referat (739278), страница 2
Текст из файла (страница 2)
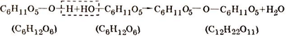
Це підтверджує, що молекули сахарози складаються із сполучених один з одним залишків молекул глюкози і фруктози. Сахарозу порівняно з глюкозою можна розглядати ніби подвійним цукром, через що вона й належить до дисахаридів (грецьке слово ди означає «двічі»).
Утворення дисахаридів можна уявити собі як процес, зворотний їх гідролізу:
2. Реакція срібного дзеркала: Сахароза не дає реакції «срібного дзеркала» і не має відновних властивостей. У цьому її відмінність від глюкози. В той же час вона, як І глюкоза, легко взаємодіє з гідроксидами металів. Так, суспензія гідроксиду кальцію розчиняється у розчині сахарози з утворенням сахарату кальцію, подібного за будовою до сполуки глюкози з кальцієм.
3. Взаємодія з купрум (ІІ) гідроксидом:
В Україні сахарозу (цукор) добувають з цукрового буряку. Для виділення сахарози цей природний продукт миють, подрібнюють І обробляють гарячою водою. Разом з сахарозою в розчин переходять різні кислоти, барвні речовини, від яких треба позбавитись. Обробляють розчин вапняним молоком. Малорозчинні кальцієві солі більшості органічних кислот випадають в осад. Сахароза з гідроксидом кальцію утворює розчинний у воді сахарат кальцію. Щоб розкласти його і нейтралізувати надлишок гідроксиду кальцію, крізь добутий розчин пропускають оксид вуглецю (IV). Після осадження кальцію у вигляді карбонату розчин фільтрують, упарюють і одержують кристалики піскового цукру жовтуватого кольору, який надають йому барвні речовини. З метою додаткового очищення цукор знову розчиняють у воді і добутий розчин пропускають крізь активоване вугілля, після чого його упарюють і кристалізують.
Сахароза не лише важливий продукт харчування — її похідні використовуються в техніці, наприклад як пластифікатори у виробництві пластмас. Вона застосовується також для виготовлення деяких ліків, мікстур для дітей, сиропів тощо.
Схема одержання цукрози із цукрового буряка
Цукровий буряк
Стружка цукрового буряка
Розчин цукрози з домішками
Нерозчинні солі кальцію
Цукроза Розчин цукрози
З
астосування глюкози і цукрози
Глюкоза
Цукроза
-
У кондитерській промисловості.
-
У медицині
-
У текстильній промисловості
(для відділки тканин)
-
У кондитерській промисловості.
2. Як продукт харчування
3. Для одержання штучного меду
Вправа У п'яти пробірках без написів містяться розчини таких речовин: гліцерину, оцтового альдегіду, мурашиної кислоти, пропіонової кислоти, глюкози. Запропонуйте план визначення кожної з цих речовин, використовуючи розчини карбонату натрію, гідроксиду натрію, сульфату міді (II). Масова частка кожної з зазначених речовин у цих розчинах становить 10 %.
Р о з в' я з а н н я. За допомогою розчину карбонату натрію можна визначити мурашину і пропіонову кислоти за виділенням вуглекислого газу:
Після цього в пробірки .і кислотами додаємо свіжоосаджении гідроксид міді (II) і суміш нагріваємо. За утворенням червоного осаду оксиду міді (І) і виділенням СО2.і виявляємо мурашину кислоту:
У три пробірки, що залишились, додаємо свіжоосаджении гідроксид міді (II) і за появою інтенсивно синього забарвлення визначаємо гліцерин і глюкозу. Так, для гліцерину цей процес описується за рівнянням, поданим на с- 115.
При подальшому нагріванні вмісту цих трьох пробірок виявимо оцтовий альдегід і глюкозу за утворенням червоного осаду:
1. Які речовини відносять до вуглеводів і звідки погодить ця назва?
2. Як класифікують вуглеводи?
-
Як побудована молекула глюкози? Які функціональні груші містяться
в ній? -
Як можна довести наявність у молекулі глюкози альдегідної групи?
-
Як дослідним шляхом довести, що в молекулі глюкози є п’ять гідроксильних груп?
-
Наведіть рівняння реакцій, у яких глюкоза виявляє:
а) відновні властивості: б) окисні властивості.
-
Яке значення глюкози в життєвих процесах організмів тварин і людини?
-
Які види бродіння глюкози вам відомі? Назвіть їх практичне значення.
-
Чому буряковий (тростинний) цукор належить до дисахаридів?
10. Які групи речовин дають реакцію «срібного дзеркала”:
а) глюкоза, гліцерин, етиленгліколь;
б) гліцерин, глюкоза, сахароза:
в) глюкоза, формальдегід, метанова кислота?
11. Які я речовин виявляють змішані функції:
а) глюкоза і гліцерин;
б) глюкоза і олеїнова кислота;
в) глюкоза І оцтова кислота;
г) глюкоза і метанова кислота?














