163581 (738533)
Текст из файла
Реферат
Інвестування оборотного капіталу
Інвестування оборотного капіталу
Управління інвестиціями в оборотний капітал відіграє важливу роль в інвестиційній діяльності підприємства. Передусім, тому, що оборотні кошти типової компанії в промисловості складають більше половини усіх її активів, а більшість подібних підприємств не мають необхідного мінімуму власних джерел фінансування оборотного капіталу і гостро потребують запозичення ресурсів. Визначення необхідного рівня оборотних коштів і короткострокової кредиторської заборгованості, від яких залежить стан поточних активів фірми, включає ухвалення рішень про джерела фінансування, черговість виплат її боргів. У число чинників, що чинять дію на використання тих або інших джерел фінансування, входять операції з ринковими цінними паперами, кредитна політика і методи її проведення, управління товарно-матеріальними запасами, їх контроль і так далі [3, с. 148].
Оборотні кошти – це сукупність грошових коштів, авансованих для створення і використання оборотних виробничих фондів і фондів звернення з метою забезпечення безперервного процесу виробництва і реалізації продукції. Оборотний капітал забезпечує поточні потреби підприємства, пов'язані з процесом відтворення. При цьому оборотні кошти в грошовій формі послідовно приймають різні функціональні форми – матеріальну, продуктивну і товарну. Зміною товарної форми на грошову виробничий цикл повертається до вихідної точки, і процес повторюється.
Оборотні виробничі фонди включають:
-
сировина, матеріали, покупні напівфабрикати, паливо і інші аналогічні матеріальні цінності;
-
незавершене виробництво, напівфабрикати власного виготовлення; витрати майбутніх періодів, тобто витрати, вироблювані авансом, наприклад, на проектування нових видів продукції і освоєння їх випуску [10, с. 84].
Багато видів оборотних виробничих фондів в процесі виробництва змінюють свою натурально-речову форму, перетворюючись в продукт праці, а деякі, такі як паливо, електроенергія, – поглинаються продуктом, втрачаючи свою речову.
Оборотні фонди включають до свого складу готову продукцію, що знаходиться на складах підприємства і в процесі реалізації, а також грошові кошти на рахунках в банках або в касі і засоби в розрахунках. Оборотні фонди не беруть участь в процесі виробництва, вони обслуговують процес обороту товарів. Грошова форма, яку приймають оборотні кошти на останній стадії з кругообігу, одночасно є і початковою стадією нового обороту. Джерелами формування оборотних коштів підприємства є прибуток, кредиторська заборгованість, кредити і позики [3, с. 149].
Оборотний капітал потрібний для господарської діяльності підприємства в короткостроковій перспективі і спрямовується на:
-
закупівлі сировини, матеріалів і комплектуючих і створення запасів. Запаси сировини і матеріалів забезпечують підприємству гнучкість в політиці закупівель. Якщо підприємство тільки створене, то у складі сформованого статутного капіталу виділяється частина коштів на придбання матеріальних запасів і оплату інших витрат, необхідних для здійснення виробництва і реалізації продукції. Ця частина є спочатку сформованими власними оборотними коштами підприємства.
На діючому тривалий час підприємстві джерелом засобів для закупівлі сировини, матеріалів і комплектуючих є виручка, що виникає після реалізації продукції. Матеріальні витрати відшкодовуються з виручки і знову витрачаються на купівлю матеріальних ресурсів, тобто пускаються в оборот. Метою обороту є заповнення виробничих запасів і забезпечення відтворювального процесу. У той момент, коли підприємство вкладає грошові ресурси в запаси сировини, або, якщо на підприємстві накопичилися зайві запаси сировини (наднормативні, зайві запаси сировини і матеріалів можуть виникати, наприклад, у тому випадку, коли відділ постачання скористався можливістю отримати хорошу скидку на оптових закупівлях), а готова продукція не реалізується в нормативні терміни, то в них на певний час «пов'язані» використані для цих цілей грошові ресурси [10, с. 202].
Регулярно поновлюваний цикл виробництва вимагає нових партій сировини, матеріалів і комплектуючих, але грошові ресурси заморожені в запасах, і доки сировина не трансформувалася в готову продукцію, а готова продукція в гроші на розрахунковому рахунку підприємства, грошових ресурсів на придбання нових партій немає. Порушується баланс між поточними грошовими надходженнями від реалізації і необхідними платежами підприємства.
Окрім цього, потреба в збільшенні оборотних виробничих фондів може виникнути по різних іншим причинам:
-
розширення об'ємів діяльності, що супроводжується необхідним збільшенням як основних засобів, так і матеріальних запасів;
-
зростання цін на використовувані матеріали, енергоносії, послуги і так далі; порушення платіжної дисципліни покупцями і тому подібне;
-
інвестиції в готову продукцію [10, с. 203].
Інвестиції в готову продукцію розділяються: на інвестиції у витрати майбутніх періодів, тобто на проектування нових видів продукції і освоєння їх випуску, і на інвестиції в підтримку запасів готової продукції (finished – goods inventory). Наявність певних запасів готової продукції дає компанії гнучкість у сфері збуту. За відсутності цього роду запасів можуть виникати труднощі із задоволенням попиту окремих покупців, з якими не були підписані договори на постачання продукції. Для визначення інвестицій в запаси готової продукції вирішується завдання мінімізації поточних витрат по їх обслуговуванню і у визначенні оптимального розміру партії виробництва продукції. Так, якщо робити товар дрібними партіями, то витрати по зберіганню його запасів у вигляді готової продукції будуть мінімальними. В той же час істотно зростуть поточні витрати підприємства, пов'язані з частою переналадкою устаткування, підготовкою виробництва, і інші. Мінімізація сукупного розміру поточних витрат по обслуговуванню запасів готової продукції здійснюється на основі моделі Уилсона [3, с. 159].
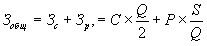
В процесі управління вирішується завдання оптимізації розміру партії постачання, при якому сумарні витрати по зберіганню і розміщенню замовлення будуть мінімальними. Для визначення оптимальної партії постачання введемо наступні позначення: Q - обсяг виробництва або продажів готової продукції; Q/2 - середній розмір запасу; З - витрати на розміщення (доставці) одиниці запасів; S - розмір партії постачання; Р - витрати на зберігання одиниці запасів. Витрати на оформлення і розміщення замовлень розраховуються по формулі:
, (1)
Витрати на зберігання запасів (Зс) можна визначити по формулі:
, (2)
Таким чином, загальні витрати по розміщенню замовлень і зберіганню запасів складають:
, (3) [3, с. 164].
Аналіз формули показує, що чим більше розмір партії постачання, тим більше витрати на зберігання запасів і менше витрати на розміщення замовлень. При оптимальному розмірі партії постачання ( ) витрати на розміщення дорівнюють витратам на зберігання запасів. В цьому випадку з рівнянь (2) і (3) можна визначити ( ). Якщо =, то:
, (4)
Розрахунок оптимального розміру партії постачання, при якому мінімізуються сукупні поточні витрати по обслуговуванню запасів, здійснюється по формулі, відомій як модель Уилсона:
, (5) [3, с. 165].
Розрахунки можуть бути уточнені з урахуванням мінімальної норми відвантаження (залізничним або автомобільним транспортом), створення на підприємстві певного розміру страхового запасу, альтернатив у вибиранні засобів транспортування і інших умов; покриття різниці між дебіторською і кредиторською заборгованістю.
Оборотність оборотних активів визначається періодом відтворювального циклу, впродовж якого грошові кошти, авансовані на придбання виробничих запасів і оплату інших матеріальних послуг, здійснюють повний оберт і повертаються на банківські рахунки підприємства. Частина грошових коштів може поступати безпосередньо в касу підприємства, інша частина залишається в його дебіторській заборгованості.
Дебіторська заборгованість – це борг покупців за отриману ними від підприємства продукцію. Її величина по підприємствах коливається від 10 до 25% загальної вартості активів підприємства. Дебіторська заборгованість утворюється в результаті того, що між відвантаженням продукції споживачам і зарахуванням грошей на розрахунковий рахунок підприємства існує певний відрізок часу, впродовж якого продукція відпускається покупцям в кредит. Розмір дебіторської заборгованості визначається двома чинниками: 1) об'ємом реалізації продукції в кредит; 2) середнім періодом часу між датою відвантаження продукції і отриманням грошових коштів. Якщо підприємство щодня отримує продукції на 5,0 млн. грн., а середній термін розрахунків дорівнює 11 дням, то величин дебіторської заборгованості складе 55 млн. грн. (5000000 крб. * 11 днів) [12, с. 117].
Кредиторська заборгованість – це борги підприємства кредиторам.
Кредиторська заборгованість підприємства виникає з різних причин, тому вона ділиться на декілька груп:
а) заборгованість постачальникам і підрядчикам за матеріальні цінності, що поступили, виконані роботи і зроблені послуги;
б) сума заборгованості постачальникам, підрядчикам і іншим кредиторам, в забезпечення якої підприємство видало векселі. Сплачувані по виданому векселю відсотки векселедавець відповідно до діючого порядку відносить на собівартість продукції (робіт, послуг);
в) заборгованість по оплаті праці – неоплачена заробітна плата на день складання балансу;
г) заборгованість по відрахуваннях на соціальне страхування і забезпечення, не перераховані на дату балансу суми відрахувань на державне соціальне страхування, пенсійне забезпечення, медичне страхування працівників підприємства, до фонду зайнятості;
д) заборгованість за розрахунками з бюджетом. Це борги підприємства по усіх видах платежів до бюджету, що виникають у зв'язку з тим, що нарахування податків робиться в поточному періоді, а перерахування їх до бюджету – в наступному періоді;
е) аванси, отримані від покупців і замовників. Покупці і замовники відповідно до умов договору можуть робити авансом розрахунки за продукцію, товари, роботи і послуги підприємства. Отримані аванси є боргом підприємства в період до здійснення ним постачань;
ж) розрахунки з іншими кредиторами – це заборгованість підприємства, що не знайшла віддзеркалення по інших групах кредиторської заборгованості. Зокрема, тут відбивається заборгованість по платежах у формі обов'язкового і добровільного страхування майна і працівників і інших видах страхування, в яких підприємство є страхувальником; заборгованість по відрахуваннях до позабюджетних фондів і інші спеціальні фонди (окрім фондів, відрахування в які відбиваються в розрахунках по соціальному страхуванню і забезпеченню); сума орендних зобов'язань підприємства-орендаря за основні засоби, передані йому на умовах довгострокової оренди; заборгованість по кредитах банків, отриманим підприємством для видачі позик працівникам на індивідуальне житлове будівництво, на будівництво садових будиночків і інші цілі, а також для відшкодування торговельним організаціям позик за товари, продані ними в кредит [12, с. 124].
Сплата боргів дебіторами – це практично джерело засобів для погашення кредиторської заборгованості. Якщо оборотність дебіторської заборгованості повільніша, ніж кредиторською, це означає, що у підприємства несприятливі умови розрахунків з покупцями і постачальниками: підприємство повинне повертати свої борги частіше, ніж воно отримує плату за реалізовану продукцію. І навпаки, якщо дебіторська заборгованість обертається швидше за кредиторську, у підприємства з'являються вільні засоби в обороті в розмірі, що відповідає різниці числа днів обороту кредиторської і дебіторської заборгованості. Зіставлення оборотності дебіторської і кредиторської заборгованості важливе для оцінки необхідних інвестицій: якщо кредиторам потрібно платити частіше, ніж поступають гроші від дебіторів, у підприємства з'являється потреба в інвестиціях для покриття різниці між дебіторською і кредиторською заборгованістю [3, с. 168].
Потреби у фінансуванні оборотного капіталу значною мірою залежать від галузевої приналежності підприємства і тривалості виробничою циклу, від норми доданої вартості, від сезонних коливань рівня активності і інших чинників. Як правило, в галузях з тривалим виробничим циклом показник фінансування оборотних активів вищий, в галузях з коротким циклом звернення ресурсів – нижче. Практика показує, що існує деякий усереднений (у розмірі 25%) норматив обов'язковості фінансування оборотного капіталу підприємств довгостроковими джерелами. Використання цього показника дає можливість оцінити верхню межу потенційного попиту підприємств (галузей) на довгострокові позикові ресурси.
Інвестиційні рішення пов'язані з проблемами розподілу фінансових коштів, що притягаються, по напрямах інвестування в оборотні кошти, і переслідують мету оптимізації величини активів (об'єм і структуру) і вибір джерела їх фінансування.
У практиці управління оборотним капіталом виділяють три стратегії управління інвестиціями в оборотні активи – консервативну, агресивну і помірну [3, с. 171].
При консервативній стратегії потреби підприємства у фінансуванні оборотних активів практично повністю покриваються за рахунок довгострокових пасивів (власних і довгострокових позикових засобів), короткострокові джерела фактично не використовуються для фінансування поточних активів. Підприємство стримує зростання оборотних активів, прагне до скорочення періоду оборотності. Таку політику підприємства ведуть або в умовах достатньої визначеності ситуації, коли об'єм продажів, терміни вступів і платежів, необхідний об'єм запасів і точний час їх споживання і так далі відомі заздалегідь, або при необхідності найсуворішої економії буквально на усьому. Консервативна політика управління поточними активами забезпечує високу економічну рентабельність активів, але несе в собі надмірний ризик виникнення технічної неплатоспроможності із-за щонайменшої заминки або помилки в розрахунках, що веде до десинхронізації термінів вступів і виплат підприємства. Вона є дорогою, оскільки ціна довгострокового кредиту зазвичай вище за короткостроковий. Крім того, підприємство вимушене сплачувати відсотки за кредит постійно, навіть в періоди надмірного фінансування, внаслідок чого знижується прибутковість.
Агресивна стратегія передбачає, що оборотні активи підприємства повністю покриваються за рахунок короткострокових джерел фінансування. Підприємство не ставить ніяких обмежень в нарощуванні оборотних активів, тримає значні грошові кошти, має значні запаси сировини і готової продукції, і стимулюючи покупців, роздуває дебіторську заборгованість, період оборотності тривалий. Довгостроковий капітал використовується тільки для фінансування необоротних активів. Проведення такої стратегії робить підприємство фінансово нестійким, і виникає ризик його неплатоспроможності [8, с. 228].
Характеристики
Тип файла документ
Документы такого типа открываются такими программами, как Microsoft Office Word на компьютерах Windows, Apple Pages на компьютерах Mac, Open Office - бесплатная альтернатива на различных платформах, в том числе Linux. Наиболее простым и современным решением будут Google документы, так как открываются онлайн без скачивания прямо в браузере на любой платформе. Существуют российские качественные аналоги, например от Яндекса.
Будьте внимательны на мобильных устройствах, так как там используются упрощённый функционал даже в официальном приложении от Microsoft, поэтому для просмотра скачивайте PDF-версию. А если нужно редактировать файл, то используйте оригинальный файл.
Файлы такого типа обычно разбиты на страницы, а текст может быть форматированным (жирный, курсив, выбор шрифта, таблицы и т.п.), а также в него можно добавлять изображения. Формат идеально подходит для рефератов, докладов и РПЗ курсовых проектов, которые необходимо распечатать. Кстати перед печатью также сохраняйте файл в PDF, так как принтер может начудить со шрифтами.














