспокойство, сердцебиение, бессонница, головная боль и т. д.). Смертельная доза кофеина для человека составляет около 10 г (примерно 200 чашек чая). Поэтому отравления кофеином не происходит.
Как показывают последние исследования, кофеин и теофиллин способствуют уничтожению в организме энзима — вещества, которое может вызвать некоторые виды рака и образование тромбов.
Фенольные соединения. Эта группа составляет наиболее ценную часть зелёного чайного листа и представлена в основном катехинами (флавонол-3-олы) и их галловыми эфирами. Фенольные соединения включают в себя свыше 30 близких по природе соединений, их содержание достигает 25% сухой массы чайного листа. На катехины приходится 60-70% всех фенольных соединений. Они принимают участие в окислительно-восстановительных процессах, которые протекают при ферментации чайного листа, и тем самым влияют на вкус, цвет настоя и частично — аромат готового чая.
Кроме катехинов в чайном листе присутствуют гликозиды, а также простые полифенолы — фенолкарбоновые кислоты.
Галловая кислота в чайном растении содержится как в свободной, так и в связанной форме. Она легко выделяется при щелочном или ферментативном гидролизе сложных катехинов:
Эллаговая кислота в незначительном количестве содержится в японском чае:
Кофейная кислота обнаружена в индийском чайном листе ассамской разновидности:
В том же чае обнаружены хлорогеновая кислота — депсид, состоящий из связанных между собой хинной и кофейной кислот; м-дигалловая кислота и п-кумаровая кислота:
Углеводы — важная группа химических соединений, входящих в состав чайного растения.
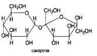
Водорастворимые углеводы — глюкоза и фруктоза имеют одинаковую эмпирическую формулу С6H12О6. Они отличаются тем, что в глюкозе содержится альдегидная группа, а во фруктозе — кетонная:
При соединении одной молекулы глюкозы и одной молекулы фруктозы образуется дисахарид — сахароза:
Со временем в чайном листе увеличивается содержание моносахаридов и сахарозы.
Среди полисахаридов в чае обнаружены целлюлоза, гемицеллюлоза и крахмал. Целлюлоза — основной структурный полисахарид клеточной стенки растения. В зависимости от вегетационного периода содержание целлюлозы составляет от 6 до 10%. По мере старения листа её количество резко увеличивается. В производстве чая её считают балластным веществом, так как она не участвует в формировании качественных показателей продукции.
Азотсодержащие вещества неалкалоидной природы представляют собой белковые вещества, аминокислоты и амиды чая. Белки — сложные высокомолекулярные природные соединения (полипептиды), построенные из остатков а-аминокислот. Белки делятся на простые, или протеины, и сложные, или протеиды. Протеины состоят из остатков аминокислот, а протеиды — из протеинов, с которыми прочно связаны соединения небелковой природы (углеводы, липиды, нуклеиновые кислоты, металлы и т. д.).
Протеины по растворимости делятся на шесть групп: альбумины (водорастворимые), глобулины (растворимые в слабых растворах нейтральных солей), проламины (спирторастворимые), глютелины (щёлочно-растворимые), протамины и гистоны (растворимые в органических растворителях). В чайном листе встречаются главным образом протамины, альбумины, глютелины и глобулины. Содержание общего белка в нежных листьях достигает 30%.
Гликозиды рассматривают как сложные вещества, которые состоят из двух компонентов, соединённых гликозидным гидроксилом: одного - сахара, а другого - несахара, или агликона. В гликозидах сахарами могут быть глюкоза, фруктоза, рамноза, ру-тиноза и др. В качестве агликонов могут быть различные соединения: альдегиды, спирты, кетоны, фенолы, производные ксантина, флавона, антоцианиды и т. д. Чайный лист содержит в основном три группы гликозидов: флавонолы, антоцианы и лейкоантоцианы. Все они могут принимать определённое участие в формировании качественных показателей готового чая. Большинство из них окрашенные соединения (кроме лейкоантоцианов), кроме того, все они характеризуются вяжущим, горьковатым вкусом и в различной степени обладают Р-витаминными свойствами.
Флавонолы в чайном листе представлены моно-, ди- и тригликозидами трёх агликонов — кемпферола, кверцетина и мирице-тина: обусловливают целую гамму различной окраски
Антоцианы — пигменты, объединяющие группу красящих веществ растений, которые
окраски плодов, листьев, цветков и других органов растений. Они состоят из агликонов — антоцианидинов и углеводной части, которая в основном представлена глюкозой, рамнозой и галактозой.
Антоцианиды, входящие в состав антоцианов, обычно делят на три группы — пеларгонидина, цианидина и дельфинидина:
дельфинидин
Лейкоантоцианы — вещества, которые накапливаются в органах чайного растения в сравнительно меньшем количестве, чем другие гликозиды. Агликонами этих гликозидов являются лейкоцианидин и лейкодельфинидин:
К основным группам пигментов растительного происхождения, принимающих непосредственное участие в фотосинтезе, относятся хлорофиллы и каротиноиды.
В молекуле хлорофилла имеется четыре пиррольных кольца, соединённых друг с другом с помощью радикалов СН. Хлорофилл — сложный эфир двухосновной кислоты и двух спиртов — метилового и высокомолекулярного непредельного фитола. Соотношение хлорофиллов а и ft во всех элементах побега остаётся почти одинаковым и примерно составляет 2:1.
Характеристики
Тип файла документ
Документы такого типа открываются такими программами, как Microsoft Office Word на компьютерах Windows, Apple Pages на компьютерах Mac, Open Office - бесплатная альтернатива на различных платформах, в том числе Linux. Наиболее простым и современным решением будут Google документы, так как открываются онлайн без скачивания прямо в браузере на любой платформе. Существуют российские качественные аналоги, например от Яндекса.
Будьте внимательны на мобильных устройствах, так как там используются упрощённый функционал даже в официальном приложении от Microsoft, поэтому для просмотра скачивайте PDF-версию. А если нужно редактировать файл, то используйте оригинальный файл.
Файлы такого типа обычно разбиты на страницы, а текст может быть форматированным (жирный, курсив, выбор шрифта, таблицы и т.п.), а также в него можно добавлять изображения. Формат идеально подходит для рефератов, докладов и РПЗ курсовых проектов, которые необходимо распечатать. Кстати перед печатью также сохраняйте файл в PDF, так как принтер может начудить со шрифтами.















