165719 (739918)
Текст из файла
18
Выдвижение гипотез о механизмах реакций
Выдвижение гипотез о механизмах исследуемых реакций является одним из этапов рациональной стратегии построения кинетических моделей. В случае каталитических реакций можно выделить следующие уровни гипотез:
-
гипотезы о состоянии катализатора, о природе активных центров;
-
гипотезы о возможных элементарных стадиях, которые могли бы реализоваться на данном катализаторе с выбранным набором реагентов;
-
гипотезы об отдельном механизме (схема механизма) образования заданных продуктов с минимальным набором маршрутов;
-
анализ узлов сопряжения маршрутов образования различных пар продуктов;
-
гипотеза о максимальном механизме (реакционная сеть, chemical reaction network) с анализом всех узлов сопряжения между интермедиатами.
Гипотезы о состоянии катализатора, о механизмах формирования активных центров из предшественников и о природе активного центра чрезвычайно важны для перехода к гипотезам следующего уровня – к элементарным стадиям (ЭС) и реакционным сетям (РС). Рассмотрим два характерных примера из области металлокомплексного катализа. В реакциях, катализируемых комплексами Pd из предшественников PdX2 и PR3 могут сформироваться в зависимости от реагентов и среды комплексы Pd(II) – PdX2(PR3)2, Pd(0) – Pd(PR3)n и Pd(I) – Pd2X2(PR3)2. Очевидно, что палладий в разных степенях окисления будет способен участвовать в разных по природе стадиях механизма. Например, Pd(II) – окислитель, акцептор пар электронов, мягкая апротонная кислота, а Pd(0) – восстановитель, донор пар электронов, мягкое основание. Так, механизмы одной и той же реакции алкоксикарбонилирования ацетилена с образованием акрилата (А) на этих двух частицах в спиртовых растворах принципиально различны:
В первом случае вначале активируется спирт (SE), а затем СО и С2Н2, во втором – реакция начинается с окислительного присоединения HX, затем в реакцию вступают ацетилен, СО и ROH. Таким образом, выбор возможных стадий и схем механизма прежде всего определяется свойствами металлокомплекса в растворе или свойствами активного центра на поверхности.
Выдвижение гипотез – процедура творческая, основанная на знаниях и интуиции. Вместе с тем, существуют и частично или полностью формализованные методы, которые позволяют получить максимально полные наборы гипотез при заданных ограничениях. Рассмотрим некоторые из них.
Использование условий ортогональности
.
Условие ортогональности стехиометрической матрицы механизма
и атомной матрицы
позволяет восстановить матрицу В, если заданы все участники реакции и возможные интермедиаты, т.е. найти все возможные элементарные стадии образования и превращения заданных интермедиатов при определенных ограничениях, например, на молекулярность ЭС. Этот путь, однако, не очень эффективен, поскольку придумать интермедиаты процесса не легче, чем весь механизм, и процедура формального поиска взаимосвязей между интермедиатами (ЭС) незначительно облегчает задачу.
Математическая модель структурной химии Дугунджи-Уги.
В рамках этой модели каждая химическая реакция рассматривается как изомеризация ансамблей атомов – ансамбля реагентов в ансамбль продуктов. Например, реакция (1)
(1)
катализируется катализатором М. Тогда исходный ансамбль (ЕМисх) есть {M, HCl, C2H2}, а конечный ансамбль (ЕМкон) – {M, CH2=CHCl}. Число атомов каждого сорта в процессе изомеризации ансамбля не меняется (N = const). Атомы, входящие в ансамбль А =
ЕМисх ЕМ1 ЕМ2 ЕМкон
Каждый ансамбль атомов представляется специальной be-матрицой (bond-electron), а переход исходного ансамбля В в конечный ансамбль Е в каждой реакции осуществляется с помощью реакционной R-матрицы
B + R = E (2)
Например, для реакции
(3)
матрицы В, Е и R являются квадратными матрицами, недиагональные элементы которых bij равны числу связей атома i и атома j, а диагональные элементы bij (i = j) равны числу валентных электронов на атоме i в соответствующем соединении. R = E – B.
Для генерации гипотез этим методом используют набор стандартных R матриц, и каждую матрицу применяют к каждому последующему ансамблю или находят все возможные R-матрицы, удовлетворяющие заданным ограничениям и с ними генерируют все изомерные матрицы.
Компьютерные программы MeChem и ChemNet
Программа MeChem генерирует из исходных веществ интермедиаты при большом объеме заданных ограничений и правил до тех пор, пока не получатся продукты и итоговые уравнения каталитической реакции. Программа генерирует простейшие механизмы реакций. Программа ChemNet использует банк обобщенных трансформаций, т.е. ЭС, записанных в общем виде. В зависимости от поставленной задачи трансформации могут быть записаны с различной степенью обобщения. Например, ЭС (4)
(4)
можно записать в виде трансформации
(5)
и тогда этой трансформации будут подвергаться все интермедиаты со связью M-O. Программа узнает в каждом интермедиате фрагмент, который может участвовать в той или иной трансформации:
Трансформации отбираются исследователем для генерации механизмов (РС) изучаемой реакции. Размерность РС зависит от числа выбранных трансформаций и от степени обобщения, заложенной при выборе трансформации (Приложение к разделу 4).
Программа ChemComb.
Формализованная комбинаторная программа, также основанная на банке трансформаций. Позволяет получить полный набор механизмов, возможных на выбранном множестве трансформаций. Разберем подробнее алгоритм действия этой программы, который может быть реализован без компьютера.
Получим набор простейших механизмов реакции (1), протекающей с участием металлокомплексных катализаторов М. Для осуществления реакции (1) необходимо провести минимальный набор следующих преобразований исходных молекул с участием катализатора:
| Операция | Код операции |
| Разрыв связи H-Cl | А |
| Разрыв связи СС до С=С | Б |
| Образование связи C-Cl | В |
| Образование связи С-Н | Г |
Набор кодов операций АБВГ представляет собой минимальную формулу превращений, которая и даст минимальный механизм. Для более полного набора механизмов можно еще разорвать связь С-Н в ацетилена и образовать 2 связи С-Н. Тогда и формула превращений будет сложнее и число комбинаторных вариантов больше. Имея формулу превращений, выбираем из библиотеки стадий трансформации, записанные в обобщенной форме (Приложение к разделу 4).
Код А
A1
A2
A3
A4Г1
В этой трансформации одновременно реализуются две операции – разрыв HCl (A) и образование С-Н (Г)
A5
(стадия без участия М)
Код Б
Б1В3
Б2Г3
Б3Г5
Б4
При выборе трансформаций важно проследить, чтобы при образовании каких-либо веществ (H+, Cl–,
и др.) были записаны и стадии, в которых эти вещества являются реагентами.
Код В
В1
В2
В4
Код Г
Г2
Г4
Из выбранных трансформаций, т.е. из полученных кодов набираем простым комбинаторным путем все возможные комбинации, обеспечивающие выбранную формулу превращений АБВГ.
А1В1Б2Г3 А2В1Б2Г3
А1В1Б3Г5 А2В1Б4Г5
А1В1Б4Г2 А2В1Б4Г2
А1В1Б4Г4 А3В1Б4Г4
А1В2Б2Г3 А2В2Б2Г3
А1В2Б3Г5 А2В2Б4Г5
А1В2Б4Г2 А2В2Б4Г2
А1В2Б4Г4 А3В2Б4Г4
А1В3Б1Г2 А2В3Б1Г1
А1В3Б1Г4 А2В3Б1Г4
А1В4Б2Г3 А2В4Б2Г3
А1В4Б3Г5 А2В4Б4Г5
А1В4Б4Г2 А2В4Б4Г2
А1В4Б4Г4 А3В4Б4Г4
и т. д.
Всего получается 60 наборов. Полученные наборы необходимо проанализировать, чтобы установить, имеют ли полученные комбинации химический смысл – имеется стыковка по интермедиатам, образуются целевые продукты, образуется исходная форма катализатора.
Рассмотрим 2 примера.
А1В1Б2Г3
А1
Б2Г3
В1
Механизм может быть интерпретирован, имеет химический смысл:
А3В1Б2Г3
А3
Б2Г3
В1
Механизм не имеет химического смысла, так как нет образования МН, нет расхода Н+, нет стыковки по интермедиатам.
Из 60 комбинаций только 10 механизмов имеют химический смысл, но это полный набор гипотез для выбранного набора трансформаций.
Рассмотрим примеры использования компьютерных программ для выдвижения гипотез о механизмах и их дискриминации в Лаборатории кинетики и катализа кафедры Химии и технологии основного органического синтеза МИТХТ им. М.В.Ломоносова.
Для выдвижения гипотез о механизмах синтеза акриловой кислоты по реакции
(6)
в растворах комплексов палладия использовали 11 трансформаций:
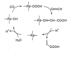
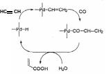
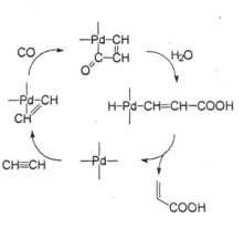
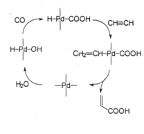
С помощью программы ChemNet получили реакционную сеть из 160 элементарных стадий, а программа MeChem “вырезала” из сети 35 механизмов синтеза акриловой кислоты (реакция 6), среди которых были все известные механизмы и ряд новых гипотез. Четыре гипотезы из наиболее интересных представлены ниже:
При изучении механизма реакции
Характеристики
Тип файла документ
Документы такого типа открываются такими программами, как Microsoft Office Word на компьютерах Windows, Apple Pages на компьютерах Mac, Open Office - бесплатная альтернатива на различных платформах, в том числе Linux. Наиболее простым и современным решением будут Google документы, так как открываются онлайн без скачивания прямо в браузере на любой платформе. Существуют российские качественные аналоги, например от Яндекса.
Будьте внимательны на мобильных устройствах, так как там используются упрощённый функционал даже в официальном приложении от Microsoft, поэтому для просмотра скачивайте PDF-версию. А если нужно редактировать файл, то используйте оригинальный файл.
Файлы такого типа обычно разбиты на страницы, а текст может быть форматированным (жирный, курсив, выбор шрифта, таблицы и т.п.), а также в него можно добавлять изображения. Формат идеально подходит для рефератов, докладов и РПЗ курсовых проектов, которые необходимо распечатать. Кстати перед печатью также сохраняйте файл в PDF, так как принтер может начудить со шрифтами.















