165091 (739218)
Текст из файла
План реферата
Алкалоиды (общие сведения)
-
Пиридиновая группа
а) Никотин
б) Анабазин
-
Хинолиновая группа
а) Хинин
б) Стрихнин
-
Изохинолиновая группа
а) Папаверин
б) Кураре
-
Фенантреновая группа
а) Морфин
б) Кодеин
-
Тропиновая группа
а) Атропин
б) Кокаин
-
Пуриновая группа
а) Кофеин
Воздействие на человека
-
Алкалоиды группы опиума
-
Кокаин
-
Никотин
-
Кофеин
Алкалоиды
Понятие алкалоиды не является строгим. Принято алкалоидами называть азотсодержащие органические соединения гетероциклического строения, обладающие ярко выраженным физиологическим действием на организм человека и животных. Большинство алкалоидов обладает сложным строением.
Лечебные и ядовитые свойства экстрактов многих растений были известны еще в глубокой древности. Строение первого алкалоида – кониина – было установлено в 1886г., и после этого развитие химии алкалоидов пошло вперед гигантскими шагами.
Алкалоиды являются продуктами обмена веществ в растениях. Наиболее богаты алкалоидами двудольные растения, а среди них семейства маковых, сложноцветных, лютиковых, пасленовых и мареновых.
Так как обычно в одной группе растений содержатся алкалоиды, близкие по структуре, то классификация алкалоидов проводится, как правило, по группе растений, в которых они имеются. Например, алкалоиды болиголова, алкалоиды арековой пальмы, алкалоиды пасленовых, алкалоиды кока, алкалоиды опия и т.д. В настоящее время выделено и охарактеризовано уже более 2000 алкалоидов из них только 50 содержится в животных [1].
В ходе эволюции высшие растения выработали так называемую метаболическую экскрецию, делающую возможным накопление вторичных соединений в продуцирующем их организме, но вне метаболистически активных центров – обычно в вакуолях и клеточной стенке. Алкалоиды обнаруженные у животных, не всегда синтезируются самим организмом; иногда их происхождение связано с характером пищи. Так бобры накапливают алкалоид касторамин, который очень близок к алкалоиду дезоксинуфаридину, содержащемуся в корневищах кубышки желтой, используемой ими в пищу.
В большинстве случаев алкалоиды находятся в растении в виде солей органических и неорганических кислот. Локализуются преимущественно в определенных частях (органах) растений, например у хинного дерева – главным образом в коре, у аконита – в клубнях, у кокаинового куста в листьях. Содержание алкалоидов в тканях обычно составляет десятые – сотые доли процента и редко доходит до 10-15% (кора хинного дерева).
Долгое время биологические функции алкалоидов в растительном организме были неясны. Чаще их считали конечными продуктами обмена веществ, или иными экстрактами. Однако было доказано, что алкалоиды активно вовлекаются в обменные процессы. Возможно, алкалоиды также защищают растения от поидания животными, т.е. являются антифедантами[3].
Кроме того, алкалоиды классифицируются по основаниям. Всего выделяют 6 групп алкалоидов: пиридиновая (никотин), хинолиновая (хинин, стрихнин), изохиниловая (папаверин, кураре), фенантреновая (морфин, кодеин), тропиновая (атропин) и пуриновая (кофеин) [4].
Немногие алкалоиды жидкости и являются летучими соединениями, большинство же удалось выделить в кристаллическом виде; последние содержат кислород, в первых его не имеется.
Большинство алкалоидов оптически деятельно, и притом вращает влево.
Алкалоиды почти все горьки на вкус; в небольшом количестве многие из них производят возбуждающее действие на нервную систему, в больших же дозах они часто являются весьма ядовитыми. Из-за этого возбуждающего действия растения, содержащие алкалоиды, издавна употреблялись людьми то для приготовления напитков (чай, кофе—ради кофеина, какао-ради теобромина), то для курения (табак, опиум), то для жевания (листья коки). Злоупотребление некоторыми алкалоидами, особенно вспрыскиваниями морфия или нюханьем кокаина, ведет к очень тяжелым последствиям. Кроме того, отдельные алкалоиды обладают специфическим физиологическим действием, чем часто пользуются в медицине.
Все это издавна возбуждало большой интерес к изучению алкалоидов. Выяснилось, что все они представляют амины, вторичные или третичные, но не первичные, а иногда—аммониевые основания. В связи с этим алкалоиды проявляют основные свойства, т.е. реагируют с кислотами и дают двойные соли с хлорной платиной.[2]
Пиридиновая группа
Никотин
Никотин, алкалоид, содержащийся в табаке (до 8%), а также в растениях некоторых других родов; производные пиридина. При курении табака никотин возгоняется, проникает в дыхательные пути и, всасываясь, действуют на ганглии вегетативной нервной системы и на т. н. холинреактивные структуры центральной и периферической нервной системой. В малых дозах никотин действует возбуждающе на нервную систему, в больших вызывает ее паралич. Никотин это один из самых ядовитых алкалоидов: несколько капель (100-200 мг, т.е. количество, содержащееся в 200 г табака) при в ведении в человека вызывают смерть[3], а ПДК никотина в воздухе составляет 0,5 мг/м3 [5].
Никотин используется в сельском хозяйстве как инсектицид.
Анабазин
Анабазин основной алкалоид ежовника безлистного, произрастающего в Средней Азии. Как и никотин, сильно токсичен, но тоже применяется в качестве контактного инсектицида.[1]
Хинолиновая группа
Хинин
Хинин представляет белые кристаллы, в безводном состоянии плавящиеся при 175°, а из воды выделяющиеся с 3 молекулами кристаллизационной воды. Соли его очень горьки на вкус и обладают в растворе прекрасной синей флуоресценцией. Хинин- важнейшее средство против малярии и вообще жаропонижающее; применяется обыкновенно в виде средней сернокислой или хлористоводородной (с одной молекулой НСL) соли.
Хинин в больших дозах ядовит. [2]
Стрихнин
Стрихнин очень ядовит даже в малых дозах вызывает сильные судороги. В терапевтических дозах применяется при хранических катарах желудка, как возбуждающее средство для сердечной деятельности и центральной нервной системы [4]
Изохинолиновая группа
Папаверин
Папаверин- алкалоид содержащийся в опиуме. Употребляется как снотворное и антиперистальное средство.[4]
Кураре
Кураре представляет собой соединение нескольких различных алкалоидов. При введении под кожу терапевтических доз его наступает полное расслабление поперечнополосатой мускулатуры, в больших дозах вызывает смерть.[4]
Фенантреновая группа
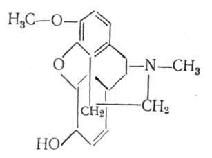
Морфин.
Морфин, алкалоид опийного мака. Обладает сильным болеутоляющим, выраженным снотворным и эйфорическим действием. Тормозит условные рефлексы и усиливает действие наркотических снотворных и местноанастизирующих средств. Возбуждает рвотный центр и понижает возбудимость дыхательного и кашлевого центров, тормозит двигательную и секреторную активность желудочно-кишечного тракта. Понижает основной обмен. Гидрохлорид морфина используют в медицине как обезболивающее средство. Длительное применение приводит к наркомании (морфинизму).[3]
Кодеин применяется против кашля и болей[4]
Тропиновая группа
Атропин
Алкалоид беладонны, дурмана и белены. Несмотря на исключительно высокую токсичность, широко применяется в медицине, в частности в глазной практике, так как обладает способностью расширять зрачок.[1].
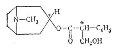
Кокаин
Один из основных алкалоидов коки – кокаин был первым из открытых местнообезбаливающих и наркотических средств. Противопоказания при его применении в медицине обуславливаются его способностью вызывать наркоманию из-за привыкания организма.[1]
Кокаин вращающий влево и в виде хлористоводородной соли часто применяемому в медицине для местной анестезии.
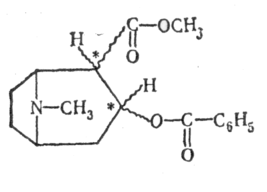
Кроме левовращающего кокаина, в листьях коки содержится и немного правовращающего, но этот последний не является антиподом первого и дает иной эфект; так называемый, псевдококаин или d-кокаин,. Дело в том, что уже тропин может существовать в 2 формах, которые считаются цис-транс-изомерами:
метил (при азоте) и гидроксил могут находиться либо по одну и ту же сторону от плоскости кольца, либо по разные стороны. Тропин отвечает менее стойкой форме и легко переходит в β-тропин. Бензойный эфир последнего, тропакокаин, также найден был в листьях коки. При восстановлении эфира тропинонкарбоновой кислоты (XII).
Интересно отметить, что этот d-кокаин действует лучше обыкновенного: анестезирующее действие сильнее, а ядовитость меньше. Таким образом, эти два свойства, хотя и оба зависят от конфигурации, но меняются различно. Это открывает надежду найти еще менее ядовитый и в то же время более действительный препарат.[2]
Пуриновая группа
Кофеин
Кофеин - соединение из группы метилксантинов. Это алкалоид, содержащийся в листьях чая, в семенах кофе, в семенах какао, в семенах кола и в других растениях. У кофеина сочетаются психостимулирующие и аналептические свойства. Особенно выражено у него прямое возбуждающее влияние на кору головного мозга. Кофеин стимулирует психическую деятельность, повышает умственную и физическую работоспособность, двигательную активность, укорачивает время реакции. После его приема появляется бодрость, временно устраняются или уменьшаются утомление, сонливость[7]/
Воздействие на человека
Алкалоиды группы опиума.
За последние годы увеличилось число лиц, употребляющих алкалоиды опия, чаще стали возникать острые состояния на фоне их приема, в том числе и острые отравления наркотиками, возрос уровень комбинации наркотических средств, стали потребляться новые химически активные вещества в кустарной обработке, чаще регистрируются брутальные расстройства гомеостаза в результате длительной интоксикации. Все это показывает необходимость детального анализа этих состояний.
Всасывание алкалоидов группы опия через желудочно-кншечный тракт происходит быстро, при курении, при парентеральном введении действие наступает незамедлительно. После обезвреживания в печени выведение из организма происходит через почки, частично через кишечник. Определенные концентрации в биосредах организма могут быть обнаружены в течении 8 - 12 часов. В комбинации с алкалоидами применяют димедрол, этанол, производные бензодназепинового ряда.[3]
Кокаин
Кокаин начинает работать практически мгновенно – сразу, после того как порошок попадает на слизистую носа, наступает "приход" - вспышка кайфа. Резко повышается двигательная активность, мозг "быстрее" соображает, наблюдается общий подъем душевных и физических сил. Оно и понятно: кокаин психостимулятор. Однако эффект ощущается недолго - 10, от силы 15 минут, и затем наступает депрессия, которая длится около 30-40 минут. Доза зависит от длительности потребления. Стартовая доза - две "дорожки"
Зависимость и другие опасности:
длительное употребление кокаина вызывает паранойю, глухоту, бред, нарушение пищеварения и неконтролируемые конвульсии. Кроме того, весьма вероятность проблемы со слизистой носа или отвердение вен (зависит от способа приема); нарушение фаз сна (человек перестает высыпаться)[6].
Никотин
Как ни прискорбно, мы и здесь «впереди планеты всей». Семилетний пацаненок с «бычком» в зубах уже не вызывает былого возмущения даже среди степенных представителей старшего поколения.
По официальным данным, на сегодня в России курят 60% мужчин и 30% женщин. Среди мужского населения в возрасте от 30 до 40 лет табачной зависимости подвержены 70%. Но это «цветочки». А вот и «ягодки»: регулярно курят около 40% старшеклассниц и около 50% старшеклассников. А почему бы им не курить? Запрет на продажу табачных изделий распространяется только на младенцев и подростков до 16-и лет. Да и чего греха таить: если в магазинах этот запрет худо-бедно соблюдается, то уж купить сигареты поштучно или пачкой в ларьке, киоске или у бизнес-бабушек не составит труда и для десятилетней девчонки. Страсть торговцев к деньгам понять можно, но наплевательское отношение к здоровью подрастающего поколения граничит, пожалуй, с преступлением.
Что мы имеем в результате? Никотин пагубно воздействует на бронхо-легочную систему, желудочно-кишечный тракт, сердечно-сосудистую систему. В Ижевске на диспансерном учете с болезнями органов дыхания в 1997 году состояло 11 тысяч человек, из них с хроническим бронхитом - 4710 человек, бронхиальной астмой - 1034, язвенной болезнью желудка - 9825. И около 70% из них курят, упорно продолжают вредить своему здоровью, сокращать свою жизнь. Но, что характерно, большая часть курящих - это люди с низким образовательным уровнем, чей социальный статус далек от идеала. Люди более образованные относятся к своему здоровью бережнее и внимательнее. Среди них уже вполне отчетливо видна тенденция к отказу от курения и всего, что может неблагоприятно сказаться на здоровье. В США за последние годы число курящих сократилось в три раза. Но их табачная промышленность делает немалые барыши на российской беспечности: все, что не нужно американцам, россияне с аппетитом выкуривают[8].
Кофеин
Интоксикация кофеином - симптомы:
Характеристики
Тип файла документ
Документы такого типа открываются такими программами, как Microsoft Office Word на компьютерах Windows, Apple Pages на компьютерах Mac, Open Office - бесплатная альтернатива на различных платформах, в том числе Linux. Наиболее простым и современным решением будут Google документы, так как открываются онлайн без скачивания прямо в браузере на любой платформе. Существуют российские качественные аналоги, например от Яндекса.
Будьте внимательны на мобильных устройствах, так как там используются упрощённый функционал даже в официальном приложении от Microsoft, поэтому для просмотра скачивайте PDF-версию. А если нужно редактировать файл, то используйте оригинальный файл.
Файлы такого типа обычно разбиты на страницы, а текст может быть форматированным (жирный, курсив, выбор шрифта, таблицы и т.п.), а также в него можно добавлять изображения. Формат идеально подходит для рефератов, докладов и РПЗ курсовых проектов, которые необходимо распечатать. Кстати перед печатью также сохраняйте файл в PDF, так как принтер может начудить со шрифтами.















