165437 (739676), страница 2
Текст из файла (страница 2)
Т
ак, при взаимодействии ди(трифенилфосфин)платины с этиленом (представляющим собой плоскую молекулу) образуется комплекс, сокращенно обозначаемом (Ph3P)2Pt(2-C2H4), в котором атомы водорода в молекуле этилена более не лежат в плоскости, а отклонены на угол , что является мерой прочности донорно-акцепторных связей. Такое изменение конфигурации заместителей усиливается при наличии в молекуле этилена более электроноакцепторных заместителей, чем водород. С раствором фуллерена-60 в толуоле (Ph3P)2Pt(2-C2H4) образует окрашенный в изумрудно-зеленый цвет комплекс (Ph3P)2Pt(2-C60).
И
нтересно, что образование комплекса, включающего шесть атомов платины, и соответственно имеющего на 6 двойных связей меньше, чем исходный фуллерен, увеличивает степень делокализации электронов в оставшихся бензольных кольцах. Иными словами, образовавшаяся структура имеет более ароматический характер, чем сам фуллерен-60. Проявлением этого является уравнивание длин углерод-углеродных связей в восьми шестиугольниках:
Нуклеофильное присоединение
Проявление молекулой C60 окислительный свойств по отношению к щелочным металлам, как было показано ниже, указывает на то, что фуллерен является электронодифицитной молекулой. Рассмотрение же химического строения молекулы представляет фуллерен скорее как сопряженный полиен, в составе могут быть выделены фрагменты структуры искаженного [5]-радиалена и циклогексатриена, чем как “сверхароматическое” соединение. Характерной реакцией такого полиена оказывается нуклеофильное присоединение. Уникальность фуллерена в этом случае заключается в исключительном разнообразии образующихся продуктов, что создает большие трудности для выделения их в чистом виде.
Ф
уллерен-60 легко взаимодействует с литийорганическими соединениями и реактивами Гриньяра, образуя в качестве первичных интермедиатов анионы RC60-. Процесс проходит очень быстро; например, в толуоле осадок солей выпадает практически мгновенно:
Дальнейшая обработка, например, раствором хлороводорода в метаноле позволяет получить производные гидрофуллеренов, а йодистым метилом - метилфуллеренов:
С
родство фуллерена к С-нуклеофилам может проявляться в возможности получения полимеров C60. Такие фуллерены (Рисунок 4) представляют интерес по следующим соображениям: 1) свойства полимера сочетаются со свойствами фуллерена, 2) при соответствующем подборе мономеров они могут образовывать плотные мономолекулярные пленки, проявлять устойчивость к растворителям и быть неплавкими, а также 3) обладать необычными электрическими, оптическими и каталитическими свойствами.
Рисунок 4. Четыре прототипа полимеров, включающие структурную единицу C60: а) прикрепленные к цепи, б) прикрепленные к поверхности (привитые), в) дендритные (ветвящиеся), г) цепочечные.
О
дним из способов получения, например, привитых полимеров, может служить следующая схема (в качестве основы использована полиэтиленовая пленка с поверхностными дифенилметильными группами):
Стабилизация активных интермедиатов RC60- может быть осуществлена путем внутримолекулярного нуклеофильного замещения (SNi), если R представляет собой уходящую группу. Как показал Бингель, при взаимодействии с -галогенэфирами и -галогенкетонами осуществляется гладкое циклопропанирование фуллерена, например, реакция с броммалоновым эфиром (диэтилброммалонатом) с участием гидрида натрия в толуоле осуществляется при комнатной температуре, причем моноаддукт может быть в
ыделен хроматографией на колонке:
В
тех же условиях возможно образование бис-аддукта, то есть вещества, в составе которого содержатся два циклопропановых кольца. Для фуллерена-60 изомеров такого вида будет восемь, из которых преобладает следующий:
Еще одним примером реакции нуклеофильного присоединения является гидроксилирование, которое протекает при нагревании толуольных растворов фуллеренов с избытком едкого кали; в осадок выпадают фуллеролы (гидроксофуллерены, C60(OH)n).
Интересно, что C70 в этих условиях взаимодействует быстрее, чем C60, что позволяет судить о ходе реакции по окраске раствора: раствор C60 окрашен в красно-фиолетовый цвет, а C70 - в винно-красный.
Р
еакции присоединения
Реакции циклоприсоединения
При реакциях циклоприсоединения активную роль всегда играют двойные связи шестичленного кольца, выступая как в качестве диенов, так и диенофилов. Огромное количество циклоаддуктов, которые при этом можно получить, сильно способствовало повышению интереса исследователей к химии фуллеренов. Эта реакция оказалась мощным инструментом, позволяющим вводить в C60 практически любые функциональные группы, получая вещества, многие из которых выдерживают нагревание до 400 ° С без разложения.
Н
аиболее типичными являются реакции Дильса-Альдера ([4+2]циклоприсоединение), в которых фуллерен выступает в качестве диенофила. В случае активных диенов характер устанавливающегося равновесия таков, что выход аддуктов весьма высок, а их очистка возможна методами жидкостной хроматографии с использованием толуола в качестве элюента:
С
интезированный по сходной схеме аддукт содержит электроноизбыточную диметоксифельную группу и электронодифицитный C60 в составе одной молекулы, что обусловливает внутримолекулярное донорно-акцепторное взаимодействие:
Р
астворимость другого аддукта, полученного с использованием эфира бензо[18]краун-6, в полярных протонных растворителях, сильно зависит от концентрации ионов K+; это приводит к выводу, что эфирная группировка практически не взаимодействует с фуллереновой частью молекулы:
Д
ругим важным типом реакций циклоприсоединения является реакция с диазометаном ([3+2]циклоприсоединение), в ходе которого фуллерен ведет себя как 1,3-диполярофил. При обработке раствора C60 в толуоле диазометаном интермедиат (пиразолин) оказывается относительно устойчивым, как показал Вудль, и разлагается на смесь изомеров только под действием света:
В
ыходы изомеров заметно отличаются; этот и другие подобные факты, а также теоретические расчеты, позволили придти к заключению, что для фуллерена C60, а также для его производных оказывается энергетически невыгодным образовывать двойные связи в месте соединения пяти- и шестичленных колец или уменьшать максимально возможное число [5]радиаленовых колец. Напомним, что в составе C60 имеется 12 [5]радиаленовых колец:
Реакции циклоприсоединения с замещенными фенилдиазометанами открывают широкие возможности для введения различных функциональных групп. При наличии нескольких диазогрупп (такие соединения легко могут быть синтезированы из кетонов через их гидразоны), избирательно реагирующих с фуллереном, могут быть получены соединения, образно названные “нитью жемчуга”:
Другим примером синтеза соединения с дифенилметановым мостиком является диметиловый эфир дифенола, получаемый с выходом 94% при комнатной температуре:
Дифенол, получаемый в результате гидролиза его простого эфира, оказался исключительно интересным исходным веществом для широкого круга синтезов, например, для получения полиуретана при взаимодействии с гексаметилендиизоцианатом:
а также для синтеза растворимого во многих органических растворителях светло-коричневого стеклообразного полимера, обладающего дендритной структурой:
Исключительно важными, наконец, являются реакции [2+2]циклоприсоединения; например, бензина к C60. Напомним, что термин “бензин” относится к открытому Дж.Робертсом в 1953 г интермедиату многих реакций ароматических соединений, формально содержащему тройную связь. Так, бензин, образовавшийся in situ путем диазотирования антраниловой кислоты, может присоединиться к C60 по связи между C-1 и C-2:
Е
ще один интересный пример циклоприсоединения того же типа представляет фотохимическая полимеризация фуллерена, которая обратимо осуществляются при освещении видимым или ультрафиолетовым светом тонких (мономолекулярных) пленок C60, получающихся, к примеру, при выливании капли толуольного раствора на поверхность воды и последующем испарении растворителя:
Н
Рисунок 5. Димер состава C120, атомы углерода задней половины сферы показаны серым цветом.
аряду с димерами образуются и другие олигомеры, включая (C60)20. Интересно, что “межфуллереновые” углерод-углеродные связи имеют исключительную длину - более 2-х Е, а сферы оказываются слегка вытянутыми по отношению друг к другу (Рисунок 5). В
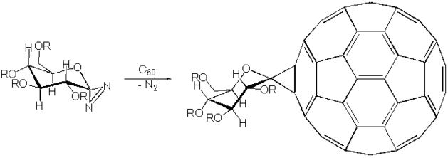
заключение следует упомянуть еще об одном примере, [2+1]циклоприсоединении. Речь идет о реакции с фуллереном карбеновых частиц, генерируемых из производных диазирина. В приведенном ниже примере рассматривается образование в толуоле моноаддуктов с моносахаридом, гидроксильные группы которого защищены бензильными остатками:








