summ_mmc (739220)
Текст из файла
Сыктывкарский Государственный Университет
Химико-биологический факультет
РЕФЕРАТ
по летней практике
“Алкалоиды рода Carex на Европейском северо-востоке России”
Работу выполнил
студент 240 группы …….
Сыктывкар 2001
План реферата:
Введение.
§1. Краткая характеристика алкалоидов (особенности структуры, история открытия).
§2. Распространение алкалоидов в растительном мире.
§3. Биосинтез и возможные функции в растениях.
§4. Методы выделения и установления структуры.
§5. Растения - продуценты алкалоидов (краткая ботаническая характеристика рода Carex. Биологические особенности. Распространение в природе).
§6. Данные о химическом составе. Использование в медицине.
Заключение. Актуализация темы.
Список используемой литературы.
Введение.
Алкалоиды являются достаточно интересным классом органических соединений с точки зрения их структуры и физиологических действий, оказываемых на животный организм.
Данная работа является большей частью обзорной. В реферате рассмотрим краткую характеристику алкалоидов, в частности отметим имеющуюся классификацию, затронем историю открытия некоторых представителей. В следующих параграфах речь пойдет о распространении алкалоидов в природе и их локализации в растительном организме. Также, кратко отметим о возможных функциях алкалоидов в растениях, опишем биосинтез некоторых гетероциклических оснований, а также пути их выделения и установления структуры.
Следующий блок будет включать информацию непосредственно о продуцентах алкалоидов – растениях. Здесь бы хотелось заострить внимание на непосредственно интересующем роде Carex, отметив его краткую ботаническую характеристику.
Также, будет приведен химический состав и полезные свойства представителей рода Carex на интересующем нас географическом ландшафте.
Дополнительно будет представлена информация по Carex Brevicollis DC.
(Осока парвская), интересной наличием алкалоидов (бревиколлин, бревикарин, гарман), однако произрастающей за пределами изучаемой нами ‘флоры’.
Информация для реферата была взята из монографии академика А.П.Орехова “Химия Алкалоидов”, “Биохимии растений” С.О.Гребинского, ‘Растительных ресурсов России и сопредельных государств’, и др., а также из источников глобальной информационной сети.
§1. Краткая характеристика алкалоидов (особенности структуры, история открытия).
C древнейших времен человек использовал алкалоиды как лекарства, яды и колдовские зелья, однако структура многих из этих соединений была определена относительно недавно. Термин «алкалоид» («похожий на щелочь») был предложен в 1819 фармацевтом В.Мейснером. Первое современное определение (1910), данное Э.Винтерштейном и Г.Триром, описывает алкалоид в широком смысле как азотсодержащее вещество основного характера растительного или животного происхождения; при этом истинный алкалоид должен удовлетворять четырем условиям: 1) атом азота должен быть частью гетероциклической системы; 2) соединение должно иметь сложную молекулярную структуру; 3) оно должно проявлять значительную фармакологическую активность и 4) иметь растительное происхождение.
К настоящему времени выделено свыше 10 000 алкалоидов разнообразных структурных типов, что превышает число известных соединений любого другого класса природных веществ. Неудивительно, что классическое определение Винтерштейна – Трира устарело: соединения, рассматриваемые большинством химиков и фармакологов как алкалоиды, не отвечают всем его требованиям. Например, колхицин и пиперин не имеют основного характера, в то же время колхицин и такие -фенилэтиламины, как мескалин, не являются гетероциклами:
Сложность структуры – слишком расплывчатое понятие, чтобы входить в определение: то, что сложно для одних химиков, кажется простым для других. Фармакологическая активность – неудачный критерий, поскольку многие вещества проявляют ее, если присутствуют в достаточных дозах. Если включить ее в определение, придется оговорить уровень доз. Многие вещества со структурой классических алкалоидов получены из материалов нерастительного происхождения – тканей животных, грибов (в том числе плесневых), бактерий. Так что новое определение понятия «алкалоид», с одной стороны, должно охватывать, возможно, большее число соединений, относимых к алкалоидам большинством исследователей, а с другой – исключать такие классы природных азотсодержащих соединений, как алифатические амины, аминокислоты, аминосахара, белки и пептиды, нуклеиновые кислоты, нуклеотиды, птерины, порфирины и витамины. Следующее определение, предложенное У.Пельтье, отвечает этим условиям и, поэтому получило широкое признание: алкалоид – это циклическое органическое соединение, содержащее азот в отрицательной степени окисления и имеющее ограниченное распространение среди живых организмов.
Требование наличия циклического фрагмента в структуре молекулы исключает из списка алкалоидов простые низкомолекулярные производные аммония, а также циклические полиамины, такие, как путресцин H2N(CH2)4NH2, спермидин H2N(CH2)4NH(CH2)3NH2 и спермин H2N(CH2)3NH(CH2)4NH(CH2)3NH2. В то же время требование наличия азота в отрицательной степени окисления (с.о.) обусловливает включение в список алкалоидов аминов (с.о. –3), аминоксидов (–1), амидов (–3) и четвертичных аммониевых солей (–3), но исключает нитро- (+3) и нитрозо- (+1) соединения. При этом важно, чтобы соблюдалось условие ограниченной распространенности в живой природе, иначе почти все природные азотистые соединения пришлось бы причислить к алкалоидам. Определение алкалоидов, предложенное Пельтье, удобно в том отношении, что подтверждает отнесение к алкалоидам большинства тех соединений, которые, хотя традиционно считаются алкалоидами, должны были бы исключаться из их числа согласно классическому определению Винтерштейна – Трира. Это, например, колхицин, пиперин, -фенилэтиламины, рицинин, генцианин, буфотоксин. Поскольку структурой соединения определяется его принадлежность к алкалоидам, антибиотики соответствующей структуры (например, циклосерин, глиотоксин, митомицин С, пенициллин, стрептомицин и стрептонигрин) тоже могут быть отнесены к алкалоидам.
Две обычно используемые системы классифицируют алкалоиды по родам растений, в которых они встречаются, или на основании сходства молекулярной структуры. Классы алкалоидов, члены которых объединены по источнику выделения, – это алкалоиды аконита, аспидоспермы, хинного дерева, спорыньи, эфедры, ибоги, ипекакуаны, люпина, опийного мака, раувольфии, крестовника, картофеля, стрихноса (рвотного ореха) и иохимбе. Химическая классификация основана на особенностях молекулярного азотно-углеродного скелета, общих для членов данной группы алкалоидов. Главные структурные классы включают пиридиновые (никотин), пиперидиновые (лобелин), тропановые (гиосциамин), хинолиновые (хинин), изохинолиновые (морфин), индольные (псилоцибин, активное начало мексиканских галлюциногенных грибов, резерпин и стрихнин), имидазольные (пилокарпин), стероидные (томатидин из томатов), дитерпеноидные (аконитин), пуриновые (кофеин из чая и кофе, теофиллин из чая и теобромин из чая и какао) алкалоиды:
История открытия некоторых алкалоидов.
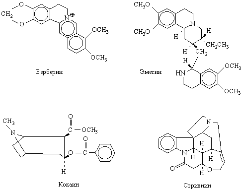
Начало химии алкалоидов обычно относят к 1803, когда Л.-Ш.Деронь выделил из опиума – высохшего на воздухе млечного сока снотворного (опийного) мака Papaver somniferum – смесь алкалоидов, которую он назвал наркотином. Затем в 1805 Ф.Сертюрнер сообщил о выделении морфина из опиума. Он приготовил несколько солей морфина и показал, что именно морфином обусловливается физиологическое действие опиума. Позднее (1810) Б.Гомес обработал спиртовый экстракт коры хинного дерева щелочью и получил кристаллический продукт, который назвал «цинхонино,». П.Пельтье и Ж.Кавенту на фармацевтическом факультете Сорбонны (1820) выделили из «цинхонино» два алкалоида, названные хинином и цинхонином. Позднее исследователи получили более двух десятков оснований из экстрактов коры хинного дерева и растений рода ремиджия (Remijia) сем. мареновых. Между 1820 и 1850 было выделено и описано большое число алкалоидов новых разнообразных типов. Среди них аконитин из растений рода аконит (Aconitum, борец) – одно из наиболее токсичных веществ растительного происхождения; атропин – оптически неактивная форма гиосциамина и мощное мидриатическое средство (даже 4*10–6 г вызывают расширение зрачка); колхицин – алкалоид безвременника осеннего, применяемый при лечении подагры; кониин представляет особый исторический интерес, поскольку именно он стал орудием казни Сократа в 399 до н.э., когда великий философ был вынужден выпить чашу с настоем болиголова (Conium maculatum); кодеин – близкий к морфину алкалоид, являющийся ценным обезболивающим и противокашлевым средством; пиперин – алкалоид черного перца (Piper nigrum); берберин – алкалоид из корней барбариса обыкновенного (Berberis vulgaris); стрихнин – очень ядовитый алкалоид, содержащийся в семенах чилибухи (Strychnos nux-vomica) и используемый при некоторых сердечных болезнях и для истребления грызунов; эметин содержится в корне ипекакуаны (Cephaelis ipecacuanha, рвотный корень) – рвотное и противопротозойное средство, применяется для лечения амебной дизентерии; кокаин содержится в листьях тропических растений рода Erythroxylum, главным образом в коке (E. coca), используется в медицине как местноанестезирующее средство:
§2. Распространение алкалоидов в растительном мире.
Согласно данным, берущим свои истоки из трудов академика А.П.Орехова (1955), алкалоиды находятся не во всех растениях и число последних невелико. Но из-за малого изучения растений в этой области можно ожидать определенных перемен в сторону увеличения числа видов алкалоидсодержащих растений. Распределение алкалоидов между ботаническими видами довольно неравномерно. Некоторые семейства богаты алкалоидоносными представителями, в других царит отсутствие таковых.
Часто растения, стоящие близко одно к другому в системе ботанической классификации, заключают в себе ряд алкалоидов, весьма близких по своему строению и образующих естественную группу. Но известны случаи, когда из двух весьма близких между собой ботанических видов один богат алкалоидами, а другой или совершенно их не содержит, или же содержит алкалоиды другого строения. Раньше считалось, что определенные алкалоиды являются характерными и специфичными для определенных ботанических семейств или даже видов, и не встречаются ни в каких других растениях. Однако по мере рассмотрения этого вопроса выявился ряд случаев, когда один и тот же алкалоид был найден в растениях, стоящих очень далеко одно от другого в ботанической классификации и принадлежащих к совершенно разным свойствам. Поскольку число таких случаев довольно велико, их нельзя считать исключениями и не может идти речи о строгой ботанической специфичности алкалоидов.
В растительном организме обычно распределение алкалоидов бывает довольно неравномерно. Локализация алкалоидов происходит преимущественно в определенных частях. Например, в видах Cincona алкалоиды находятся главным образом в коре, тогда как у аконитов главная их масса находится в клубнях. У ракитника алкалоиды сосредоточены главным образом в семенах, в кокаиновом кактусе в листьях.
Известны случаи, когда одни части растений очень богаты алкалоидами, тогда как в других частях того же растения они полностью отсутствуют или содержаться в гораздо меньшем количестве.
Различные части одного и того же растения могут отличаться между собой также и качественными содержанием алкалоидов, т.е. в различных частях растений могут находиться разные алкалоиды. Например, корень мачка бахромчатого содержит исключительно хелеретрин и сангвинарин, тогда как в надземных его частях находятся только протопин, коридин и аллокриптопин. Поэтому при изучении новых растений необходимо исследовать отдельно различные их части. Кроме того, как процентное содержание, так и качественный состав алкалоидной смеси могут меняться в течение года в зависимости от стадий развития растений.
Характеристики
Тип файла документ
Документы такого типа открываются такими программами, как Microsoft Office Word на компьютерах Windows, Apple Pages на компьютерах Mac, Open Office - бесплатная альтернатива на различных платформах, в том числе Linux. Наиболее простым и современным решением будут Google документы, так как открываются онлайн без скачивания прямо в браузере на любой платформе. Существуют российские качественные аналоги, например от Яндекса.
Будьте внимательны на мобильных устройствах, так как там используются упрощённый функционал даже в официальном приложении от Microsoft, поэтому для просмотра скачивайте PDF-версию. А если нужно редактировать файл, то используйте оригинальный файл.
Файлы такого типа обычно разбиты на страницы, а текст может быть форматированным (жирный, курсив, выбор шрифта, таблицы и т.п.), а также в него можно добавлять изображения. Формат идеально подходит для рефератов, докладов и РПЗ курсовых проектов, которые необходимо распечатать. Кстати перед печатью также сохраняйте файл в PDF, так как принтер может начудить со шрифтами.















